|
|
Р 50.1.040-2002 РЕКОМЕНДАЦИИ ПО СТАНДАРТИЗАЦИИ Статистические методы ПЛАНИРОВАНИЕ ЭКСПЕРИМЕНТОВ Термины и определения ГОССТАНДАРТ РОССИИ Москва Предисловие 1 РАЗРАБОТАНЫ И ВНЕСЕНЫ Техническим комитетом по
стандартизации ТК 125 «Статистические методы в
управлении качеством продукции»; Акционерным
обществом «Научно-исследовательский центр контроля и диагностики технических
систем» (АО «НИЦ КД») 2 ПРИНЯТЫ И ВВЕДЕНЫ В
ДЕЙСТВИЕ Постановлением Госстандарта России от 2
октября 2002 г. № 362-ст 3 Настоящие Рекомендации
по стандартизации, за исключением разделов 1а, 1б и приложения А,
представляют собой аутентичный текст международного стандарта ИСО 3534-3-99 «Статистика. Словарь и условные обозначения. Часть 3. Планирование экспериментов» 4 ВВЕДЕНЫ ВПЕРВЫЕ СОДЕРЖАНИЕ Введение Установленные
в настоящих рекомендациях термины расположены в систематизированном порядке и
отражают систему понятий в области планирования экспериментов. Для
каждого понятия установлен один стандартизованный термин. Недопустимые
термины-синонимы, набранные курсивом, приведены в круглых скобках после
стандартизованного термина и обозначены пометой «Ндп.». Термины-синонимы,
набранные курсивом, но без пометы «Ндп.» приведены в качестве справочных данных
и не являются стандартизованными. Заключенная
в круглые скобки часть термина может быть опущена при использовании термина в
документах по стандартизации. Наличие
квадратных скобок в терминологической статье означает, что в нее включены два
термина, имеющие общие термоэлементы. В алфавитных указателях данные термины
приведены отдельно с указанием номера статьи. Приведенные
определения можно при необходимости изменять, вводя в них производные признаки,
раскрывая значения используемых в них терминов, указывая объекты, входящие в
объем определяемого понятия. Изменения не должны нарушать объем и содержание
понятий, определенных в данных рекомендациях. В
рекомендациях приведены иноязычные эквиваленты стандартизованных терминов
на английском (en) и французском
(fr) языках. Стандартизованные
термины набраны полужирным шрифтом, их краткие формы - светлым. Приложение
А содержит пояснения и примеры к
терминам, установленным настоящими рекомендациями. Р 50.1.040-2002 РЕКОМЕНДАЦИИ ПО СТАНДАРТИЗАЦИИ Статистические
методы ПЛАНИРОВАНИЕ ЭКСПЕРИМЕНТОВ Термины и определения Statistical methods. Design of experiments. Terms and definitions Дата введения 2003-07-01 1а Область применения
Настоящие
рекомендации устанавливают термины и определения понятий в
области математической статистики по планированию экспериментов. Термины,
установленные настоящими рекомендациями, обязательны для применения во всех
видах документации и литературы по планированию экспериментов, входящих в сферу
работ по стандартизации и(или) использующих результаты этих работ. 1б Нормативные ссылки
В
настоящих рекомендациях использованы ссылки на следующие стандарты: ГОСТ
Р 50779.10-2000 (ИСО 3534-1-93)
Статистические методы. Вероятность и основы статистики. Термины и определения ГОСТ
Р 50779.11-2000 (ИСО 3534-2-93)
Статистические методы. Статистическое управление качеством. Термины и
определения 1 Общие термины
1.1 модель en model Описание,
связывающее отклик с предсказывающей fr modéle переменной или
предсказывающими переменными и включающее
сопутствующие предположения 1.2 отклик; выходная переменная (Ндп. зависимая en responze variable переменная) fr
variable de résponse Переменная, представляющая результат эксперимента 1.3 предсказывающая
переменная; предиктор; en predictor variable входная переменная (Ндп. независимая переменная.) fr
variable de prédiction Переменная,
которая может помочь объяснить результат эксперимента 1.4 пространство
планирования; область планирования en design region; Множество
допустимых значений предсказывающей design space переменной fr zone du plan espace du plan 1.5 фактор en
factor Предсказывающая
переменная, варьируемая с целью fr facteur определения ее
влияния на отклик 1.6 уровень (фактора) en level Потенциальная
установка, значение или назначение фактора fr niveau 1.7 ошибка опыта; ошибка эксперимента en experimental error Вариация в
откликах, которая не обусловлена факторами, fr erreur expérimentale блоками или
известными источниками в ходе проведения эксперимента 1.8 компонента дисперсии
en variance component Дисперсия
случайной величины, описывающей эффект fr composante de variance фактора или
ошибку опыта 1.9 экспериментальная
единица en experimental unit Объект,
подвергаемый обработке, вследствие чего получают fr unité expérimentale значение отклика 1.10 обработка en treatment Конкретная
комбинация уровней всех факторов fr traitement 1.11 блок (плана) en block Множество
экспериментальных единиц, более однородных, fr bloc чем все
множество экспериментальных единиц 1.12 однофакторный эксперимент en
one-factor experiment Эксперимент, в
котором изучают влияние на отклик, если fr expérience á un facteur оно есть, одного
фактора 1.13 главный эффект
(фактора) en main effect Влияние
отдельного фактора на среднее значение отклика fr effet principal 1.14 эффект рассеивания en
dispersion effect Влияние
отдельного фактора на дисперсию отклика fr effet de dispersion 1.15 двухфакторный эксперимент en
two-factor experiment Эксперимент, в
котором два разных фактора исследуют fr expérience á deux одновременно для
определения их влияния на отклик facteurs 1.16 k-факторный
эксперимент; многофакторный en k-factor experiment эксперимент fr
expérience á k facteurs Эксперимент, в
котором k ≥ 2 разных
факторов изучают одновременно для
определения их влияния на отклик 1.17 взаимодействие
(факторов); дифференциальный
en interaction эффект fr interaction Ситуация,
когда проявленное влияние одного фактора на отклик зависит
от других факторов, одного или более 1.18 смешивание (эффектов) en confounding Намеренное
объединение двух и более эффектов - главного fr concomitance и
взаимодействий, так чтобы они были неразличимы 1.19 совместный эффект en alias Статистический
эффект - главный или взаимодействие, fr alise effet inséparable который
полностью смешивается с другим главным эффектом или
взаимодействием из-за природы эксперимента 1.20 нелинейность
(модели); кривизна en curvature Отклонение от прямой
отношения между откликом и fr courbure предсказывающей
переменной 1.21 остаток en residual Разница между
наблюдаемым и предсказанным или fr résidu расчетным
значениями отклика 1.22 остаточная ошибка en residual error Случайная
величина, представляющая разность между fr résiduelle наблюдаемыми и
предсказанными значениями отклика, полученными на
основе постулированной модели 1.23 чистая ошибка en
pure error Случайная
величина, отражающая вариабельность, fr erreur pure связанную с
повторными наблюдениями при фиксированной обработке 1.24 контраст en contrast Статистическая
линейная функция откликов, для которой fr contraste сумма
коэффициентов равна нулю, хотя не все они равны нулю 1.25 ортогональный контраст en orthogonal contrast Набор контрастов,
коэффициенты которых удовлетворяют fr contraste orthogonal условию, что,
если перемножить соответствующие пары, сумма
произведений будет равна нулю 1.26 ортогональное
расположение en orthogonal array Набор обработок,
в котором для каждой пары факторов fr arrangement orthogonal каждая
комбинация обработок появляется одинаковое число раз на каждом
возможном уровне фактора 1.27 повторение
(эксперимента) en replication Выполнение
эксперимента более чем один раз для данного fr réplique набора предсказывающих
переменных. Примечание - В настоящих рекомендациях
термин «повторение» дан с точки зрения планирования экспериментов, он объединяет и
уточняет как термин «повторение», так и термин «реплика» по 2.89 и 2.90 1.28 разбиение на блоки; блокирование en blocking Расположение
экспериментальных единиц в относительно fr mise en blocs однородных
блоках таким образом, что внутри каждого блока ошибку
эксперимента предполагают меньшей, чем можно было бы
ожидать, если бы такое же число единиц было случайно
отобрано в данную обработку 1.29 рандомизация
(плана) en randomization Процесс,
используемый для назначения обработок fr randomisation экспериментальным
единицам таким образом, чтобы для каждой
экспериментальной единицы вероятность назначения определенной
обработки была одинаковой Примечание - Более общее определение к
термину «рандомизация» дано в 2.91 ГОСТ
Р 50779. 10 1.30 план эксперимента en
experimental plan Назначение
обработок каждой экспериментальной единице fr plan d'expérience и порядка их
выполнения 1.31 спланированный
эксперимент en designed experiment План
эксперимента, выбранный для достижения fr expérience planifiée определенной
цели 1.32 эволюционное планирование;
ЭВОП en evolutionary operation, Последовательная
форма проведения EVOP экспериментирования
на промышленном оборудовании fr expérimentation в ходе
нормальной работы производства évolutive, EVOP 1.33 полностью
рандомизированный план en completely randomized План, в котором
обработки назначают случайным design образом для
всего множества экспериментальных единиц fr plan complétement randomise 1.34 точка (плана) в
вершине куба en cube point Вектор заданных
уровней факторов в виде (а1, а2, …, ak), fr point cubique где каждое ai равно плюс 1 или минус 1,
что означает кодированные
уровни факторов; где i = 1, …, k 1.35 звездная точка
(плана) en star point Вектор заданных
уровней факторов в виде (а1, а2, …, an), fr point étoile где одно ai равно плюс α или минус α, а другие ai равны 0,
где α, минус α и 0
означают кодированные уровни факторов; где i =
1, …, n 1.36 центральная точка
(плана) en centre point Вектор заданных
уровней факторов в виде (а1, а2, …, ak),
fr point central где каждое ai = 0, i = 1, …, n, а 0 означает кодированные уровни факторов 1.37 ротатабельность
(плана) en rotatability Характеристика
плана, в котором отклики, предсказанные fr rotativité по подобранной
модели, имеют одну и ту же дисперсию на одинаковых
расстояниях от центра плана 2 Расположения
экспериментов
2.1 (полный) факторный эксперимент en full factorial Эксперимент,
состоящий из всех возможных обработок, experiment; factorial образованных
двумя или более факторами, каждый из experiment
которых изучают
на двух или более уровнях fr plan factoriel complet; plan factoriel 2.1.1 дробный факторный эксперимент en
fractional factorial Эксперимент,
состоящий из подмножества полного experiment факторного
эксперимента fr plan factoriel fractionné 2.1.2 двухуровневый
факторный эксперимент en two-level experiment Факторный
эксперимент, в котором все факторы варьируют fr plan á deux niveaux на двух уровнях 2.1.2.1 факторный эксперимент 2k en 2k factorial experiment Факторный
эксперимент, в котором изучают k факторов, fr plan factoriel 2k каждый на двух
уровнях 2.1.2.2 дробный факторный
эксперимент 2(k-p); en 2k-p fractional factorial дробная реплика experiment Факторный
эксперимент, использующий тщательно fr plan factoriel fractionné отобранное
подмножество (2k-p) полного
факторного 2k-p эксперимента 2k, где k - число факторов полного факторного
эксперимента; p - число факторов
подмножества
полного факторного эксперимента 2.1.3 разрешающая
способность плана en design resolution Длина
минимальной строки символов в генерирующем fr résolution de plan соотношении 2.2 план отсеивания en screening design Эксперимент,
направленный на выявление подмножества fr plan de «screening» из совокупности
факторов для дальнейшего изучения 2.3 блочный план en
block design План
эксперимента, который использует преимущества fr plan en blocs однородности
подмножеств из множества экспериментальных
единиц 2.3.1 рандомизированный
блочный план en randomized block План
эксперимента, состоящий из n блоков с p обработками, design которые
назначены внутри каждого блока случайным fr plan en blocs образом randomisés 2.3.2 план «латинский квадрат» en
latin square design План с тремя
факторами, каждый из которых имеет h fr plan en carré latin уровней, в
котором комбинация уровней одного из факторов с
уровнями двух других факторов появляется лишь однажды в
эксперименте объема h2 2.3.3 план греко-латинского квадрата en Graeco-Latin square План, включающий
4 фактора, каждый из которых design имеет h уровней, в котором комбинация
уровней одного fr plan en carré gréco-latin фактора с
уровнями других трех факторов появляется только однажды в
эксперименте объема h2 2.3.4 неполноблочный план en
incomplete block План, в котором
экспериментальные единицы design разделены на
блоки, которые недостаточны для проведения fr plan en blocs полного набора
обработок эксперимента incomplets 2.3.4.1 сбалансированный
неполноблочный план en balanced incomplete Неполноблочный
план, в котором каждый блок block design BIBD содержит
одинаковое число k различных
уровней из fr plan en blocs l уровней главного фактора, расположенных так, что каждая incomplets équilibrés пара уровней
встречается в λ, блоках из b блоков PBIE 2.3.4.2 частично
сбалансированный неполноблочный en partially balanced план incomplete block design Неполноблочный
план, в котором каждый блок содержит PBIB одинаковое число
различных уровней k из l уровней fr plan en blocs главного
фактора, расположенных так, что не все пары incomplets partiellement уровней
появляются вместе в одинаковом числе блоков b équilibrés BIPE 2.3.5 квадрат Юдена en
Youden square Блочный план, получаемый
из латинского квадрата fr carré de Youden удалением или
добавлением строк или столбцов таким образом, чтобы
получить рандомизированный блочный план по отношению к
одному блоковому фактору и неполноблочный план по
отношению к другому 2.3.6 план с расщепленной
делянкой en split-plot design План, в котором
группа экспериментальных единиц или fr plan en parcelles делянка с одним
и тем же вариантом главного фактора subdivisées расщеплена таким
образом, что внутри каждого варианта этого фактора
можно исследовать еще дополнительные главные факторы 2.3.7 двухфакторный план с расщепленной делянкой; en two-way split-plot план с расщепленным блоком design; split-block design План с делянкой,
расщепленной двумя разными fr plan en blocs способами, в
котором варианты фактора второго subdivisées этапа вместо
независимой рандомизации внутри каждой делянки
расположены полосами, пересекающими делянки в каждом повторении 2.4 план поверхности отклика
en response surface design План,
направленный на изучение функциональной fr plan á surface de зависимости
между откликом и набором предсказывающих réponse переменных 2.5 план для смесей en mixture design План, созданный
для случая, когда на сумму fr plan pour l'étude предсказывающих
переменных наложено ограничение, de mélanges требующее ее
постоянства 2.6 (гнездовой) эксперимент с группировкой; en nested design иерархический эксперимент fr plan emboîté План
эксперимента, в котором каждый уровень данного фактора
появляется только с одним уровнем любого другого фактора 2.6.1 сбалансированный (гнездовой) эксперимент с en balanced nested design; группировкой;
полностью сгруппированный
эксперимент fully nested design Эксперимент, в
котором число уровней факторов на fr plan emboîté équilibré каждом уровне
иерархии одинаково 2.6.2 нерегулярный (гнездовой) эксперимент с en staggered nested design группировкой;
нерегулярный иерархический
эксперимент fr plan irréguliérement Эксперимент, в
котором второй вложенный фактор имеет emboîté два уровня в
первом уровне первого фактора эксперимента с группировкой, но
только один уровень во втором уровне первого фактора
эксперимента с группировкой 2.7 оптимальный план en
optimal design План
эксперимента, значения уровней факторов которого fr plan optimal определены таким
образом, чтобы оптимизировать некоторый
критерий, обычно какую-то функцию от матрицы плана 2.7.1 матрица плана en design matrix Матрица
оптимального плана со строками, означающими fr matrice de plan индивидуальные
обработки, которые могут быть расширены выведенными
уровнями других функций от уровней факторов, но
зависят от постулированной модели 2.7.1.1 D-оптимальный план en
D-optimal design Оптимальный
план, максимизирующий определитель fr plan optimal D матрицы плана 2.7.1.2 А-оптимальный план en A-optimal design Оптимальный
план, максимизирующий след матрицы fr plan optimal A плана 2.7.1.3 G-оптимальный план en G-optimal design Оптимальный план,
минимизирующий максимальную fr plan optimal G дисперсию
прогноза по всей области эксперимента 2.8 ортогональный план en orthogonal design План, в котором
каждая пара факторов ортогональна fr plan orthogonal 2.9 насыщенный план en
saturated design План, матрица
которого имеет столько же столбцов, fr plan saturé сколько и
обработок в эксперименте 3 Методы анализа
3.1 графический метод en graphical method Метод анализа,
основанный на графическом представлении fr méthode graphique результатов
эксперимента 3.1.1 график главных эффектов en main effects plot График, дающий
средние отклики на разных уровнях fr tracé des effets отдельных
факторов principaux 3.1.2 график взаимодействий
en interaction plot График,
отображающий средние отклики на уровнях двух fr tracé d'interaction различных
факторов 3.1.3 график квантилей эффектов en quantile plot of effects График квантилей
стандартного нормального закона fr tracé quantile des effets распределения
для оценок эффектов полного или дробного факторного эксперимента 3.1.4 график остатков en method of lest squares График
зависимости остатков от соответствующих fr tracé résiduel значений
предсказывающих переменных или от уровней конкретного фактора 3.2 метод наименьших
квадратов en residual plot Метод оценки
параметров, минимизирующий сумму fr méthodedes moondres квадратов
ошибок, причем ошибку определяют как carrés разность между
наблюдаемым значением и значением, вычисленным
исходя из постулированной модели, а сумму берут по всем
обработкам 3.3 регрессионный анализ en
regression analysis Набор процедур,
связанных с оцениванием моделей fr analyse de régression зависимости
отклика от предсказывающих переменных 3.4 дисперсионный анализ en
analysis of variance Метод, который
разделяет общую вариацию набора fr analyse de variance данных на
имеющие смысл компоненты, связанные с конкретными источниками
вариации 3.4.1 модель
дисперсионного анализа с постоянными en fixed effects эффектами analysis of variance Дисперсионный
анализ, в котором уровни каждого fr analyse de variance фактора выбраны
заранее из множества значений á effets fixés факторов 3.4.2 модель дисперсионного анализа со случайными en random effects эффектами analysis of variance Дисперсионный
анализ, в котором уровни каждого fr analyse de variance фактора, как
предполагается, выбраны случайным á effets aléatoires образом из совокупности
уровней этих факторов 3.4.3 смешанная модель дисперсионного анализа en mixed model Дисперсионный
анализ, в котором уровни некоторых analysis of variance факторов
постоянны, а для остальных - их выбирают fr analyse de variance случайно из совокупности
уровней факторов de modéle mixte 3.5 ковариационный анализ en
analysis of covariance Метод оценивания
и испытания эффектов обработок, fr analyse de covariance когда
сопутствующие факторы влияют на отклик АЛФАВИТНЫЙ УКАЗАТЕЛЬ ТЕРМИНОВ НА РУССКОМ ЯЗЫКЕ
анализ дисперсионный 3.4 анализ ковариационный 3.5 анализ регрессионный 3.3 блок (плана) 1.11 блокирование 1.28 взаимодействие (факторов) 1.17 график взаимодействий 3.1.2 график главных эффектов 3.1.1 график квантилей эффектов 3.1.3 график остатков 3.1.4 единица экспериментальная 1.9 квадрат Юдена 2.3.5 компонента дисперсии 1.8 контраст 1.24 контраст ортогональный 1.25 кривизна 1.20 матрица плана 2.7.1 метод графический 3.1 метод наименьших квадратов 3.2 модель 1.1 модель дисперсионного
анализа с постоянными эффектами 3.4.1 модель дисперсионного
анализа со случайными эффектами 3.4.2 модель дисперсионного
анализа смешанная 3.4.3 нелинейность (модели) 1.20 область планирования 1.4 обработка 1.10 остаток 1.21 отклик 1.2 ошибка опыта 1.7 ошибка остаточная 1.22 ошибка чистая 1.23 ошибка эксперимента 1.7 переменная входная 1.3 переменная выходная 1.2 переменная зависимая
(Нд) 1.2 переменная независимая
(Нд) 1.3 переменная предсказывающая 1.3 план блочный 2.3 план греко-латинского квадрата 2.3.3 план для смесей 2.5 план «латинский квадрат» 2.3.2 план насыщенный 2.9 план неполноблочный 2.3.4 план неполноблочный
сбалансированный 2.3.4.1 план неполноблочный частично
сбалансированный 2.3.4.2 план оптимальный 2.7 план оптимальный А 2.7.1.2 план оптимальный D 2.7.1.1 план оптимальный G 2.7.1.3 план ортогональный 2.8 план отсеивания 2.2 план поверхности отклика 2.4 план полностью
рандомизированный 1.33 план рандомизированный
блочный 2.3.1 план с
расщепленным блоком 2.3.7 план с расщепленной делянкой 2.3.6 план с расщепленной делянкой
двухфакторный 2.3.7 план эксперимента 1.30 планирование эволюционное; ЭВОП 1.32 повторение (эксперимента) 1.27 предиктор 1.3 пространство планирования 1.4 разбиение на блоки 1.28 рандомизация (плана) 1.29 расположение ортогональное 1.26 реплика дробная 2.1.2.2 ротатабельность (плана) 1.37 смешивание (эффектов) 1.18 способность плана
разрешающая 2.1.3 точка (плана) в вершине куба 1.34 точка (плана) звездная 1.35 точка (плана) центральная 1.36 уровень (фактора) 1.6 фактор 1.5 эксперимент двухфакторный 1.15 эксперимент 2(k-p) дробный факторный 2.1.2.2 эксперимент (гнездовой) с
группировкой 2.6 эксперимент (гнездовой)
сбалансированный с группировкой 2.6.1 эксперимент (гнездовой)
нерегулярный с группировкой 2.6.2 эксперимент двухуровневый
факторный 2.1.2 эксперимент дробный
факторный 2.1.1 эксперимент иерархический 2.6 эксперимент иерархический
нерегулярный 2.6.2 эксперимент многофакторный 1.16 эксперимент однофакторный 1.12 эксперимент (полный)
факторный 2.1 эксперимент полностью
сгруппированный 2.6.1 эксперимент спланированный 1.31 эксперимент k-факторный 1.16 эксперимент 2k-факторный 2.1.2.1 эффект (фактора) главный 1.13 эффект дифференциальный 1.17 эффект рассеивания 1.14 эффект совместный 1.19 АЛФАВИТНЫЙ УКАЗАТЕЛЬ ТЕРМИНОВ НА АНГЛИЙСКОМ ЯЗЫКЕ
A-optimal design 2.7.1.2 alias 1.19 analysis of covariance 3.5 analysis of variance 3.4 balanced incomplete block design 2.3.4.1 balanced nested design 2.6.1 block 1.11 block design 2.3 blocking 1.28 centre point 1.36 completely randomized design 1.33 confounding 1.18 contrast 1.24 cube point 1.34 curvature 1.20 D-optimal design 2.7.1.1 design matrix 2.7.1 design region 1.4 design resolution 2.1.3 design space 1.4 designed experiment 1.31 dispersion effect 1.14 evolutionary operation 1.32 experimental error 1.7 experimental plan 1.30 experimental unit 1.9 k-factor experiment 1.16 2k factorial
experiment 2.1.2.1 2k-p fractional factorial experiment 2.1.2.2 factor 1.5 factorial experiment 2.1 fractional factorial experiment 2.1.1 full factorial experiment 2.1 fully nested design 2.6.1 G-optimal design 2.7.1.3 Graeco-Latin square design 2.3.3 graphical method 3.1 hierarchical design 2.6 incomplete block design 2.3.4 interaction 1.17 interaction plot 3.1.2 latin square design 2.3.2 level 1.6 main effect 1.13 main effects plot 3.1.1 method of least squares 3.2 mixture design 2.5 model 1.1 model 1 analysis of variance 3.4.1 model 2 analysis of variance 3.4.2 model 3 analysis of variance 3.4.3 nested design 2.6 one-factor experiment 1.12 optimal design 2.7 orthogonal array 1.26 orthogonal contrast 1.25 orthogonal design 2.8 partially balanced incomplete block design 2.3.4.2 predictor variable 1.3 pure error 1.23 quantile plot of effects 3.1.3 randomization 1.29 randomized block design 2.3.1 regression analysis 3.3 replication 1.27 residual 1.21 residual error 1.22 residual plot 3.1.4 response surface design 2.4 responze variable 1.2 rotatability 1.37 saturated design 2.9 screening design 2.2 split-block design 2.3.7 split-plot design 2.3.6 staggered nested design 2.6.2 star point 1.35 treatment 1.10 two-factor experiment 1.15 two-level experiment 2.1.2 two-way split-plot design 2.3.7 variance component 1.8 Youden square 2.3.5 АЛФАВИТНЫЙ УКАЗАТЕЛЬ ТЕРМИНОВ НА ФРАНЦУЗСКОМ ЯЗЫКЕ
aliase 1.19 analyse de covariance 3.5 analyse de regression 3.3 analyse de variance 3.4 analyse de variance de modéle 1 3.4.1 analyse de variance de modéle 2 3.4.2 analyse de variance de modéle 3 3.4.3 arrangement orthogonal 1.26 bloc 1.11 carré de Youden 2.3.5 composante de variance 1.8 concomitance 1.18 contraste 1.24 contraste orthogonal 1.25 courbure 1.20 effet de dispersion 1.14 effet inséparable 1.19 effet principal 1.13 erreur expérimentale 1.7 erreur pure 1.23 erreur résiduelle 1.22 espace du plan 1.4 expérience a deux facteurs 1.15 expérience a k facteurs 1.16 expérience a un facteur 1.12 expérience planifiée 1.31 expérimentation évolutive 1.32 facteur 1.5 interaction 1.17 matrice de plan 2.7.1 méthode des moindres carrés 3.2 méthode graphique 3.1 mise en blocs 1.28 modéle 1.1 niveau 1.6 plan a deux niveaux 2.1.2 plan a surface de réponse 2.4 plan complétement emboîté 2.6.1 plan complétement randomisé 1.33 plan d'expérience 1.30 plan de «screening» 2.2 plan emboîté 2.6 plan embooté équilibré 2.6.1 plan en blocs 2.3 plan en blocs incomplete 2.3.4 plan en blocs incomplets équilibrés 2.3.4.1 plan en blocs incomplets partiellement équilibrés 2.3.4.2 plan en blocs randomisés 2.3.1 plan en blocs subdivisés 2.3.7 plan en carré gréco-latin 2.3.3 plan en carré latin 2.3.2 plan en parcelles subdivisées 2.3.6 plan factoriel 2.1 plan factoriel 2k 2.1.2.1 plan factorial complet 2.1 plan factoriel fractionné 2.1.1 plan factorial fractionné 2k-p 2.1.2.2 plan hiérarchisé 2.6 plan irrégulierement emboîté 2.6.2 plan optimal 2.7 plan optimal A 2.7.1.2 plan optimal D 2.7.1.1 plan optimal G 2.7.1.3 plan orthogonal 2.8 plan pour l'étude de mélanges 2.5 plan saturé 2.9 point central 1.36 point cubique 1.34 point étoile 1.35 randomisation 1.29 réplique 1.27 résidu 1.21 résolution de plan 2.1.3 rotativité 1.37 tracé d'interaction 3.1.2 tracé des effets principaux 3.1.1 tracé quantile des effets 3.1.3 tracé résidual 3.1.4 traitement 1.10 unité expérimentale 1.9 variable de prédiction 1.3 variable de réponse 1.2 zone du plan 1.4 ПРИЛОЖЕНИЕ А
| |||||||||||||||||||||||||||||||||||||||||||||||||||||||||||||||||||||||||||||||||||||||||||||||||||||||||||||||||||||||||||||||||||||||||||||||||||||||||||||||||||||||||||||||||||||||||||||||||||||||||||||||||||||||||||||||||||||||||||||||||||||||||||||||||||||||||||||||||||||||||||||||||||||||||||||||||||||||||||||||||||||||||||||||||||||||||||||||||||||||||||||||||||||||||||||||||||||||||||||||||||||||||||||||||||||||||||||||||||||||||||||||||||||||||||||||||||||||||||||||||||||||||||||||||||||||||||||||||||||||||||||||||||||||||||||
|
Обработка |
План |
||||
|
|
|
A |
В |
C |
D |
|
1 |
(1) |
- |
- |
- |
- |
|
2 |
а |
+ |
- |
- |
- |
|
3 |
b |
- |
+ |
- |
- |
|
4 |
аb |
+ |
+ |
- |
- |
|
5 |
с |
- |
- |
+ |
- |
|
6 |
ас |
+ |
- |
+ |
- |
|
7 |
bс |
- |
+ |
+ |
- |
|
8 |
abc |
+ |
+ |
+ |
- |
|
9 |
d |
- |
- |
- |
+ |
|
10 |
ad |
+ |
- |
- |
+ |
|
11 |
bd |
- |
+ |
- |
+ |
|
12 |
abd |
- |
+ |
- |
+ |
|
13 |
cd |
- |
- |
+ |
+ |
|
14 |
acd |
+ |
- |
+ |
+ |
|
15 |
bcd |
- |
+ |
+ |
+ |
|
16 |
abcd |
+ |
+ |
+ |
+ |
Полный факторный эксперимент позволяет произвести оценку всех
главных эффектов и взаимодействий. В приведенном примере есть 4
главных эффекта (А, В, С, D), шесть
взаимодействий первого порядка (АВ, АС, AD, BC, BD, CD), четыре
взаимодействия второго порядка (ABC, ABD, ACD, BCD) и одно
взаимодействие третьего порядка (ABCD).
Каждый
из эффектов (например эффект А, взаимодействие между А и В и даже
взаимодействие третьего порядка между А, В, С и D) можно оценить
с помощью коэффициентов контрастов (см. пояснение к термину «регрессионный
анализ»).
К термину
«Дробный факторный эксперимент 2(k-p)» (2.1.2.2)
Для
большого числа факторов полный факторный эксперимент 2k может потребовать большего числа обработок, чем это физически
возможно. При тщательном отборе факторов дробный факторный эксперимент может
дать почти столько же информации, как и полный факторный эксперимент. В
частности, выбор производят таким образом, чтобы эффекты и взаимодействия,
представляющие практический интерес, смешивались лишь с теми эффектами,
которыми можно пренебречь.
Для
p = 2 получаемый эксперимент будет полурепликой, при p = 4 - четвертьрепликой и т.д.
Дробный
факторный эксперимент 3 2(k-p) получают путем разделения факторов на две группы: главную,
содержащую k - p факторов, и
вторичную, содержащую p факторов. Для k - p факторов главной
группы строят полный факторный эксперимент с 2(k-p) экспериментальными единицами. Уровни
каждого из факторов вторичной группы определяют в терминах уровней факторов
главной группы. Множество из p уравнений,
которые определяют факторы вторичной группы в терминах факторов главной группы,
называют генерирующим соотношением, так как они генерируют план. Множество из p уравнений
генерирующего соотношения можно использовать для вычисления 2(k-p) - 1 уравнений определяющего соотношения (контраста), которое
задает свойства плана.
Пример
- Рассмотрим эксперимент с 6 факторами и 16 обработками. При этом можно провести дробный факторный
эксперимент 26-2 (k = 6; p = 2).
4 фактора (А, В, С, D) можно выбрать как основу для полного факторного эксперимента.
Два других фактора (Е и F) можно выразить
через А, В, С, D. Один из возможных вариантов: Е = ABC и F = BCD. (Отметим, что 4
буквенные последовательности или строки символов ABDE и BCDF, получаемые в этой конструкции,
известны как слова. Например, ABC - трехбуквенное
слово, ABCEG - пятибуквенное
и т.д.). Используя для обозначений уровней факторов +1 и -1, уровни А, В, С определяют уровень фактора Е через их произведение, а
уровни В, С, D - уровень фактора F через произведение BCD. Например, для
экспериментальной единицы номер 1 уровни А, В, С, D даны в таблице А.1 Уровни Е и F для экспериментальной единицы номер 1
тоже находятся на нижних уровнях. Главный эффект Е - это совместный эффект со
взаимодействием второго порядка ABC, а
главный эффект F - совместный с BCD. Полный совместный эффект I (смешивающая
структура) может быть найден из генерирующего соотношения I = АВСЕ = BCDF
= ADEF.
К термину
«Разрешающая способность плана» (2.1.3)
Разрешающая
способность плана описывает степень смешивания в конкретном плане. Число,
описывающее длину, обычно обозначают римскими цифрами. Наиболее часто
встречающиеся на практике ситуации с разрешающей способностью - III, IV, V.
Для
плана с разрешающей способностью III кратчайшая
строка (кроме I) имеет длину 3
символа и для этого плана главные эффекты не смешиваются с другими главными
эффектами. По крайней мере один главный эффект смешивается с двухфакторным.
Для
плана с разрешающей способностью IV главные эффекты
не смешиваются с другими главными эффектами, а также с двухфакторными взаимодействиями.
Для
плана с разрешающей способностью V главные эффекты
и двухфакторные взаимодействия не смешиваются с другими главными
эффектами и двухфакторными взаимодействиями.
Чем
выше разрешающая способность, тем большее число эффектов (главных или
взаимодействий) можно определить недвусмысленно. Если есть два плана с равным
числом факторов и экспериментальных единиц, то надо выбирать тот, разрешающая
способность которого выше.
Пример
- Продолжим рассмотрение примера к термину «дробный факторный эксперимент» (2.1.2.2). Разрешающую способность
плана для этого дробного факторного плана 26-2 (k = 6,
р = 2) получим из его определяющего соотношения. Точнее,
разрешающая способность плана - это длина самого короткого (кроме I) слова в определяющем соотношении. При условии, что IA = AI = A; IB = BI = В;
I = А2 = В2 = = С2 и так далее, генерирующее соотношение Е = ABC эквивалентно ЕЕ = АВСЕ, что в свою очередь эквивалентно I = АВСЕ. Аналогично F = BCD приводит к I = BCDF. Определяющее соотношение выводят из
обобщенного взаимодействия АВСЕ × BCDF = ADEF. Самое короткое слово имеет длину 4 символа, а
значит, разрешающая способность равна IV. Генераторы
планов обычно называют генераторами Бокса-Хантера.
К термину «План
отсеивания» (2.2)
Такие
эксперименты обычно сосредоточены на исследовании главных эффектов, а наличие
взаимодействий ведет к осложнениям при анализе и, как результат, к
дополнительным экспериментам для разрешения неопределенности.
Примеры
1 Дробные факторные планы 2k-p (особенно с
высокой степенью дробности) могут рассматриваться как планы отсеивания.
2 Плаккетт и Берман предложили набор таких двухуровневых планов с числом
обработок, кратным 4. Их планы обычно
используют в тех ситуациях, когда число исследуемых главных эффектов
приблизительно равно числу различных допустимых обработок. Например, 12 обработок плана Плаккетта-Бермана, приведенного в таблице А.2, можно использовать для выявления 11 главных эффектов. В этом плане наличие двухфакторного взаимодействия
(например АВ) может повлиять на оценку главных
эффектов С, D, …, К.
Таблица А.2 - План эксперимента с числом обработок,
кратным 4
|
Уровни факторов для главных эффектов |
|||||||||||
|
А |
В |
С |
D |
Е |
F |
G |
Н |
I |
J |
K |
|
|
1 |
+ |
- |
+ |
- |
- |
- |
+ |
+ |
+ |
- |
+ |
|
2 |
+ |
+ |
- |
+ |
- |
- |
- |
+ |
+ |
+ |
- |
|
3 |
- |
+ |
+ |
- |
+ |
- |
- |
- |
+ |
+ |
+ |
|
4 |
+ |
- |
+ |
+ |
- |
+ |
- |
- |
- |
+ |
+ |
|
5 |
+ |
+ |
- |
+ |
- |
- |
+ |
- |
- |
- |
+ |
|
6 |
+ |
+ |
+ |
- |
+ |
+ |
- |
+ |
- |
- |
- |
|
7 |
- |
+ |
+ |
+ |
- |
+ |
+ |
- |
+ |
- |
- |
|
8 |
- |
- |
+ |
+ |
+ |
- |
+ |
+ |
- |
+ |
- |
|
9 |
- |
- |
- |
+ |
+ |
+ |
- |
+ |
+ |
- |
+ |
|
10 |
+ |
- |
- |
- |
+ |
+ |
+ |
- |
+ |
+ |
- |
|
11 |
- |
+ |
- |
- |
- |
+ |
+ |
+ |
- |
+ |
+ |
|
12 |
- |
- |
- |
- |
- |
- |
- |
- |
- |
- |
- |
Многие планы Плаккетта-Бермана связаны с
матрицами Адамара, которые первоначально были
выведены теоретически, но позже оказались полезными в планировании
эксперимента. Матрицы Адамара легко сконструировать, если известен один столбец
(или строка) матрицы. Как возможный вариант предположим, что нижняя строка
состоит из одних минусов. Остальные столбцы получают из первого столбца сдвигом
его на одну позицию вправо вниз, при этом его элемент с номером 11 переходит в первую позицию. Эту процедуру повторяют до тех
пор, пока не заполнится вся матрица. Примеры некоторых из этих матриц приведены
ниже. Для каждого случая достаточно указать положение знака плюс в первом
столбце (таблица А.3).
Таблица А.3
- Номер обработки, содержащей знак плюс в первом столбце условной таблицы
уровней факторов
|
Номер опыта |
|
|
12 |
1, 2, 4, 5, 6, 10 |
|
20 |
1, 2, 5, 6, 7, 8, 10, 12, 17, 18 |
|
24 |
1, 2, 3, 4, 5, 7, 9, 10, 13, 14, 17, 19 |
Отметим, что строки, указанные выше для п = 12, согласованы с
планом, описанным в примере 2. Многие из
планов Плаккетта-Бермана можно построить,
применяя этот общий подход с использованием элементов одного столбца как
основы. В случаях, когда п =
28, 52, 76, 92 и 100, этот простой подход не работает.
Тагути
популяризовал использование планов Плаккетта-Бермана
и ввел некоторые аббревиатуры: план L12
эквивалентен плану Плаккетта-Бермана с 12 обработками, приведенными выше. L20 - это план Плаккетта-Бермана с 20 обработками.
Следует отметить, что «L-план» обычно описывает значение матрицы плана в другом порядке,
чем в матрицах Адамара.
Планы
Плаккетта-Бермана можно адаптировать для использования в сверхнасыщенных планах, когда число факторов больше
числа обработок.
К термину
«Блочный план» (2.3)
Неоднородность
экспериментальных единиц, в том случае если ее не учитывают в плане
эксперимента, может уменьшить количество информации, получаемой из эксперимента
из-за роста наблюдаемой вариации. Учет этого факта в плане может увеличить
возможность эксперимента в достижении поставленной цели.
К термину
«Рандомизированный блочный план» (2.3.1)
Рандомизированные
блочные планы - это те, в которых экспериментальные единицы сгруппированы в
блоки, причем единицы в одном блоке более однородны, чем единицы в разных
блоках. В каждом блоке экспериментальным единицам назначают обработки случайным
образом. Относительные эффекты обработок можно оценить без влияния эффектов
других блоков.
К термину «План
«латинский квадрат» (2.3.2)
План
«латинский квадрат» включает три фактора: главный фактор, ассоциированный с
обработкой, и два вторичных фактора, ассоциированных с эффектами блоков; все
факторы имеют равное число уровней. Всего существует h2(h ≥ 2) экспериментальных единиц, классифицированных в
соответствии с двумя блоковыми факторами (фактор столбцов и фактор строк).
Существуют h уровней
главного фактора, которые распределены по h2 экспериментальным
единицам таким образом, что каждая строка и каждый столбец содержат каждый
уровень обработки ровно один раз. Таким образом, план «латинский квадрат» - это
обобщение рандомизированного блочного плана на случай двух блоковых факторов
или источников внешней вариации. Ограничением служит то, что число уровней
главного фактора и блоковых факторов должно быть одинаковым.
Пример - Ниже приведены три
латинских квадрата 4 × 4,
каждый из которых может быть основой плана «латинский квадрат». 4 строки соответствуют уровням одного блочного фактора, а 4 столбца - другого. 4
уровня обработки обозначены буквами А, В, С и D.
ABCD ABCD ABCD
BADC DCBA CDAB
CDAB BADC DCBA
DCBA CDAB BADC
План
«латинский квадрат» обычно используют для исключения влияния двух выраженных блоковых
эффектов, не представляющих значительного интереса, путем взаимной
нейтрализации их действия. Блоки связывают со строками и столбцами квадрата:
например, строки могут означать дни, а столбцы - операторов. Число уровней
главного фактора и каждого из блочных факторов должно быть одинаковым.
Рандомизацию можно провести, назначая случайно уровни главного фактора буквам,
случайно выбирая латинский квадрат из списка или с помощью специальных процедур
и назначением уровней блочных факторов случайным строкам и столбцам квадрата.
[Всего есть 1(2 × 2); 12(3 × 3); 576(4 × 4); 161280(5 × 5) латинских
квадратов. Из них 1(2 × 2); 1(3 × 3); 4(4 × 4); 56(5 × 5) «стандартных» латинских квадратов, в которых первая
строка и первый столбец записаны в алфавитном порядке и из которых остальные
квадраты можно получить перестановками строк и столбцов].
Основное
предположение состоит в том, что эти блочные факторы не взаимодействуют (не
вызывают побочных эффектов) с главным изучаемым фактором или друг с другом.
Если это предположение неверно, то мера остаточной ошибки возрастает и эффект
фактора смешивается с такими взаимодействиями. Когда предположения верны, план
полезен для минимизации числа экспериментов. Иногда другие главные факторы
используют в качестве блочных факторов, так что может быть три главных фактора
вообще без блочных факторов. Это эквивалентно дробному факторному эксперименту
в предположении отсутствия взаимодействий. Некоторые планы дробных факторных
экспериментов образуют латинские квадраты, и, может быть, лучше подходить к
этой проблеме с точки зрения дробного факторного эксперимента для более полного
понимания предположений, сделанных относительно взаимодействий.
К термину «План греко-латинский квадрат» (2.3.3)
План
«греко-латинский квадрат» включает 4 фактора и всего
существует h2(h ≥ 3)
экспериментальных единиц, классифицированных по трем блочным факторам
(например, строчный фактор, столбцовый фактор и греческая буква), каждый из которых имеет h уровней. Имеем h уровней главного фактора, которые назначены h экспериментальным единицам случайным образом так, что каждая
обработка появляется в каждой строке и столбце только один раз и с греческой
буквой тоже только один раз.
Говорят,
что два латинских квадрата ортогональны, если каждая буква в одном квадрате
совпадает точно один раз с каждой буквой в другом квадрате. Пары ортогональных
латинских квадратов можно скомбинировать для получения греко-латинских
квадратов.
Греко-латинские
квадраты позволяют объединять три блоковые переменные, каждая из которых имеет
то же число уровней, что и главный фактор.
Пример
- Греко-латинский квадрат 4 × 4
представлен ниже.
Аα Вβ Cγ Dδ
Bδ Aγ Dβ Cα
Сβ Dα Aδ Bγ
Dγ Cδ Вα Аβ
Фактор
1 задан строками, фактор 2
задан столбцами, а фактор 3 представлен
греческими буквами. Главный фактор (4)
представлен латинскими буквами.
К термину «Неполноблочный план» (2.3.4)
Рандомизированный
блочный план (2.3.1) можно
рассматривать как «полный» блочный план отдельного блока неполноблочного
плана, подчеркивающий, что каждый блок имеет достаточное число
экспериментальных единиц для данного числа обработок.
К термину
«Сбалансированный неполноблочный
план» (2.3.4.1)
Термин
«сбалансированный» относят к постоянному числу пар, «неполный» - к
невозможности исследовать каждый уровень каждого фактора в каждом блоке и
термин «блок» относится к стратегии проведения эксперимента на однородных
множествах экспериментальных единиц.
Примеры
1 Рассмотрим ситуацию с 4
обработками и 6 блоками, 2 обработками на блок (l = 4,
k = 2, b = 6, λ = 1). Предположим
более точно, что надо изучить 4 уровня (T1, Т2, Т3, Т4) главного
фактора, но только 2 уровня можно рассмотреть в один день. Если для выполнения эксперимента отведено 6 дней, то применим следующий план, представленный в таблице
А.4.
Таблица А.4 - Сбалансированный неполноблочный план
|
План эксперимента для уровней |
||||
|
Т1 |
Т2 |
Т3 |
Т4 |
|
|
1 |
* |
* |
|
|
|
2 |
|
|
* |
* |
|
3 |
* |
|
* |
|
|
4 |
|
* |
|
* |
|
5 |
* |
|
|
* |
|
6 |
|
* |
* |
|
В этом примере все возможные пары обработок (отмечены звездочками)
появляются только один раз в каждом блоке.
2 Рассмотрим ситуацию с 6
уровнями главного фактора, с 10 блоками и с 3 уровнями на блок (l = 6, k = 3, b = 10, λ = 2). В этом случае можно предположить, что
нужны 20 блоков, так как для 6 уровней существуют 20 возможных
троек. Рассмотрим следующий набор обработок, где каждый блок задан тройкой:
(T1, Т2,
Т3), (Т1, Т2, Т4), (Т1, Т3, Т5), (Т1, Т4, Т6), (Т1, Т5, Т6),
(Т2,
Т3, Тб), (Т2, Т4, Т5), (Т2, Т5, Т6), (Т3, Т4, Т5), (Т3, Т4, Т6).
Здесь
каждая пара уровней появляется в каждом блоке ровно 2
раза, показывая, что 10 блоков может быть
достаточно.
3 Рассмотрим ситуацию с 7
уровнями и 7 блоками с 4 уровнями на блок (l = 7,
k = 4, b = 7, λ = 2) (таблица А.5).
Таблица А.5 - Данные примера 3
|
Уровни главного фактора |
||||
|
1 |
1 |
2 |
3 |
6 |
|
2 |
2 |
3 |
4 |
7 |
|
3 |
3 |
4 |
5 |
1 |
|
4 |
4 |
5 |
6 |
2 |
|
5 |
5 |
6 |
7 |
3 |
|
6 |
6 |
7 |
1 |
4 |
|
7 |
7 |
1 |
2 |
5 |
Сбалансированный неполноблочный план подразумевает,
что каждый уровень главного фактора появляется одинаковое число раз (h) в эксперименте и что имеют место следующие отношения:
bk = lh,
b≥l и h(k - 1) = λ(l - 1).
Так
как каждая буква в этих уравнениях представляет целое число, то ясно, что
только ограниченный набор комбинаций (l, k, b, h, λ) подходит для конструирования сбалансированного неполноблочного
плана. Однако наличие пятерки чисел (l, k, b, h, λ) не означает, что такой план существует.
Для
рандомизации следует расположить блоки и уровни внутри каждого блока
независимым случайным образом.
К термину
«Частично сбалансированный неполноблочный план» (2.3.4.2)
Неполноблочный
план с l уровнями и b блоками - это
частично сбалансированный неполноблочный план с m ≥ 2 ассоциированными
классами, если выполнены следующие условия:
а)
каждый блок содержит k < l различных уровней;
б)
каждый уровень появляется в h блоках;
в) между
уровнями существует отношение, удовлетворяющее:
-
любые два уровня: либо 1, либо 2,...,
либо m ассоциированы, это отношение симметрично (если уровень αi ассоциирован с уровнем β, то βi ассоциирован с
уровнем α);
-
каждый уровень имеет ni i-ассоциированных
уровней, где i = 1, 2, …, m; причем значения ni не зависят от
выбранного уровня;
-
для данной пары α и βi-ассоциированных
элементов число уровней, которые j-ассоциированы
с α и k, ассоциированными с β, равно pijk где i,
j, k
= 1, …, m. Число pijk не зависит от
пары (α, β) i-ассоциированных уровней;
г)
любые два уровня, которые i-ассоциированы,
появляются одновременно в λi блоках, причем
все λi равны (i = 1, 2, …, m).
Целые
числа l, b, h, k, λ1, λ2, …, λm; n1, n2, …, nm; pijk, где i, j, k
= 1, 2, …, m связаны
следующими соотношениями:
l·h = b·k;
n1λ1 + n2λ2 +,…, + nmλm = h(k - 1);
n1 + n2 +, …, + nm = l
- 1;
nipijk = njpjik
= nkpkij.
Пример
- Рассмотрим ситуацию, когда l = 6,
k = 4, b = 6, h = 4, ni = 1, n2 = 4,
λ1 = 4, λ2 = 2,
как это описано в таблице А.6.
Таблица А.6 - Данные примера для частично
сбалансированного неполноблочного плана
|
Уровни главного фактора |
||||
|
1 |
1 |
4 |
2 |
5 |
|
2 |
2 |
5 |
3 |
6 |
|
3 |
3 |
6 |
1 |
4 |
|
4 |
4 |
1 |
5 |
2 |
|
5 |
5 |
2 |
6 |
3 |
|
6 |
6 |
3 |
4 |
1 |
В этом плане каждый уровень появляется четыре раза (h = 4),
начиная с любого уровня, например с первого уровня (п1 = 1).
Например, уровень 4 появляется с уровнем 1 в четырех блоках (λ1 = 4) и на четырех уровнях (n2 = 4).
Уровни 2, 3, 5, 6 с уровнем 1 появляются в двух блоках (λ2 = 2).
Параметры n1, n2, λ1, λ2 одни и те же,
независимо от начального уровня.
К термину
«Квадрат Юдена» (2.3.5)
Квадрат
Юдена можно рассматривать как план с двумя блоковыми факторами,
ассоциированными со строками и столбцами матрицы, элементы которой представляют
уровни главного фактора. Предположим, например, что этот план имеет такое же
число столбцов, как и уровней, но меньшее число строк, чем столбцов. Каждый
уровень появится лишь один раз в каждой строке, что дает рандомизированный
блочный план относительно строкового блочного фактора. Тем не менее, обращаясь
к столбцовому блоковому фактору, получаем сбалансированный неполноблочный
план. Удаление четвертой строки из латинского квадрата 4 × 4 дает квадрат
Юдена 3 × 4.
Примеры
1 Преобразование латинского квадрата 4
× 4 в квадрат
Юдена 3 × 4
|
Блоковый
фактор 1 (строки) |
Блоковый
фактор 2 (столбцы) |
|||
|
1 |
2 |
3 |
4 |
|
|
1 |
А |
D |
C |
В |
|
2 |
В |
А |
D |
C |
|
3 |
С |
В |
А |
D |
|
|
|
|
|
|
где А, В, С и D - четыре уровня главного фактора;
А, В, С, D - уровни
фактора, удаленные из латинского квадрата.
2 Следующее расположение цифр описывает квадрат Юдена 4
× 7:
3 4 5 6 7 1 2
5 6 7 1 2 3 4
6 7 1 2 3 4 5
7 1 2 3 4 5 6
В
этом примере видны строки из рандомизированного блочного плана и столбцы из
сбалансированного неполноблочного плана с параметрами l = b = 7, h = k = 4 и λ = 2.
К термину «План с
расщепленной делянкой» (2.3.6)
Пример - Три варианта фактора А испытывают в двух повторениях. В
каждом варианте фактора А изучают два одинаковых варианта фактора В.
|
Делянка |
Повторение 1 |
|
Повторение 2 |
||
|
А1 |
А1 В2 |
А1 В1 |
А1 В2 |
А1 В1 |
|
|
А2 |
А2 В1 |
А2 В2 |
А2 В1 |
А2 В2 |
|
|
А3 |
А3 В1 |
А3 В2 |
А3 В1 |
А3 В1 |
|
В этом примере повторения играют роль блоков для первого этапа главного
фактора А и каждая делянка, связанная с одним из трех вариантов А, играет роль
блоков на втором этапе дополнительного главного фактора В (фактор внутри
делянки), изучаемого внутри варианта фактора А. Следовательно,
ошибка опыта для фактора В внутри делянки должна быть меньше, чем для всего
эксперимента. В плане с расщепленной делянкой получают разные меры остаточной
ошибки для эффектов внутри делянки и между делянками. Можно обобщить такой план
дальше за счет включения фактора третьего этапа в варианты фактора второго
этапа. План такого типа часто используется, когда долговременные или
крупномасштабные опыты проводятся с уровнями фактора, которые нелегко
изменяются, а остальные факторы могут меняться без проблем в ходе опыта или на
большой площади.
Такой
тип расположения факторов обычен для промышленного экспериментирования, как,
впрочем, и для сельскохозяйственного (откуда и пришло само название). Часто
одна серия обработок требует большой партии исходного материала для
эксперимента, в то время как остальные можно сравнивать на малых количествах.
Например, сравнение различных типов металлургических печей,
используемых для производства некоторого сплава, потребует большего количества
сплава, чем сравнение разных типов литейных форм, в которые можно заливать этот
сплав. Типы печей рассматривают как варианты фактора первого этапа, а варианты
форм - как варианты фактора второго этапа (внутри делянки). Другой пример -
большой станок, скорость которого можно поменять только заменив редуктор, что
долго и дорого, поэтому желательна редкая перемена этого фактора. Но
материал, обрабатываемый на данном станке на каждом этапе, можно подвергать
различным способам термообработки, формовать при разных давлениях и полировать
с помощью различных полировальных составов, то есть эти факторы относительно
просто переводить с одного уровня на другой. Они и образуют факторы внутри
делянки (факторы второго этапа), тогда как изменение скорости - это фактор
между делянками (или фактор первого этапа).
К термину «Двухфакторный план с расщепленной
делянкой» (2.3.7)
Пример
- Для плана 3 × 4 подходящие
расположения после рандомизации могут выглядеть так:

План
с двусторонне расщепленной делянкой
приводит к меньшей точности определения главных эффектов А и В, но обеспечивает
большую точность измерения взаимодействий.
Последние, как правило, определяются точнее, чем в рандомизированных блочных
или обычных планах с расщепленной делянкой.
В промышленном
экспериментировании их использование иногда неизбежно. Например, в текстильной
промышленности фактором А могут быть различные методы отбеливания пероксидом
хлора, а фактором В - различные количества перекиси водорода в процессе
охлаждения.
К термину «План поверхности
отклика» (2.4)
Преимущество
использования плана поверхности отклика заключается в том, что он предлагает
поправку к предсказывающим переменным (которые по предположению непрерывны),
что позволяет получать «улучшенные» отклики.
Примеры
1 Ниже приведены данные центрального композиционного плана.
Это набор обработок, состоящий из кубических, звездных и центральной точек,
выбран так, чтобы получить эффективный план (обычно ротатабельный). Для трех
предикторов приведенный ниже набор образует центральный композиционный план.
Экспериментальные
единицы x1 x2 x3
1 -1 -1 -1
2 1 -1 -1
3 -1 1 -1
4 1 1 -1
5 -1 -1 1
6 1 -1 1
7 -1 1 1
8 1 1 1
9 0 0 0
10 0 0 0
11 -2 0 0
12 2 0 0
13 0 -2 0
14 0 2 0
15 0 0 -2
16 0 0 2
Экспериментальные
единицы 1 - 8 образуют кубическую часть плана, эквивалентную факторному
плану 23. Уровни предсказывающих
переменных даны в кодированных значениях.
Экспериментальные
единицы 9 и 10 - это обработки в
центральных точках, а 11 - 16 - в звездных. Предполагают, что сначала можно реализовать
первые 8 опытов, а затем выполнить остальные.
Действительный порядок обработок надо рандомизировать.
Центральный композиционный план облегчает последовательную «сборку» компонентов
плана. Подобранная по данным, полученным из эксперимента, модель может состоять
из линейной (x1, x2, x3), квадратичной (x21, x22, x23) моделей и двухфакторных взаимодействий (x1x2, x1x3, x2x3).
Распространенный
вариант центрального композиционного плана состоит в использовании меньшего
числа уровней факторов, это так называемый «сжатый» центральный композиционный
план, получаемый выбором α = 1 для всех звездных точек.
Меньшее число уровней факторов может привести к потере ротатабельности (в зависимости от числа факторов).
2 План Бокса-Бенкена получают соответствующей комбинацией факторного плана 2k с сбалансированным неполноблочным планом.
Следующий набор образует план Бокса-Бенкена для трех переменных x1, x2, x3.
Экспериментальные
единицы x1 x2 x3
1 0 -1 -1
2 0 1 -1
3 0 -1 1
4 0 1 1
5 -1 0 -1
6 1 0 -1
7 -1 0 1
8 1 0 1
9 -1 -1 0
10 1 -1 0
11 -1 1 0
12 1 1 0
13 0 0 0
14 0 0 0
15 0 0 0
3 Пятиугольный план - это двухфакторный план, в котором точки плана - это 5 равномерно расположенных на единичной окружности точек
(используя кодированные уровни переменных) и, возможно дублированных,
центральных точек. Набор 5 точек,
удовлетворяющих этому условию, следующий: (1; 0), (0,309; 0,951), (-0,809; 0,588), (-0,809; -0,588), (0,309; -0,951). Отметим, что cos72°
= 0,309, sin72° = 0,951 и т.д.
4 Шестиугольный план - это
двухфакторный план, в котором точки плана - это 6 равномерно расположенных на единичной окружности точек (используя кодированные
уровни переменных) и, возможно дублированных, центральных точек. Набор 6 точек, удовлетворяющих этому условию, следующий: (1; 0), (0,5; 0,866), (-1; 0), (-0,5; -0,866). Отметим, что cos60° =
0,5; sin60° = 0,866 и т.д.
Любой
правильный многоугольник, вписанный в окружность единичного радиуса, может
служить основой ротатабельного плана в классе планов поверхностей отклика.
К термину «План
для смесей» (2.5)
Факторы,
описывающие содержание доли металлов в сплаве, - типичный пример плана для
смесей. Пространство плана должно удовлетворять условию X1 + X2 +, …,+ Xk = 1.
Специальные
планы применимы при наличии дальнейших ограничений, например при минимизации
доли выбранных факторов.
К термину «(Гнездовой)
эксперимент с группировкой» (2.6)
Такие
планы обычно используют для оценки компонентов дисперсии рассматриваемых
факторов. В случае трех факторов А, В, С каждый уровень фактора В появляется
только при одном уровне фактора А, а каждый уровень фактора С появляется только
при одном уровне фактора В. Эксперимент с группировкой для k-факторов, где k ≥ 2, еще называют k-ступенчатым экспериментом с группировкой.
Пример
- Рассмотрим ситуацию, когда три различных поставщика предоставляют по 4
партии сырья компании, которая последовательно
анализирует их на чистоту (рисунок А.2).
Рисунок А.2 - Иллюстрация примера
Как
видно из рисунка А.2, партии
сгруппированы по поставщикам, так как партия 1 от первого
поставщика отличается от партии 1 от второго
поставщика. Хотя номер партии тот же самый, факторы партии и поставщика не
пересекаются. Этот пример даст план с группировкой и в том случае, если каждый
поставщик поставляет разное число партий. Следующий рисунок А.3 так же описывает эксперимент с группировкой.
Рисунок А.3 - Иллюстрация эксперимента с группировкой
Анализ
намного упрощается в том случае, если число партий от каждого поставщика
одинаково.
Как
правило, эксперименты с группировкой используют в терминах компонент,
дисперсии, а не в терминах различия уровней отклика или прогнозирующих моделей.
К термину
«Сбалансированный (гнездовой) эксперимент с группировкой» (2.6.1)
Пример
- На рисунке А.4 изображен
сбалансированный эксперимент с группировкой.
Рисунок А.4 - Сбалансированный (гнездовой) эксперимент
с группировкой
Указанный
эксперимент - это сбалансированный план с группировкой, поскольку каждая
лаборатория тратит два дня (число уровней фактора В равно 2),
а два результата измерения получают в каждой лаборатории за день (число уровней
фактора С равно 2). Дни, используемые
лабораториями, скорее всего будут разными, так как они по предположению были
выбраны случайным образом из некоторого интервала.
Иногда
допускается изменить определения уровней фактора таким образом, чтобы стало
возможным сравнить их с другими факторами для получения более полной
информации. B1 может быть назначен на понедельник, а B2 - на пятницу.
Следовательно, результаты, полученные в понедельник, можно сравнивать с результатами,
полученными в пятницу. И, следовательно, для всех лабораторий это будет общим,
в отличие от ситуации, рассмотренной выше, где назначения дней были не связаны.
В этом случае мы получаем пересекающуюся (то есть каждый уровень фактора
используют со всеми уровнями другого фактора), а не иерархическую классификацию
и, следовательно, ее можно рассматривать как факторный эксперимент.
К термину
«Нерегулярный (гнездовой) эксперимент с группировкой» (2.6.2)
Для
нерегулярного эксперимента с группировкой все эффекты факторов оценивают
приблизительно с тем же числом степеней свободы.
Пример
- На рисунке А.5 изображен
нерегулярный эксперимент с группировкой.
Рисунок А.5
- Уступчатый гнездовой эксперимент
К термину
«Оптимальный план» (2.7)
При
оптимизации определенного критерия следует отметить, что получаемый оптимальный
план зависит от корректности принятой модели. Если эта модель неверна, то
полученный план может быть теоретически (то есть математически) оптимальным, но
практически он бесполезен.
К термину
«Матрица плана» (2.7.1)
Индивидуальные
обработки, составляющие строки матрицы плана, могут быть уже преобразованы в
соответствии с постулируемой моделью.
Для
данного плана эксперимента можно построить несколько матриц плана в зависимости
от постулируемой модели.
Матрицу
плана или модели обычно обозначают как X. Каждая строка X соответствует одной обработке. Первый столбец X может состоять из единиц, если общее среднее,
например μ, присутствует в модели. Другие столбцы
могут обозначать факторы или функции предсказывающих переменных.
К термину «D-оптимальный план» (2.7.1.1)
Критерий
D-оптимального плана определяется объемом
доверительного эллипсоида коэффициентов, связанных с матрицей плана X. Планы Плаккетта-Бермана из 2.2 D-оптимальны относительно модели
главных эффектов.
К термину «А-оптимальный план» (2.7.1.2)
Критерий
А-оптимального плана объединяет меру объема доверительного
эллипсоида и степень его сферичности.
К термину «G-оптимальный план» (2.7.1.3)
Оптимальность
данного плана не зависит явно от матрицы X. Можно
доказать, что при некоторых условиях критерии D- и G-оптимальных планов
эквивалентны, так что можно использовать G-критерий,
обеспечивающий процесс оптимизации для получения D-оптимального
плана.
К термину
«Ортогональный план» (2.8)
Пара
факторов ортогональна, если она удовлетворяет условию
nij = (ni×nj)/N
для каждой комбинации уровней (i, j) и каждой пары столбцов;
где nij - число появлений
комбинации уровня (i, j) в любых двух
столбцах;
ni - число появлений
уровня i в одном столбце;
nj - число появлений
уровня j в другом столбце;
N - общее число экспериментальных единиц.
К термину
«Насыщенный план» (2.9)
Невозможно
однозначно определить больше параметров, чем число экспериментальных единиц
данного плана.
К термину
«Графический метод» (3.1)
Простые
графики могут представить начальную, но эффективную оценку результатов
спланированного эксперимента.
К термину «График
главных эффектов» (3.1.1)
Пример
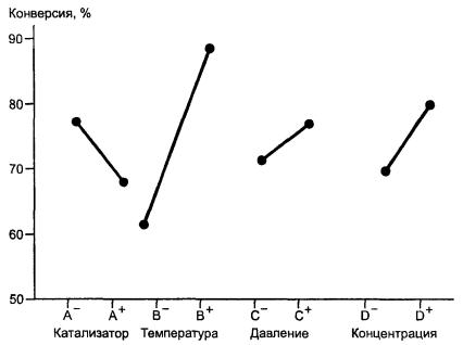
- Рисунок А.6 дает пример графика
главных эффектов. Отклик - степень конверсии (в процентах), а
предсказывающие переменные - количество катализатора (А), температура (В),
давление (С) и концентрация (D). Каждый
предиктор был задан на двух уровнях, обозначенных как «-» - низкий и «+» - высокий. Таким образом был проведен полный факторный
эксперимент 24. Из рисунка видно,
что температура влияет на конверсию сильнее остальных предсказывающих
переменных. Влияние катализатора стоит на втором месте, а влияние других двух
факторов сравнимо и незначительно. Следует провести дополнительный анализ,
чтобы определить, насколько наклон соединяющих линий на графике значимо
отличается от нуля.
Рисунок А.6 - График главных эффектов
График
главных эффектов дает средний отклик на различных уровнях каждого фактора.
Характер и величина влияния каждого фактора на отклик ясны из графика. Наличие
взаимодействий может скрыть влияние различных факторов.
К термину «График
взаимодействий» (3.1.2)
График
взаимодействий дает инструмент для обнаружения и интерпретации взаимодействий.
Отсутствие параллелизма на графике указывает на эффект взаимодействия.
К термину «График
квантилей эффектов» (3.1.3)
Пример
- На рисунке А.7 представлены
данные, взятые из примера к термину «график главных эффектов» (3.1.1).
Рисунок А.7 - График квантилей эффектов
Для
экспериментов без повторений этот график может подсказать доминирующие эффекты
(то есть те точки, которые лежат далеко вправо или далеко влево от «руководящей»
линии, проходящей через массу нанесенных на график точек. На этом рисунке
верхняя правая точка со значением, равным 5, соответствует эффекту
температуры.
К термину «График
остатков» (3.1.4)
Пример
- Продолжим рассмотрение примера к термину «график главных эффектов» (3.1.1). Используем модель с четырьмя
главными эффектами и взаимодействием BD, где В -
температура, D - концентрация. График остатков представлен
на рисунке А.8.
Рисунок А.8
- График остатков
К термину «Метод
наименьших квадратов» (3.2)
Ошибки
эксперимента, связанные с отдельными наблюдениями, обычно предполагаются
независимыми, хотя методы статистических выводов могут быть скорректированы с
учетом корреляции ошибок. Обычный дисперсионный анализ, регрессионный анализ и
ковариационный анализ - все основаны на методе наименьших квадратов и обладают
различными преимуществами при вычислениях и интерпретации результатов,
связанных со степенью некоторых балансов в расположениях экспериментов, которые
допускают удобные группировки данных.
К термину
«Регрессионный анализ» (3.3)
Регрессионный
анализ обычно связывают с процессом оценивания параметров постулируемой модели
с помощью оптимизации значения целевой функции (например, минимизируя сумму
квадратов разностей между наблюдаемыми откликами и предсказанными по модели).
Существующее статистическое программное обеспечение, устранив большинство
проблем, связанных с получением оценок параметров и их стандартных ошибок,
содержит немало моделей диагностики. Регрессионный анализ также облегчает
рассмотрение других мер для отклика. Например, если нас интересует дисперсия в
факторном эксперименте с повторениями, то отклик логарифм Si2 (где S2 - выборочная
дисперсия по параллельным точкам) может быть проанализирован и интерпретирован легче,
чем сами отклики.
Регрессионный
анализ играет роль, сходную с дисперсионным анализом, и особенно подходит для
случая, когда уровни факторов непрерывны и важна явная предсказывающая модель.
Регрессионный анализ можно также использовать в экспериментах с пропущенными
данными в отличие от дисперсионного анализа, который требует сбалансированных
данных. Однако потеря баланса увеличивает зависимость от порядка (общие
элементы включаются в первый коррелированный член, а не в последующие члены
проверок гипотез), а также ведет к потере других преимуществ
сбалансированного эксперимента. Для сбалансированных экспериментов обе методики
- варианты метода наименьших квадратов, и они дают сравнимые результаты.
Пример
- Рассмотрим ортогональный план с тремя факторами в факторном эксперименте 23 без повторений. Для экспериментальной единицы
постулируется следующая модель:
Y = β0x0 + β1x1 + β2x2 + β3x3 + e,
где x0 = 1;
β0, β1, β2, β3 - коэффициенты
регрессии;
x1 - уровень фактора А;
x2 - уровень
фактора В;
x3 - уровень
фактора С;
e - случайная
ошибка.
Эту
модель можно применить и для трех качественных факторов, уровни которых
закодированы как -1
и +1.
В
таблицах А.7 и А.8 представлен регрессионный анализ для данного
примера.
Таблица А.7
- Регрессионный анализ для примера 1
|
Коэффициент регрессии |
Сумма квадратов |
Степень свободы |
Средний квадрат |
|
|
Всего |
- |
ST = ΣYi2 |
8 |
- |
|
Постоянный (X0) |
|
Sx0 = β0Σx0iYi |
1 |
Sx0 |
|
Регрессия на X1(A) |
|
Sx1 = β1Σx1iYi |
1 |
Sx1 |
|
Регрессия на X2(В) |
|
Sx2 = β2Σx2iYi |
1 |
Sx2 |
|
Регрессия на X3(С) |
|
Sx3 = β3Σx3iYi |
1 |
Sx3 |
|
Остаток |
- |
SE = ST - Sx0 - Sx1 - Sx2
- Sx3 |
4 |
SE/4 |
|
Примечание
|
||||
Если в одном блоке эксперимент 23 был
повторен, то степени свободы для строки «всего» (строка 1) будут равны 16, а для строки
«остаток» будут равны 12. «Остаточную» сумму
квадратов можно тогда разделить на 2 части:
одна связана с «повторениями», а вторая - с
«неадекватностью» и со степенями свободы 8 и 4 соответственно.
Таблица А.8 - Дополнительные действия для эксперимента
с повторениями
|
Сумма квадратов |
Степени свободы |
Средний квадрат |
F |
Ожидаемое |
|
|
Остаток |
SE |
12 |
SE/12 |
|
|
|
Повторения |
|
8 |
SE/8 |
|
|
|
Неадекватность |
SL = SE - SR |
4 |
SL/4 |
|
|
Статистическую значимость каждого источника можно проверить,
используя F-статистику для среднего
квадрата этого источника и соответствующее значение ошибки, если подходит
предположение о нормальности распределения. Для ситуации без повторений «остаточный»
член сравнивается с регрессионным. Для ситуации с двумя повторениями член
«неадекватность» сравнивается с «повторениями» («ошибка эксперимента») для
определения, адекватна ли модель. «Повторение» представляет меру ошибки
эксперимента, свободной от возможного вклада от неадекватности модели, который может смешиваться с «остатком».
К термину
«Дисперсионный анализ» (3.4)
Дисперсионный
анализ облегчает оценивание компонент дисперсии и проверку гипотез о параметрах
модели. Таблица дисперсионного анализа обычно содержит столбцы для:
-
источника вариации;
-
сумм квадратов (SS);
-
степеней свободы (DF);
-
средних квадратов (MS) (сумм квадратов, деленных на число
степеней свободы);
- F (отношения средних квадратов в строке к среднему квадрату,
связанному с ошибкой);
-
ожидаемых средних квадратов E(MS) (математического ожидания суммы квадратов данных в терминах
параметров модели).
Строки
таблицы представляют определенные эффекты факторов или взаимодействия, блоки
(если в эксперименте применялось блокирование) или ошибки (остаточные эффекты,
не учтенные моделью или блоками). Строка, обозначенная «всего», обычно содержит
общую сумму квадратов относительно общего среднего и основана на числе степеней
свободы, которое на единицу меньше, чем объем выборки.
Пример
Рассмотрим
рандомизированный блочный план, в котором наблюдения получены с i-го уровня из l уровней фактора
А в j-м блоке из h; обозначены как: Yij = (I = 1,
2, …, l;
j = 1,
2, …, h). Основной
фактор А обозначает постоянный эффект обработки; фактор В представляет
постоянный эффект блока. Тогда выполняется следующая таблица А.9 дисперсионного анализа:
Таблица А.9 - Дисперсионный анализ для примера
|
Сумма
квадратов (SS) |
Степени свободы (DF) |
Средний квадрат
(MS) |
F |
Ожидаемый средний квадрат [E(MS)] |
|
|
Всего |
|
vT = hl - 1 |
- |
- |
- |
|
Фактор А (обработка) |
|
vA = l
- 1 |
|
|
σ2 + hK2A |
|
Фактор В (блок) |
|
vB = h
- 1 |
|
|
σ2 + lK2B |
|
Ошибка |
|
ve = (l - 1)( h - 1) |
|
- |
σ2 |
В таблице А.9:
ST = SA + SB + Se;
vT = vA + vB - ve;
F(vA, ve), F(vB, ve) - F-статистики.
Одна
модель, связанная с наблюдениями, имеет следующий вид
Yij = μ + αi + βj + еij; i = 1,
2, …, l; j = 1, 2, …, h,
где Σαi = Σβi = 0; eij ~ N(0,
σ2);
![]()
где μ - общее
среднее;
αi - эффект i-й обработки;
βi - эффект j-го блока;
eij - ошибка
эксперимента;
σ2 - дисперсия
случайной величины;
N(0, σ2)
- нормированное нормальное распределение с параметрами (0, σ2).
В
этом примере предполагают, что назначены постоянные уровни. Оценки метода
наименьших квадратов для μ, αi, βi и σ2 получают по
следующим формулам:
![]()
![]()
![]()

Формулы
этого примера упрощенные, так как в рандомизированном блочном плане каждая ячейка
должна содержать одинаковое число наблюдений.
Основы
предположения дисперсионного анализа: эффекты всех источников вариации
аддитивны и экспериментальные ошибки независимы и имеют нормальное
распределение со средним, равным нулю, и равными дисперсиями. Этот метод вместе
с F-отношением используется для проверки значимости этих
источников вариации и для получения оценки дисперсии, связанной с этими
источниками. Предположение о нормальности распределения необходимо только для
этой проверки значимости и для вычисления доверительных интервалов. Средние
арифметические и взаимодействия обычно получают суммированием в таблицах
сопряженности с двумя (или k) уровнями. Этот пример предполагает модель 1
(модель постоянных эффектов). Когда предположение о нормальности ошибок не
проходит, допускается использовать преобразования (например логарифмирование)
откликов или применять непараметрические процедуры.
К термину «Модель
дисперсионного анализа с постоянными эффектами» (3.4.1)
При
постоянных уровнях нельзя вычислить компоненты дисперсии. Эту модель также
иногда называют «моделью 1-го дисперсионного анализа».
К термину «Модель
дисперсионного анализа со случайными эффектами» (3.4.2)
Случайные
уровни в основном интересны при получении оценок компонентов дисперсии. Эту
модель обычно называют «моделью 2-го дисперсионного
анализа».
Пример
- Рассмотрим ситуацию, когда в процессе обрабатываются партии сырья.
Партию
можно рассматривать как случайный фактор, когда несколько партий случайным
образом выбраны из совокупности партий.
К термину
«Смешанная модель дисперсионного анализа» (3.4.3)
Компоненты
дисперсии имеют смысл только для случайных факторов. Более того, оценки
эффектов применимы только для фиксированных факторов. Эту модель также называют
«модель 3-го дисперсионного анализа».
К термину
«Ковариационный анализ» (3.5)
Ковариационный
анализ можно рассматривать как комбинацию регрессионного и дисперсионного
анализов.
Обычно сопутствующий фактор нельзя учесть при планировании
эксперимента и нежелательное влияние на результаты приходится учитывать уже в
анализе. Например, экспериментальные единицы могут различаться по количеству
некоторого химического компонента от единицы к единице. Его можно измерить, но
нельзя изменить.
Ключевые слова: статистические методы, эксперимент,
план эксперимента, фактор, эффект, взаимодействие, отклик, опыты, регрессионный
анализ, дисперсионный анализ
|
|
|
|