Бесплатная библиотека стандартов и нормативов www.docload.ru

Все документы, размещенные на этом сайте, не являются их официальным изданием и предназначены исключительно для ознакомительных целей.
Электронные копии этих документов могут распространяться без всяких ограничений. Вы можете размещать информацию с этого сайта на любом другом сайте.
Это некоммерческий сайт и здесь не продаются документы. Вы можете скачать их абсолютно бесплатно!
Содержимое сайта не нарушает чьих-либо авторских прав! Человек имеет право на информацию!

 

ГОСТ ИСО/ТО 12100-1-2001

МЕЖГОСУДАРСТВЕННЫЙ СТАНДАРТ

БЕЗОПАСНОСТЬ ОБОРУДОВАНИЯ

ОСНОВНЫЕ ПОНЯТИЯ,
ОБЩИЕ ПРИНЦИПЫ КОНСТРУИРОВАНИЯ

ЧАСТЬ 1

ОСНОВНЫЕ ТЕРМИНЫ, МЕТОДИКА

МЕЖГОСУДАРСТВЕННЫЙ СОВЕТ
ПО СТАНДАРТИЗАЦИИ, МЕТРОЛОГИИ И СЕРТИФИКАЦИИ

МИНСК

Предисловие

1 РАЗРАБОТАН Всероссийским научно-исследовательским институтом стандартизации и сертификации в машиностроении (ВНИИНМАШ) Госстандарта России

ВНЕСЕН Госстандартом России

2 ПРИНЯТ Межгосударственным Советом по стандартизации, метрологии и сертификации (протокол № 19 от 24 мая 2001 г.)

За принятие проголосовали:

Наименование государства

Наименование национального органа по стандартизации

Азербайджанская Республика

Азгосстандарт

Республика Армения

Армгосстандарт

Республика Беларусь

Госстандарт Республики Беларусь

Республика Казахстан

Госстандарт Республики Казахстан

Кыргызская Республика

Кыргызстандарт

Республика Молдова

Молдовастандарт

Российская Федерация

Госстандарт России

Республика Таджикистан

Таджикстандарт

Туркменистан

Главгосслужба «Туркменстандартлары»

Республика Узбекистан

Узгосстандарт

3 Настоящий стандарт представляет собой аутентичный текст международного документа ИСО/ТО 12100-1-92 «Безопасность оборудования. Основные понятия, общие принципы конструирования. Часть 1. Основная терминология, методология»

4 Постановлением Государственного комитета Российской Федерации по стандартизации и метрологии от 23 мая 2002 г. № 199-ст межгосударственный стандарт ГОСТ ИСО/ТО 12100-1-2001 введен в действие непосредственно в качестве государственного стандарта Российской Федерации с 1 июля 2003 г.

5 ВВЕДЕН ВПЕРВЫЕ

СОДЕРЖАНИЕ

1 Область применения. 2

2 Нормативные ссылки. 2

3 Определения. 2

4 Описание опасностей. 7

4.1 Общая часть. 7

4.2 Механические опасности. 7

4.3 Электрические опасности. 7

4.4 Тепловые опасности. 8

4.5 Опасности от шума. 8

4.6 Вибрационные опасности. 8

4.7 Опасности от излучений. 8

4.8 Опасности от воздействия материалов и веществ. 8

4.9 Опасности из-за несоблюдения эргономических принципов в конструкции машины.. 8

4.10 Комбинации опасностей. 9

5 Стратегия выбора мер безопасности. 9

5.1 Определение области применения машины.. 9

5.2 Систематическая оценка опасных ситуаций. 9

5.3 Устранение источника опасности или ограничение риска (снижение риска путем конструирования) 10

5.4 Защитные меры от опасностей, которые согласно 5.3 не могут быть устранены или достаточно ограничены.. 10

5.5 Информирование и предупреждение потребителя об остаточном риске. 10

5.6 Дополнительные меры предосторожности. 11

5.7 Дополнительные требования. 11

6 Оценка риска. 12

6.1 Основные требования. 12

6.2 Факторы, которые необходимо учитывать при оценке степени риска. 12

Приложение А Общее схематическое изображение машины.. 13

Приложение Б Словарь специальных терминов и выражений, используемых в настоящем стандарте. 13

Приложение В Библиография. 16

Введение

Настоящий стандарт, содержащий аутентичный текст ИСО/ТО 12100-1-92 (ЕН 292-1-91), предназначен разъяснить конструкторам, изготовителям оборудования и другим заинтересованным сторонам основные требования безопасности оборудования для достижения соответствия с европейским законодательством.

Существует следующая иерархическая структура стандартов в области безопасности:

а) стандарты типа А (стандарты общетехнических вопросов безопасности), содержащие основные концепции, принципы конструирования и общие аспекты, которые могут быть применены к оборудованию всех видов;

б) стандарты типа В (стандарты групповых вопросов безопасности), касающиеся одного аспекта безопасности или одного вида оборудования, связанного с безопасностью, которые могут быть применены для оборудования широкого диапазона:

- стандарты типа В1 на специальные аспекты безопасности (например, безопасное расстояние, температура поверхности, шум);

- стандарты типа В2 на специальные устройства, обеспечивающие безопасность (например, органы управления с двумя ручками, блокирующие устройства, регуляторы давления);

в) стандарты типа С (стандарты безопасности изделий), устанавливающие детальные требования безопасности для отдельных видов изделий или группы однородных изделий, определенных областью применения стандарта.

Настоящий стандарт относится к стандартам типа А.

МЕЖГОСУДАРСТВЕННЫЙ СТАНДАРТ

Безопасность оборудования

ОСНОВНЫЕ ПОНЯТИЯ, ОБЩИЕ ПРИНЦИПЫ КОНСТРУИРОВАНИЯ

Часть 1

Основные термины, методика

Safety of machinery. Basic concepts, general principles for design. Part 1.
Basic terms, procedure

Дата введения 2003-07-01

1 ОБЛАСТЬ ПРИМЕНЕНИЯ

Настоящий стандарт устанавливает основные термины и определения понятий в области безопасности оборудования и общие принципы конструирования, позволяющие разработчикам и изготовителям достичь безопасности оборудования производственного и непроизводственного назначения (см. 3.1).

Настоящий стандарт может быть применен для другой технической продукции, содержащей подобные опасности. Рекомендовано использовать настоящий стандарт в учебных курсах и руководствах, которые определяют основополагающую терминологию и общие методы конструирования.

Основное назначение настоящего стандарта совместно с ЕН 414 [1]1) - дать рекомендации разработчикам и изготовителям оборудования, когда отсутствуют стандарты типа С.

1) На территории Российской Федерации действует ГОСТ Р ЕН 414-2002.

Приложения А, Б, В даны только для информации.

2 НОРМАТИВНЫЕ ССЫЛКИ

В настоящем стандарте использованы ссылки на следующий стандарт:

ГОСТ ИСО/ТО 12100-2-2002 Безопасность оборудования. Основные понятия, общие принципы конструирования. Часть 2. Технические правила и технические требования

3 ОПРЕДЕЛЕНИЯ

В настоящем стандарте применяют следующие термины с соответствующими определениями (см. также приложение Б):

3.1 оборудование (машина)

Совокупность связанных между собой частей или устройств, из которых по крайней мере одно движется, а также элементы привода, управления и энергетические узлы, которые предназначены для определенного применения, в частности для обработки, производства, перемещения или упаковки материала. К термину «оборудование» относят также и совокупность машин, которые так устроены и управляемы, что они функционируют как единое целое для достижения одной и той же цели.

Приложение А содержит общее схематическое изображение машины.

3.2 надежность

Способность машины (оборудования) безотказно выполнять заданные функции при определенных условиях и в заданном временном отрезке.

3.3 ремонтопригодность машины

Возможность содержать машину в таком состоянии или вернуть ее в такое состояние, в котором она могла бы выполнять функции в области предназначенного применения (см. 3.12), причем содержание машины в исправности может быть обеспечено установленной инструкцией и с помощью предусмотренных для этого средств.

3.4 безопасность машины

Способность машины выполнять функции и иметь возможность быть транспортируемой, устанавливаемой, регулируемой, обслуживаемой, демонтируемой в условиях предназначенного применения (см. 3.12), согласно инструкции изготовителя, без травмирования или нанесения другого вреда здоровью.

3.5 опасность

Источник возможных травм или другого вреда здоровью.

Примечание - Понятие «опасность» применяют в общем сочетании с другими понятиями, которые связаны с ожидаемыми травмами или другим вредом для здоровья: опасностью электроудара, опасностью удара (раздавливания), опасностью пореза, опасностью отравления и т.д. Опасности, которые исходят от оборудования, описаны в разделе 4.

3.6 опасная ситуация

Любая ситуация, в которой человек (личность) подвержен одной или многим опасностям.

3.7 риск

Комбинация вероятностей и степени тяжести возможных травм или другого вреда здоровью в опасной ситуации.

3.8 оценка риска

Оценка вероятности и степени тяжести возможного травмирования или нанесения другого вреда здоровью в опасной ситуации, чтобы выбрать необходимые меры безопасности.

Примечание - Раздел 6 рассматривает оценку риска.

3.9 опасные функции машин

Любая функция машины, которая во время работы вызывает опасность.

3.10 опасная зона

Зона внутри машины и/или вокруг нее, в которой человек подвергается риску травмирования или нанесения другого вреда здоровью.

Примечание - Опасности, которые вызывают риск в соответствии с этим определением:

- либо постоянно действующие при предназначенном применении машины (опасное движение ее подвижных частей, электрическая дуга при сварке и т.д.);

- либо наступающие неожиданно (непреднамеренный/неожиданный пуск и т.д.).

3.11 конструкция машины

Ряд действий, включая:

а) исследование самой машины, при котором должны быть учтены все стадии жизненного цикла:

1) конструирование;

2) транспортирование и ввод в эксплуатацию:

- сборка;

- установка;

- регулировка;

3) применение (использование):

- настройка, обучение/программирование или процесс переналадки;

- эксплуатация (работа);

- очистка;

- поиск последствий отказов и повреждений;

- техническое обслуживание;

4) вывод из эксплуатации, демонтаж, утилизация;

б) разработку руководства по эксплуатации относительно всех вышеупомянутых стадий (исключая конструирование) по 5.5 ГОСТ ИСО/ТО 12100-2.

3.12 предназначенное применение (использование) машины

Применение, при котором машину используют согласно назначению, предусмотренному изготовителем, или которое является обычным для конструкции и назначения машины. К предназначенному применению относят, кроме того, соответствие техническим инструкциям, изложенным в руководстве по эксплуатации (см. 5.5 ГОСТ ИСО/ТО 12100-2), где должны быть описаны возможные случаи неправильного использования.

Примечание - В числе возможных случаев неправильного использования при оценке риска должны быть учтены следующие случаи поведения:

- возможное ошибочное поведение вследствие обычной невнимательности, но не вследствие преднамеренного неправильного использования;

- реакция персонала в случае ошибки в работе, инцидента, простоя и т.д. во время использования машины;

- поведение, которое можно определить как «путь наименьшего сопротивления» при решении задачи;

- на некоторых машинах (особенно на машинах для непроизводственного применения) преднамеренное поведение определенной категории людей, например детей или людей с замедленной реакцией (см. 5.7.1).

3.13 функции безопасности

3.13.1 критические функции безопасности

Критические функции безопасности машины - это такие функции, нарушение которых привело бы к повышению риска травмирования или нанесения другого вреда здоровью.

Имеются две категории критических функций безопасности:

а) специфические функции безопасности, которые специально предусмотрены для обеспечения безопасности. Например:

- предотвращающие непреднамеренный/неожиданный пуск (блокировка в сочетании с отдельными защитными устройствами);

- препятствующие повторению рабочего цикла;

- двуручное управление;

б) функции самой машины, обеспечивающие безопасность, но не являющиеся специфическими функциями. Например:

- ручное управление одним опасным механизмом во время наладки при отключенных защитных устройствах (см. 3.7.9 и 4.1.4 ГОСТ ИСО/ТО 12100-2);

- управление скоростью или температурой, которые поддерживаются машиной в безопасном диапазоне.

3.13.2 дублирующие функции безопасности

Дублирующие функции безопасности - это такие функции, отказ которых не ведет непосредственно к опасности, однако уменьшает уровень безопасности. Они охватывают автоматический контроль (см. 3.7.6 ГОСТ ИСО/ТО 12100-2) любой критической функции безопасности (например, контроль правильной работы позиционного переключателя, относящегося к блокирующему устройству).

3.14 автоматический контроль

Дублирующая функция безопасности, которая обеспечивает заданный уровень безопасности, если способность составной части или элемента машины выполнять свои функции уменьшается или условия изменяются до опасного уровня. Имеются две категории автоматического контроля:

- непрерывный автоматический контроль путем немедленного включения мер безопасности, если наступает отказ;

- дискретный автоматический контроль, когда функция безопасности включается во время последующего рабочего цикла машины, если произошел отказ.

3.15 неожиданный (непреднамеренный) пуск

Любой пуск, который вследствие неожиданности может вызвать риск для человека.

3.16 отказ, ведущий к опасному состоянию

Любой отказ машины или перебой в ее энергоснабжении, который приводит к опасному состоянию.

3.17 безопасное состояние

Теоретическое состояние, которое могло быть достигнуто, если бы функция безопасности (критическая или дублирующая) оставалась неизменной в случае отказа источника питания или любой детали, имеющего значение для достижения этого состояния. На практике это состояние наступает тем быстрее, чем меньше влияют отказы на снижение рассматриваемой функции безопасности.

3.18 снижение риска путем конструирования

К снижению риска относят:

- устранение или уменьшение как можно большего числа опасностей путем соответствующего выбора конструкции;

- ограничение возможности подвергнуть человека неустранимым опасностям или опасностям, которые могут быть недостаточно снижены.

Это может быть достигнуто сокращением необходимости проведения работ в опасных зонах.

Примечание - Раздел 3 ГОСТ ИСО/ТО 12100-2 рассматривает снижение риска путем конструирования.

3.19 технические меры защиты

Использование специальных технических средств, так называемых защитных устройств (собственно защитных устройств или предохранительных), чтобы защитить персонал от опасности, которая не может быть полностью устранена или достаточно ограничена путем конструирования.

Примечание - Раздел 4 ГОСТ ИСО/ТО 12100-2 рассматривает технические меры защиты.

3.20 информация потребителю

Меры безопасности, которые состоят из коммуникативных элементов, таких как тексты, слова, знаки, сигналы, символы или диаграммы, применимые или по отдельности или вместе, чтобы передать информацию потребителю. Они предназначены для промышленного и/или непромышленного потребителей.

Примечание - Раздел 5 ГОСТ ИСО/ТО 12100-2 содержит информацию потребителю.

3.21 оператор

Лицо (или лица), которое занимается установкой и пуском в эксплуатацию, наладкой, техническим обслуживанием, очисткой, ремонтом или транспортированием оборудования.

3.22 защитное ограждение

Часть машины, которую используют специально для обеспечения защиты посредством физического барьера. В зависимости от конструкции защитным ограждением можно назвать кожух, крышку, экран, дверцу, закрывающееся ограждение и т.д.

Примечания

1 Защитное ограждение может функционировать:

- самостоятельно, и оно является эффективным только в закрытом состоянии;

- совместно с блокирующим устройством с фиксацией или без нее, в этом случае защита обеспечивается независимо от положения защитного ограждения.

2 Неподвижное защитное ограждение считают «закрытым», когда оно закреплено в закрытом положении.

3.22.1 неподвижное защитное ограждение

Защитное ограждение, фиксируемое в определенном положении (т.е. в закрытом) либо будучи закрепленным (например, приваренным), либо с помощью элементов крепления (болтов, гаек и т.д.), которые невозможно снять или открыть без применения инструмента.

3.22.2 подвижное защитное ограждение

Защитное ограждение, которое в большинстве случаев механически связано со станиной машины или одним соседним неподвижным элементом, например посредством шарниров или прямолинейных направляющих, и может быть открыто без применения инструмента.

3.22.3 регулируемое защитное ограждение

Неподвижное или подвижное защитное ограждение, регулируемое в целом или содержащее отдельные регулируемые части, регулировка которого сохраняется во время определенного технологического этапа.

3.22.4 защитное ограждение с блокировкой

Защитное ограждение, оснащенное блокирующим устройством (см. 3.23.1) с тем, чтобы:

- опасные функции машины не могли быть осуществлены до тех пор, пока защитное ограждение не будет закрыто;

- если защитное ограждение открыто при осуществлении вызывающих опасность функций машины, то был подан сигнал на ее остановку;

- если защитное ограждение закрыто, то вызывающие опасность функции машины могли быть осуществлены, однако закрытие защитного ограждения само по себе не приводит к пуску машины.

3.22.5 блокирующее защитное ограждение с фиксацией закрытия

Блокирующее защитное ограждение с фиксацией закрытия (см. 3.23.1) - это такое устройство, при применении которого:

- опасные функции машины не могут быть осуществлены, если указанное устройство не закрыто и не зафиксировано;

- указанное устройство остается закрытым и заблокированным до тех пор, пока не будет исключена опасность травмирования из-за опасных функций машины;

- если указанное устройство закрыто и заблокировано, то, опасные функции машины, блокируемые этим устройством, могут быть осуществлены, однако сами по себе закрытие и заблокирование устройства не приводят к пуску или блокированию пуска машины.

3.22.6 управляемое защитное ограждение

Защитное ограждение с блокировкой (с фиксацией или без нее) (см. 3.23.1) - это устройство, при применении которого:

- опасные функции машины, блокируемые указанным устройством, не могут быть осуществлены, если это устройство не закрыто;

- закрытие указанного устройства делает возможным выполнение опасных функций машины.

3.23 предохранительное устройство

Устройство без функции ограждения, которое уменьшает или исключает опасность само по себе или в соединении с защитным ограждением.

3.23.1 блокирующее устройство

Механическое, электрическое или другое устройство, которое при определенных условиях препятствует функционированию элементов машины (обычно до тех пор, пока защитное ограждение не закрыто).

3.23.2 сопутствующее устройство управления

Дополнительное ручное устройство управления, которое используют совместно с органом управления пуском и которое при непрерывном на него воздействии позволяет машине функционировать.

3.23.3 устройство управления с автоматическим возвратом в исходное положение

Устройство управления, которое приводит в действие и сохраняет работу элементов машины только при воздействии на орган ручного управления. Орган ручного управления автоматически возвращается в позицию остановки, когда его отпускают.

3.23.4 двуручное устройство управления

Устройство управления с автоматическим возвратом, которое для пуска и функционирования машины требует совместного действия двух органов ручного управления, создавая таким образом защиту оператора, который воздействует на орган ручного управления.

3.23.5 защитное устройство с реакцией на приближение

Устройство, которое останавливает машину или элементы машины, или другим способом создает безопасное состояние, если оператор или часть его тела оказались в пределах опасной зоны. Защитные устройства с реакцией на приближение могут быть:

- механического действия: телескопический датчик, устройства, реагирующие на давление, и т.д.

- немеханического действия: фотоэлектрические устройства, устройства с емкостными и ультразвуковыми датчиками и т.д.

3.23.6 механическое ограничивающее устройство

Устройство, которое создает механические препятствия (клин, стержень, стопор, распорка и т.д.) для машины и, благодаря своей прочности, препятствует любому опасному движению, например падению копра из-за отказа нормального опорного устройства.

3.23.7 ограничивающее устройство

Устройство, которое препятствует машине или элементам машины перейти заданные границы, например границы в пространстве, предельное давление и т.д.

3.23.8 устройство управления ограниченным движением

Устройство управления, функция которого заключается в ограничении движения элемента машины при воздействии на орган управления. При этом риск, по возможности, уменьшается и каждое следующее движение исключается до тех пор, пока не произойдет новое воздействие на орган управления.

3.24 защитное ограждение, ограничивающее доступ

Физическое препятствие, которое не исключает полностью подход к опасной зоне, но затрудняет свободный доступ.

4 ОПИСАНИЕ ОПАСНОСТЕЙ

4.1 Общая часть

Целями настоящего раздела являются идентификация и описание (с помощью их характера или последствий) различных опасностей, вызванных оборудованием, для облегчения анализа опасностей, выполняемого, в частности, при:

- конструировании машины;

- разработке определенных норм безопасности машины;

- оценке риска.

4.2 Механические опасности

В качестве механических опасностей определяют все физические факторы, которые могут привести к травмам, обусловленным механическим движением деталей машины, инструмента, заготовок или вызванным выделяющимися при обработке твердыми или жидкими материалами.

4.2.1 Основные последствия механических опасностей:

- защемление или раздавливание;

- порезы;

- отрезание или разрубание;

- захват или наматывание;

- затягивание или задерживание;

- попадание под удар;

- местный укол или полное прокалывание;

- поверхностное повреждение наружных тканей под действием трения;

- травмирование выбросом жидкости под высоким давлением.

4.2.2 Исходящие от деталей машины (или заготовок) механические опасности, кроме того, обусловлены:

- формой поверхностей режущих элементов, острых кромок, остроконечных деталей (даже если эти части не движутся);

- относительным положением движущихся деталей, которые, например, могут создать зоны затягивания, раздавливания, пореза;

- массой и устойчивостью (потенциальной энергией деталей, которые могут двигаться под влиянием сил тяжести);

- массой и скоростью (кинетической энергией частей при контролируемом и неконтролируемом движении);

- ускорением;

- недостаточной механической прочностью, которая может привести к опасным поломкам или разрывам;

- потенциальной энергией упругих элементов (пружин), жидкостей или газов, находящихся под давлением или в вакууме.

4.2.3 Вследствие механического характера в 4.2 включены также опасности скольжения, спотыкания и падения при взаимодействии с машинами.

4.3 Электрические опасности

Эти опасности могут привести к травмам или смерти от поражения электрическим током или ожога, причиной их являются:

- соприкосновение человека с токоведущими деталями, которые обычно находятся под напряжением (прямой контакт);

- детали, которые в неисправном состоянии находятся под напряжением, особенно при повреждении (пробое) изоляции (косвенный контакт);

- приближение человека к токоведущим деталям, особенно в зоне высокого напряжения;

- изоляция, которая непригодна для предусмотренных условий эксплуатации;

- электростатические процессы, как, например, при соприкосновении человека с заряженными деталями;

- термическое излучение или процессы, как, например, выброс расплавленных частиц, химические процессы при коротких замыканиях, перегрузки.

Они могут привести к тому, что человек упадет (или предметы упадут на него) вследствие поражения электрическим током.

4.4 Тепловые опасности

Тепловые опасности могут иметь последствия, такие как:

- ожоги и ошпаривание из-за соприкосновения с предметами или материалами с экстремальными температурами, вызванными пламенем или взрывом, а также излучением источников тепла;

- нанесение вреда здоровью из-за воздействия высокой или низкой температуры в рабочей зоне.

4.5 Опасности от шума

Шум может вызвать:

- продолжительные повреждения слуха (потерю остроты слуха);

- звон в ушах;

- утомляемость, стресс и т.д.;

- другие последствия, как, например, нарушение равновесия, ослабление внимания;

- создание помех речевым сообщениям, звуковым сигналам и т.д.

4.6 Вибрационные опасности

Вибрации могут передаваться на все тело и непосредственно на руки и предплечье (при применении машин, управляемых вручную).

Очень сильная кратковременная вибрация (или менее сильная длительная вибрация) может вызвать серьезные расстройства, например неврологические и суставные расстройства, остеоартрит, люмбаго и ишиас.

4.7 Опасности от излучений

Эти опасности могут быть вызваны целым рядом причин из-за ионизированных или неионизированных источников излучения:

- низкочастотных;

- радиочастот и микроволн;

- инфракрасных;

- видимого света;

- ультрафиолетовых;

- рентгеновских излучений и g-лучами;

- a- и b-лучами, электронными или ионными лучами;

- нейтронами.

4.8 Опасности от воздействия материалов и веществ

Материалы и вещества, которые на машине обрабатывают, применяют или получают, и материалы, которые используют при изготовлении машины, могут вызывать опасности:

- при контакте или вдыхании жидкостей, газов, тумана, паров и пыли, которые оказывают отравляющее, повреждающее, раздражающее и/или разъедающее действие;

- пожара или взрыва;

- биологические (например, плесень) и микробиологические, возникающие из-за вирусов и бактерий.

4.9 Опасности из-за несоблюдения эргономических принципов в конструкции машины

Отсутствие согласованности между характеристиками машин и возможностями и способностями человека может обнаруживаться в следующих формах:

- физиологические воздействия, которые, например, вызывают болезненное состояние, чрезмерное или повторяемое напряжение тела;

- психофизиологические воздействия, причиненные из-за умственных перегрузок или подавленности, стресса и т.д., возникающих при эксплуатации, проверках или техническом обслуживании машины в пределах границ ее предназначенного применения (см. 3.12);

- ошибки оператора.

4.10 Комбинации опасностей

Отдельные опасности, оцененные как незначительные, могут в комбинации друг с другом привести к значительной опасности.

5 СТРАТЕГИЯ ВЫБОРА МЕР БЕЗОПАСНОСТИ

Под мерами безопасности подразумевают комбинацию мер, которые применяют на стадии конструирования, с мерами, которые будут предприняты потребителем. Разработчик при всех обстоятельствах должен:

- четко определить область применения машины (см. 5.1);

- идентифицировать опасности и оценить риск (см. 5.2);

- устранить источники опасности или ограничить, насколько возможно, риск (см. 5.3);

- применить защитные ограждения и/или предохранительные устройства в зависимости от остаточного риска (см. 5.4);

- информировать и предупреждать потребителя об остаточном риске (см. 5.5);

- учитывать любые необходимые дополнительные меры предосторожности (см. 5.6).

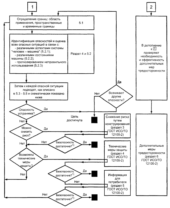
Примечание - Стратегия, которая предложена в настоящем разделе, в основном повторяющегося типа; следующие друг за другом различные меры (1, 2), которые схематически изображены на рисунке 1, иногда нужны, чтобы достичь удовлетворительного результата. При проведении этих процедур необходимо учитывать в порядке предпочтения следующее:

- безопасность машины;

- способность машины выполнять функции, быть пригодной к монтажу, наладке и техническому обслуживанию;

- стоимость изготовления и эксплуатации машины.

Конструктивные меры являются предпочтительными перед мерами, которые предпринимает потребитель (рисунок 2).

Ответственность потребителя за применение мер, направленных на уменьшение остаточного риска, в настоящем стандарте не рассматривается. Для безопасной продолжительной работы машины важно, чтобы меры безопасности были простыми и не препятствовали предназначенному применению. В противном случае меры безопасности могут быть обойдены, чтобы достичь максимального использования машины (см. 5.7.1).

5.1 Определение области применения машины

Разработку машины (см. 3.11) начинают с определения области ее применения:

- границы применения: установление предназначенного применения машины (см. 3.12) и т.д.;

- пространственные границы: диапазон движения, необходимая площадь для установки машины, взаимодействие систем «человек - машина» и «машина - энергоснабжение» и т.д.;

- временные границы: установление прогнозируемого срока службы машины, учитывая предназначенное применение, и (или) некоторых ее частей (инструментов, быстроизнашивающихся частей, электрооборудования и т.д.).

5.2 Систематическая оценка опасных ситуаций (см. 3.6)

Если различные опасности, которые могут исходить от машины (см. раздел 4), выявлены, то разработчик должен предусмотреть все ситуации, которые могут привести к травмированию или нанесению другого вреда здоровью. Причем нужно учитывать следующее:

5.2.1 Принятие мер разработчиком на всех стадиях жизненного цикла машины, как указано в 3.11, перечисление а).

5.2.2 Возможные производственные состояния машины:

а) машина выполняет предусмотренные функции (нормальная работа);

б) машина не выполняет производственные функции (нарушение нормальной работы) из-за различных причин, включая:

- изменение свойств или размеров обрабатываемого материала или заготовки;

- отказ одной (или более) составных частей машины или вспомогательного оборудования;

- внешние воздействия (например, сотрясения, вибрации, электромагнитные поля);

- конструкторские ошибки или недостатки (например, ошибка программного обеспечения);

- помехи в энергоснабжении;

- потерю контроля над машиной оператором (особенно над машинами, управляемыми вручную).

5.2.3 Возможные случаи неправильного использования машины (см. 3.12).

5.3 Устранение источника опасности или ограничение риска (снижение риска путем конструирования)

Этой цели можно достичь путем полного устранения или сведения к минимуму, отдельно или одновременно, каждого из обоих факторов, которые определяют риск (см. 6.2).

Все технические меры, которые приводят к снижению риска путем конструирования, облегчают достижение этой цели (см. раздел 3 ГОСТ ИСО/ТО 12100-2).

5.4 Защитные меры от опасностей, которые согласно 5.3 не могут быть устранены или достаточно ограничены,

- по разделу 4 ГОСТ ИСО/ТО 12100-2.

5.5 Информирование и предупреждение потребителя об остаточном риске

Потребителя следует информировать и предупредить об остаточном риске, который конструктивно не устранен (см. раздел 5 ГОСТ ИСО/ТО 12100-2). Инструкции и предупреждения должны предписывать такие методы и режимы работы, которые помогают избежать опасности и указывают на необходимость специального обучения обслуживающего персонала и, если необходимо, применения средств индивидуальной защиты.

1) «Безопасность достаточна?» означает:

- достигнут ли намеченный уровень безопасности (см. 6);

- обеспечено ли, что тот же уровень безопасности нельзя достичь более простым способом?;

- обеспечено ли, что предпринятые меры:

- существенно не снизили функциональные параметры машины?;

- не привели к возникновению новых непредвиденных опасностей или проблем?;

- подходят принятые решения для всех условий производства и для всех режимов работы (см. 5.7.1)?;

- совместимы друг с другом эти решения?;

- не затрудняют ли эти решения работу оператора?

Рисунок 1 - Схематическое изображение стратегии выбора соответствующих мер безопасности

Рисунок 2 - Взаимосвязь между обязанностями разработчика и потребителя машин

5.6 Дополнительные меры предосторожности

Разработчик должен определить, требуются ли дополнительные устройства при аварийных ситуациях (см. 6.1 ГОСТ ИСО/ТО 12100-2) или безопасность может быть повышена за счет вторичного эффекта их первичного назначения (см. 6.2 ГОСТ ИСО/ТО 12100-2), как, например, упрощением технического обслуживания, что также является фактором безопасности.

5.7 Дополнительные требования

5.7.1 Разработчик должен по возможности полно определить различные способы использования машины и различные методы работы оператора. Соответствующие меры безопасности могут быть связаны с каждым из этих способов использования машины и методов работы оператора. Таким образом будут устранены мотивы применения оператором опасных режимов работы и технических воздействий вследствие технических затруднений (см. 3.12).

5.7.2 Если меры безопасности, которые приняты разработчиком согласно вышеуказанным предписаниям, не обеспечивают полного соблюдения существенных требований безопасности, то их следует дополнить практикой безопасной работы (обучением, правилами безопасной работы, проверкой, допуском к рабочим системам и т.д.), что является обязанностью потребителя и не рассматривается в настоящем стандарте.

5.7.3 В случае непроизводственного применения нужно исходить из того, что предварительное обучение и/или инструктаж не проведены, и конструкция машины (принятые конструктором меры безопасности, включая информацию) должна это учитывать (см. 5.1.1 ГОСТ ИСО/ТО 12100-2).

6 ОЦЕНКА РИСКА

6.1 Основные требования

Цель настоящего раздела - показать, как и в какой степени можно формализовать процесс выбора оптимальных мер безопасности, для каждого типа опасности учитывая, что это преимущественно эмпирический процесс, в котором участвует разработчик машины, имеющий опыт оценки риска, связанного с определенной ситуацией.

Примечания

1 Если машина инициирует опасность, то рано или поздно она приведет к травмированию или нанесению другого вреда здоровью, если не будут приняты меры безопасности.

2 Смысл 3.4 настоящего стандарта состоит в том, что машина должна быть безопасной. Нельзя достичь абсолютной безопасности, которая является целью и к которой необходимо стремиться, учитывая уровень современной техники.

Уровень современной техники определяет ограничения, включая ограничения на стоимость, базирующиеся на фактической конструкции и применении машины. Средства, затраченные на достижение безопасности, которая соответствует уровню техники на определенный период времени, могут недолго быть актуальными, если дальнейшие поколения этих машин будут обладать большей безопасностью или появятся другие более безопасные аналогичные машины.

3 Концепция оценки риска должна помогать разработчикам и инженерам по технике безопасности использовать решения, которые наилучшим способом подходят для достижения наивысшей степени безопасности, учитывают уровень техники и существующие ограничения.

Не допускается использовать в качестве базы сведения о несчастных случаях, которые очень редки или последствия которых минимальны, для того чтобы вновь ставить вопрос о требуемой степени безопасности машины. Также недопустимо пользоваться при отсутствии информации о несчастных случаях предположениями о том, что степень риска мала и нет необходимости принятия жестких мер безопасности.

6.2 Факторы, которые необходимо учитывать при оценке степени риска

Риск, связанный с особой ситуацией или техническим процессом, вытекает из комбинации обоих следующих факторов:

а) Вероятность случая травмирования или нанесения другого вреда здоровью.

Эта вероятность зависит от частоты опасных ситуаций или продолжительности пребывания человека в опасной зоне (см. определение в 3.10), которую принято называть «продолжительностью опасности».

б) Наибольшая прогнозируемая тяжесть травмирования или нанесения другого вреда здоровью.

В определенной опасной ситуации степень травмирования или нанесения другого вреда здоровью зависит от многих факторов, которые можно предвидеть только частично. При оценке риска следует исходить из наиболее тяжких последствий травмирования или нанесения другого вреда здоровью, которые могут быть обусловлены каждой известной опасностью, даже если вероятность их получения невелика.

Исходя из этого, при конструировании машины для выбора соответствующих мер безопасности очень важен анализ технических или человеческих факторов, от которых зависит каждый из действующих факторов риска а) и б).

Примечание - При этом следует подчеркнуть, что, за исключением некоторых последствий травмирования или нанесения другого вреда здоровью, как, например, от воздействия шума или вредных веществ, по которым оценивают значения некоторых параметров1, оценка степени риска в целом является субъективной.

1) Например, предельно допустимый уровень шума, предельно допустимая концентрация вредных веществ на рабочем месте (профессионально допустимая граница).

Требования безопасности выявляются иногда при сравнении похожих опасных ситуаций для различных машин из имеющейся в распоряжении информации об опасностях или несчастных случаях.

ПРИЛОЖЕНИЕ А

(справочное)

Общее схематическое изображение машины

Рисунок А.1

ПРИЛОЖЕНИЕ Б

(справочное)

Словарь специальных терминов и выражений, используемых в настоящем стандарте

Таблица Б 1

Специальные термины и выражения

Раздел, пункт, перечисление, приложение настоящего стандарта

на русском языке

на английском языке

Барьер

Barrier

3.22

Безопасность машины

Safety of a machine

3.4

Ввод в эксплуатацию

Commissionings

3.11 а) 2)

Взаимодействие системы «машина - энергоснабжение»

«Machine-power supply» interface

5.1

Взаимодействие системы «человек - машина»

«Operator-machine» interface

5.1

Вибрация

Vibration

4.6; 5.2.2 б)

Вред здоровью

Damage to health

6.2 а) б)

Вывод из эксплуатации

De-commissioning

3.11 а) 4)

Граница пространственная

Space limit

5.1

Датчик

Sensor

А

Дверца

Door

3.22

Демонтаж (машины)

Dismantling (of a machine)

3.11 а) 4); 3.4

Деталь остроконечная

Angular part

4.2.2

Деталь токоведущая (электрооборудования)

Live part (of electrical equipment)

4.3

Замыкание короткое

Short-circuit

4.3

Зона затягивания

Entanglement zone

4.2.2

Зона опасная

Danger zone

3.10

Зона раздавливания

Crushing zone

4.2.2

Зона, где можно порезаться

Shearing zone

4.2.2

Изоляция (электрическая)

Electrical insulation

4.3

Инструкция

Instructions

3.12

Информация потребителю

Information for use

3.20

Использование машины предназначенное

Intended use of a machine

3.12

Источник тепла

Heat source

4.4

Кожух

Casing

3.22

Комбинация опасностей

Hazard combination

4.10

Конструирование

Construction

3.11 a) l)

Конструкция (машины)

Design (of a machine)

3.11

Контакт косвенный

Indirect contact

4.3

Контакт прямой

Direct contact

4.3

Контроль автоматический

Automatic monitoring

3.14

Крышка (защитная)

Cover

3.22

Машина

Machine

3.1

Меры безопасности

Safety measure

5

Меры безопасности (защиты) технические

Safeguarding

3.19

Надежность

Reliability

3.2

Надзор (проверка)

Inspection

Рисунок 2; 5.7.2

Нарушение нормальной работы

Malfunction

5.2.2 б)

Обеспечение программное

Software

5.2.2 б)

Обслуживание техническое

Maintenance

3.11 а) 3)

Обучение/программирование

Teaching (programming)

3.11 а) 3)

Ограждение блокирующее защитное с фиксацией закрытия

Interlock (interlocking device) with guard locking

3.22.5

Ограждение закрывающееся

Enclosing guard

3.22

Ограждение защитное

Guard

3.22

Ограждение защитное и/или устройство предохранительное

Guard and/of safety device (Safeguard)

5

Ограждение неподвижное защитное

Fixed guard

3.22.1

Ограждение подвижное защитное

Movable guard

3.22.2

Ограждение регулируемое защитное

Adjustable guard

3.22.3

Ограждение с блокировкой защитное

Interlocking guard

3.22.4

Ограждение с фиксацией закрытия защитное блокирующее

Interlocking guard with guard locking

3.22.5

Ограждение управляемое защитное

Control guard

3.22.6

Ограничение риска

Risk (Limitation of the -)

5.3

Ожог

Burn

4.3; 4.4

Опасность

Hazard

3.5

Опасность затягивания/задерживания

Drawing-in/trapping hazard

4.2.1

Опасность из-за несоблюдения эргономических принципов

Hazard generated by neglecting ergonomics principles

4.9

Опасность механическая

Mechanical hazard

4.2

Опасность наматывания

Entanglement hazard

4.2.1

Опасность от воздействия материалов и веществ

Hazard generated by material and substances

4.8

Опасность отрезания

Cutting hazard

4.2.1

Опасность падения

Falling hazard

4.2.3

Опасность поражения электричеством

Electrical hazard

4.3

Опасность порезаться

Shearing hazard

4.2.1

Опасность прокалывания

Stabling/Puncture hazard

4.2.1

Опасность раздавливания (защемления)

Crushing hazard

4.2.1

Опасность разрубания

Severing hazard

4.2.1

Опасность соскальзывания

Slip hazard

4.2.3

Опасность споткнуться

Trip hazard

4.2.3

Опасность тепловая

Thermal hazard

4.4

Опасность травмирования выбросом жидкости под высоким давлением

High pressure fluid ejection hazard

4.2.1

Опасность удариться

Impact hazard

4.2.1

Опасность, создаваемая вибрацией

Hazard generated by vibration

4.6

Опасность, создаваемая излучением

Hazard generated by radiation

4.7

Опасность, создаваемая шумом

Hazard generated by noise

4.5

Орган ручного управления (привод)

Manual control (Actuator)

3.23.3; 3.23.4; А

Отказ, ведущий к опасности

Failure to danger

3.16

Оценка риска

Risk assessment

3.8

Очистка

Cleaning

3.11 а) 3)

Ошибка (оператора)

Error (human)

4.9

Ошпаривание

Scald

4.4

Персонал обслуживающий

Maintenance staff

5.5

Поиск последствии отказов и повреждений

Fault finding

3.11 а) 3)

Предел (граница)

Limit

3.23.7

Привод (машины)

Actuator (Machine -)

А

Применение (машины)

Use (of a machine)

3.11 а) 3)

Принципы эргономические

Ergonomic principle

4.9

Пробой (повреждение) изоляции

Insulation failure

4.3

Продолжительность опасности

Exposure to hazard

6.2 а)

Процесс переналадки

Process changeover

3.11 а) 3)

Пуск непреднамеренный/неожиданный

Unexpected/unintended start-up

3.13.1; 3.15

Пыль

Dust

4.8

Работа (эксплуатация)

Operation

3.11 а) 3)

Регулировка

Adjustment

3.11 а) 2)

Ремонтопригодность машины

Maintainability of a machine

3.3

Риск

Risk

3.7

Руководство по эксплуатации

Instruction handbook

3.12

Сбой (отказ)

Failure

3.16; 3.17

Сигнал

Signal

3.20

Символ

Symbol

3.20

Ситуация аварийная

Emergency situation

5.6

Ситуация опасная

Hazardous situation

3.6; 5.2

Скорость

Speed

4.2.2

Случаи неправильного использования возможные

Foreseeable misuse

3.12; 5.2.3

Снижение риска путем конструирования

Risk reduction by design

3.18

Состояние безопасное (минимизация отказа, ведущего к опасности)

Fail-safe condition (minimized failure to danger)

3.17

Срок службы машины

Life limit of a machine

5.1

Травма

Injury

6.2 а); 6.2 б)

Транспортирование

Transport

3.1.1 а) 2)

Удар электрическим током

Electric shock

3.5; 4.3

Управление

Control

3.1

Уровень безопасности

Level of safety

3.13.2

Условия работы оператора (рабочая зона)

Work environment

4.4

Установка

Setting

3.1.1 а) 2)

Установка (машины)

Installation (of the machine)

3.1.1 а) 2)

Устройство блокирующее

Interlock (interlocking device)

3.23.1

Устройство механическое ограничивающее

Mechanical restraint device

3.23.6

Устройство ограничивающее

Limiting device

3.23.7

Устройство предохранительное

Safety device

3.23

Устройство с реакцией на приближение защитное

Trip device

3.23.5

Устройство управления двуручное

Two-hand control device

3.23.4

Устройство управления ограниченным движением

Limited movement control device

3.23.8

Устройство управления с автоматическим возвратом в исходное состояние

Hold-to-run control

3.23.3

Устройство управления сопутствующее

Enabling (control) device

3.23.2

Устройство управляющее

Control device

А

Утилизация машины

Disposal (of a machine)

3.1.1 а) 4)

Функция, препятствующая повторению рабочего цикла

Cycle non-repeat function

3.13.1

Функция безопасности

Safety function

3.13

Функция безопасности дублирующая

Back-up safety function

3.13.2

Функция безопасности критическая

Safety critical function

3.13.1

Функция обеспечения безопасности

Safety-critical function

3.13.1 б)

Часть приводная

Operative part

А

Шум

Noise

4.5

Экран

Screen

3.22

Элемент режущий

Cutting element

4.2.2

Элемент силовой трансмиссии

Power transmission element

А

ПРИЛОЖЕНИЕ В

(справочное)

Библиография

[1] ЕН 414-92 Безопасность машин. Правила составления и оформления стандартов безопасности

Ключевые слова: безопасность оборудования, конструирование, опасности, термины, методика, оценка риска, меры безопасности




Rambler's Top100 Яндекс цитирования
  Copyright © 2008-2026, www.docload.ru