Бесплатная библиотека стандартов и нормативов www.docload.ru

Все документы, размещенные на этом сайте, не являются их официальным изданием и предназначены исключительно для ознакомительных целей.
Электронные копии этих документов могут распространяться без всяких ограничений. Вы можете размещать информацию с этого сайта на любом другом сайте.
Это некоммерческий сайт и здесь не продаются документы. Вы можете скачать их абсолютно бесплатно!
Содержимое сайта не нарушает чьих-либо авторских прав! Человек имеет право на информацию!

 

ГОСУДАРСТВЕННЫЕ СТАНДАРТЫ СОЮЗА ССР

СИСТЕМА СТАНДАРТОВ
БЕЗОПАСНОСТИ ТРУДА

ГОСТ 12.1.004-91

ИПК ИЗДАТЕЛЬСТВО СТАНДАРТОВ

Москва

1996

 

ГОСУДАРСТВЕННЫЙ СТАНДАРТ СОЮЗА ССР

Система стандартов безопасности труда

ПОЖАРНАЯ БЕЗОПАСНОСТЬ

Общие требования

Occupational safety standards system.
Fire safety. General requirements

ГОСТ
12.1.004-91

Дата введения 01.07.92

Настоящий стандарт устанавливает общие требования пожарной безопасности к объектам защиты различного назначения на всех стадиях их жизненного цикла: исследование, разработка нормативных документов, конструирование, проектирование, изготовление, строительство, выполнение услуг (работ), испытание, закупка продукции по импорту, продажа продукции (в том числе на экспорт), хранение, транспортирование, установка, монтаж, наладка, техническое обслуживание, ремонт (реконструкция), эксплуатация (применение) и утилизация. Для объектов, не соответствующих действующим нормам, стандарт устанавливает требования к разработке проектов компенсирующих средств и систем обеспечения пожарной безопасности на стадиях строительства, реконструкции и эксплуатации объектов.

Требования стандарта являются обязательными.

Термины, применяемые в стандарте, и их пояснения приведены в приложении 1.

(Измененная редакция, Изм. № 1).

1. ОБЩИЕ ПОЛОЖЕНИЯ

1.1. Пожарная безопасность объекта должна обеспечиваться системами предотвращения пожара и противопожарной защиты, в том числе организационно-техническими мероприятиями.

Системы пожарной безопасности должны характеризоваться уровнем обеспечения пожарной безопасности людей и материальных ценностей, а также экономическими критериями эффективности этих систем для материальных ценностей, с учетом всех стадий (научная разработка, проектирование, строительство, эксплуатация) жизненного цикла объектов и выполнять одну из следующих задач:

исключать возникновение пожара;

обеспечивать пожарную безопасность людей;

обеспечивать пожарную безопасность материальных ценностей;

обеспечивать пожарную безопасность людей и материальных ценностей одновременно.

1.2. Объекты должны иметь системы пожарной безопасности, направленные на предотвращение воздействия на людей опасных факторов пожара, в том числе их вторичных проявлений на требуемом уровне.

Требуемый уровень обеспечения пожарной безопасности людей с помощью указанных систем должен быть не менее 0,999999 предотвращения воздействия опасных факторов в год в расчете на каждого человека, а допустимый уровень пожарной опасности для людей должен быть не более 10-6 воздействия опасных факторов пожара, превышающих предельно допустимые значения, в год в расчете на каждого человека.

Метод определения уровня обеспечения пожарной безопасности людей приведен в приложении 2*.

__________

* Приведенные в приложениях 2, 3 и 5 стандарта методы могут изменяться с согласия головной организации в области пожарной безопасности - ВНИИПО МВД СССР.

 

1.3. Объекты, пожары на которых могут привести к массовому поражению людей, находящихся на этих объектах и окружающей территории, опасными и вредными производственными факторами (по ГОСТ 12.0.003), а также опасными факторами пожара и их вторичными проявлениями, должны иметь системы пожарной безопасности, обеспечивающие минимально возможную вероятность возникновения пожара. Конкретные значения минимально возможной вероятности возникновения пожара определяются проектировщиками и технологами при паспортизации этих объектов в установленном порядке.

Перечень таких объектов разрабатывается соответствующими министерствами (ведомствами и т.п.) в установленном порядке.

Метод определения вероятности возникновения пожара (взрыва) в пожароопасном объекте приведен в приложении 3.

1.4. Объекты, отнесенные к соответствующим категориям по пожарной опасности согласно нормам технологического проектирования для определения категорий помещений и зданий по пожарной и взрывопожарной опасности, должны иметь экономически эффективные системы пожарной безопасности,

Метод оценки экономической эффективности систем пожарной безопасности приведена приложении 4.

1.5. Опасными факторами, воздействующими на людей и материальные ценности, являются:

пламя и искры;

повышенная температура окружающей среды;

токсичные продукты горения и термического разложения;

дым;

пониженная концентрация кислорода.

К вторичным проявлениям опасных факторов пожара, воздействующим на людей и материальные ценности, относятся:

осколки, части разрушившихся аппаратов, агрегатов, установок, конструкций;

радиоактивные и токсичные вещества и материалы, вышедшие из разрушенных аппаратов и установок;

электрический ток, возникший в результате выноса высокого напряжения на токопроводящие части конструкций, аппаратов, агрегатов;

опасные факторы взрыва по ГОСТ 12.1.010, происшедшего вследствие пожара;

огнетушащие вещества.

1.6. Классификация объектов по пожарной и взрывопожарной опасности должна производиться с учетом допустимого уровня их пожарной опасности (требуемого уровня обеспечения пожарной безопасности), а расчеты критериев и показателей ее оценки, в т. ч. вероятности пожара (взрыва), - с учетом массы горючих и трудно-горючих веществ и материалов, находящихся на объекте, взрывопожароопасных зон, образующихся в аварийных ситуациях, и возможного ущерба для людей и материальных ценностей.

1.7. Вероятность возникновения пожара от (в) электрического или другого единичного технологического изделия или оборудования при их разработке и изготовлении не должна превышать значения 10-6 год. Значение величины допустимой вероятности пожара при применении изделий на объектах должно устанавливаться расчетом, исходя из требований п. 1.2 настоящего стандарта. Метод определения вероятности возникновения пожара от (в) электрических изделий приведен в приложении 5.

1.8. Методики, содержащиеся в стандартах и других нормативно-технических документах и предназначенные для определения показателей пожарной опасности строительных конструкций, их облицовок и отделок, веществ, материалов и изделий (в т. ч. незавершенного производства) должны адекватно отражать реальные условия пожара.

1.9. Перечень и требования к эффективности элементов конкретных систем пожарной безопасности должны устанавливаться нормативными и нормативно-техническими документами на соответствующие виды объектов.

Примеры расчета показателей эффективности по п.п. 1.2, 1.3, 1.7 приведены в приложении 6.

2. ТРЕБОВАНИЯ К СПОСОБАМ ОБЕСПЕЧЕНИЯ ПОЖАРНОЙ БЕЗОПАСНОСТИ СИСТЕМЫ ПРЕДОТВРАЩЕНИЯ ПОЖАРА

2.1. Предотвращение пожара должно достигаться предотвращением образования горючей среды и (или) предотвращением образования в горючей среде (или внесения в нее) источников зажигания.

2.2. Предотвращение образования горючей среды должно обеспечиваться одним из следующих способов или их комбинаций:

максимально возможным применением негорючих и трудногорючих веществ и материалов;

максимально возможным по условиям технологии и строительства ограничением массы и (или) объема горючих веществ, материалов и наиболее безопасным способом их размещения;

изоляцией горючей среды (применением изолированных отсеков, камер, кабин и т. п.);

поддержанием безопасной концентрации среды в соответствии с нормами и правилами и другими нормативно-техническими, нормативными документами и правилами безопасности;

достаточной концентрацией флегматизатора в воздухе защищаемого объема (его составной части);

поддержанием температуры и давления среды, при которых распространение пламени исключается;

максимальной механизацией и автоматизацией технологических процессов, связанных с обращением горючих веществ;

установкой пожароопасного оборудования по возможности в изолированных помещениях или на открытых площадках;

применением устройств защиты производственного оборудования с горючими веществами от повреждений и аварий, установкой отключающих, отсекающих и других устройств.

2.3. Предотвращение образования в горючей среде источников зажигания должно достигаться применением одним из следующих способов или их комбинацией:

применением машин, механизмов, оборудования, устройств, при эксплуатации которых не образуются источники зажигания;

применением электрооборудования, соответствующего пожароопасной и взрывоопасной зонам, группе и категории взрывоопасной смеси в соответствии с требованиями ГОСТ 12.1.011 и Правил устройства электроустановок;

применением в конструкции быстродействующих средств защитного отключения возможных источников зажигания;

применением технологического процесса и оборудования, удовлетворяющего требованиям электростатической искробезопасности по ГОСТ 12.1.018;

устройством молниезащиты зданий, сооружений и оборудования;

поддержанием температуры нагрева поверхности машин, механизмов, оборудования, устройств, веществ и материалов, которые могут войти в контакт с горючей средой, ниже предельно допустимой, составляющей 80 % наименьшей температуры самовоспламенения горючего;

исключение возможности появления искрового разряда в горючей среде с энергией, равной и выше минимальной энергии зажигания;

применением неискрящего инструмента при работе с легковоспламеняющимися жидкостями и горючими газами;

ликвидацией условий для теплового, химического и (или) микробиологического самовозгорания обращающихся веществ, материалов, изделий и конструкций. Порядок совместного хранения веществ и материалов осуществляют в соответствии со справочным приложением 7;

устранением контакта с воздухом пирофорных веществ;

уменьшением определяющего размера горючей среды ниже предельно допустимого по горючести;

выполнением действующих строительных норм, правил и стандартов.

2.4. Ограничение массы и (или) объема горючих веществ и материалов, а также наиболее безопасный способ их размещения должны достигаться применением одного из следующих способов или их комбинацией:

уменьшением массы и (или) объема горючих веществ и материалов, находящихся одновременно в помещении или на открытых площадках;

устройством аварийного слива пожароопасных жидкостей и аварийного стравливания горючих газов из аппаратуры;

устройством на технологическом оборудовании систем противовзрывной защиты метод определения безопасной площади разгерметизации оборудования приведен в приложении 8;

периодической очистки территории, на которой располагается объект, помещений, коммуникаций, аппаратуры от горючих отходов, отложений пыли, пуха и т. п.;

удалением пожароопасных отходов производства;

заменой легковоспламеняющихся (ЛВЖ) и горючих (ГЖ) жидкостей на пожаробезопасные технические моющие средства.

3. ТРЕБОВАНИЯ К СПОСОБАМ ОБЕСПЕЧЕНИЯ ПОЖАРНОЙ БЕЗОПАСНОСТИ СИСТЕМЫ ПРОТИВОПОЖАРНОЙ ЗАЩИТЫ

3.1. Противопожарная защита должна достигаться применением одного из следующих способов или их комбинацией:

применением средств пожаротушения и соответствующих видов пожарной техники;

применением автоматических установок пожарной сигнализации и пожаротушения;

применением основных строительных конструкций и материалов, в том числе используемых для облицовок конструкций, с нормированными показателями пожарной опасности;

применением прописки конструкций объектов антипиренами и нанесением на их поверхности огнезащитных красок (составов);

устройствами, обеспечивающими ограничение распространения пожара;

организацией с помощью технических средств, включая автоматические, своевременного оповещения и эвакуации людей;

применением средств коллективной и индивидуальной защиты людей от опасных факторов пожара;

применением средств противодымной защиты.

3.2. Ограничение распространения пожара за пределы очага должно достигаться применением одного из следующих способов или их комбинацией:

устройством противопожарных преград;

установлением предельно допустимых по технико-экономическим расчетам площадей противопожарных отсеков и секций, а также этажности зданий и сооружений, но не более определенных нормами;

устройством аварийного отключения и переключения установок и коммуникаций;

применением средств, предотвращающих или ограничивающих разлив и растекание жидкостей при пожаре;

применением огнепреграждающих устройств в оборудовании.

3.3. Каждый объект должен иметь такое объемно-планировочное и техническое исполнение, чтобы эвакуация людей из него была завершена до наступления предельно допустимых значений опасных факторов пожара, а при нецелесообразности эвакуации была обеспечена защита люден в объекте. Для обеспечения эвакуации необходимо:

установить количество, размеры, и соответствующее конструктивное исполнение эвакуационных путей и выходов;

обеспечить возможность беспрепятственного движения людей по эвакуационным путям;

организовать при необходимости управление движением людей по эвакуационным путям (световые указатели, звуковое и речевое оповещение и т. п.).

3.4. Средства коллективной и индивидуальной защиты должны обеспечивать безопасность людей в течение всего времени действия опасных факторов пожара.

Коллективную защиту следует обеспечивать с помощью пожаробезопасных зон и других конструктивных решений. Средства индивидуальной защиты следует применять также для пожарных, участвующих в тушении пожара.

3.5. Система противодымной защиты объектов должна обеспечивать незадымление, снижение температуры и удаление продуктов горения и термического разложения на путях эвакуации в течение времени, достаточного для эвакуации людей и (или) коллективную защиту людей в соответствии с требованиями п. 3.6 и (или) защиту материальных ценностей.

3.6. На каждом объекте народного хозяйства должно быть обеспечено своевременное оповещение людей и (или) сигнализация о пожаре в его начальной стадии техническими или организационными средствами.

Перечень и обоснование достаточности для целевой эффективности средств оповещения и (или) сигнализации на объектах согласовывается в установленном порядке.

3.7. В зданиях и сооружениях необходимо предусмотреть технические средства (лестничные клетки, противопожарные стены, лифты, наружные пожарные лестницы, аварийные люки и т. п.), имеющие устойчивость при пожаре и огнестойкость конструкций нe менее времени, необходимого для спасения людей при пожаре и расчетного времени тушения пожара.

3.8. Для пожарной техники должны быть определены:

быстродействие и интенсивность подачи огнетушащих веществ;

допустимые огнетушащие вещества (в том числе с позиции требований экологии и совместимости с горящими веществами и материалами);

источники и средства подачи огнетушащих веществ для пожаротушения;

нормативный (расчетный) запас специальных огнетушащих веществ (порошковых, газовых, пенных, комбинированных);

необходимая скорость наращивания, подачи огнетушащих веществ с помощью транспортных средств оперативных пожарных служб;

требования к устойчивости от воздействия опасных факторов пожара и их вторичных проявлений;

требования техники безопасности.

4. ОРГАНИЗАЦИОННО-ТЕХНИЧЕСКИЕ МЕРОПРИЯТИЯ ПО ОБЕСПЕЧЕНИЮ ПОЖАРНОЙ БЕЗОПАСНОСТИ

Организационно-технические мероприятия должны включать:

организацию пожарной охраны, организацию ведомственных служб пожарной безопасности в соответствии с законодательством Союза ССР, союзных республик и решением местных Советов депутатов трудящихся;

паспортизацию веществ, материалов, изделий, технологических процессов, зданий и сооружений объектов в части обеспечения пожарной безопасности;

привлечение общественности к вопросам обеспечения пожарной безопасности;

организацию обучения работающих правилам пожарной безопасности на производстве, а населения - в порядке, установленном правилами пожарной безопасности соответствующих объектов пребывания людей;

разработку и реализацию норм и правил пожарной безопасности, инструкций о порядке обращения с пожароопасными веществами и материалами, о соблюдении противопожарного режима и действиях людей при возникновении пожара;

изготовление и применение средств наглядной агитации по обеспечению пожарной безопасности;

порядок хранения веществ и материалов, тушение которых недопустимо одними и теми же средствами, в зависимости от их физико-химических и пожароопасных свойств;

нормирование численности людей на объекте по условиям безопасности их при пожаре;

разработку мероприятий по действиям администрации, рабочих, служащих и населения на случай возникновения пожара и организацию эвакуации людей;

основные виды, количество, размещение и обслуживание пожарной техники по ГОСТ 12.4.009. Применяемая пожарная техника должна обеспечивать эффективное тушение пожара (загорания), быть безопасной для природы и людей.

 

ПРИЛОЖЕНИЕ 1

Обязательное

ТЕРМИНЫ, ПРИМЕНЯЕМЫЕ В НАСТОЯЩЕМ СТАНДАРТЕ,
И ИХ ПОЯСНЕНИЯ

Таблица 1

Термин

Пояснение

Пожар

По СТ СЭВ 383-87.

Примечание. Одновременно в настоящем стандарте под пожаром понимается процесс, характеризующийся социальным и/или экономическим ущербом в результате воздействия на людей и/или материальные ценности факторов термического разложения и/или горения, развивающийся вне специального очага, а также применяемых огнетушащих веществ

Система пожарной безопасности

Комплекс организационных мероприятий и технических средств, направленных на предотвращение пожара и ущерб от него.

Уровень пожарной опасности

Количественная оценка возможного ущерба от пожара

Уровень обеспечения пожарной безопасности

Количественная оценка предотвращенного ущерба при возможном пожаре

Отказ системы (элементов) пожарной безопасности

Отказ, который может привести к возникновению предельно допустимого значения опасного фактора пожара в защищаемом объеме объекта

Пожароопасный отказ комплектующего изделия

Отказ комплектующего изделия, который может привести к возникновению опасных факторов пожара

Объект защиты

Здание, сооружение, помещение, процесс, технологическая установка, вещество, материал, транспортное средство, изделия, а также их элементы и совокупности. В состав объекта защиты входит и человек

Устойчивость объекта при пожаре

Свойство объекта предотвращать воздействие на людей и материальные ценности опасных факторов пожара и их вторичных проявлений

Источник зажигания

Средство энергетического воздействия, инициирующее возникновение горения

Горючая среда

Среда, способная самостоятельно гореть после удаления источника зажигания

Пожарная опасность объекта

По ГОСТ 12.1.033.

Примечание. Одновременно в настоящем стандарте под пожарной опасностью понимается возможность причинения ущерба опасными факторами пожара, в том числе их вторичными проявлениями

Пожарная безопасность

По ГОСТ 12.1.033

Система предотвращения пожара

По ГОСТ 12.1.033

Опасный фактор пожара

По ГОСТ 12.1.033

Система противопожарной защиты

По ГОСТ 12.1.033

Противодымная защита

По ГОСТ 12.1.033

Горючесть

По СТ СЭВ 383-87

Предельно допустимое значение опасного фактора пожара

Значение опасного фактора, воздействие которого на человека в течение критической продолжительности пожара нс приводит к травме, заболеванию или отклонению в состоянии здоровья в течение нормативно установленного времени, а воздействие на материальные ценности не приводит к потере устойчивости объекта при пожаре

Критическая продолжительность пожара

Время, в течение которого достигается предельно допустимое значение опасного фактора пожара в установленном режиме его изменения

Продукция

Согласно Закону СССР «О качестве продукции и защите прав потребителя»

(Измененная редакция, Изм. 1).

 

ПРИЛОЖЕНИЕ 2

Обязательное

МЕТОД ОПРЕДЕЛЕНИЯ УРОВНЯ ОБЕСПЕЧЕНИЯ
ПОЖАРНОЙ БЕЗОПАСНОСТИ ЛЮДЕЙ

Настоящий метод устанавливает порядок расчета уровня обеспечения пожарной безопасности людей и вероятности воздействия опасных факторов пожара на людей, а также обоснования требований к эффективности систем обеспечения пожарной безопасности людей.

1. Сущность метода

1.1. Показателем оценки уровня обеспечения пожарной безопасности людей на объектах является вероятность предотвращения воздействия (Pв) опасных факторов пожара (ОФП), перечень которых определяется настоящим стандартом.

1.2. Вероятность предотвращения воздействия ОФП определяют для пожароопасной ситуации, при которой место возникновения пожара находится на первом этаже вблизи одного из эвакуационных выходов из здания (сооружения).

2. Основные расчетные зависимости

2.1. Вероятность предотвращения воздействия ОФП (Pв) на людей в объекте вычисляют по формуле

,                           (1)

где QВ - расчетная вероятность воздействия ОФП на отдельного человека в год.

Уровень обеспечения безопасности людей при пожарах отвечает требуемому, если

,                               (2)

где  - допустимая вероятность воздействия ОФП на отдельного человека в год.

Допустимую вероятность  принимают в соответствии с настоящим стандартом.

2.2. Вероятность (QB) вычисляют для людей в каждом здании (помещении) по формуле

,    (3)

где QП - вероятность пожара в здании в год;

PЭ - вероятность эвакуации людей;

PП.Э, - вероятность эффективной работы технических решений противопожарной защиты.

2.3. Вероятность эвакуации (PЭ) вычисляют по формуле

,  (4)

где РЭ.П - вероятность эвакуации по эвакуационным путям;

PД.В - вероятность эвакуации по наружным эвакуационным лестницам, переходам в смежные секции здания.

2.4. Вероятность (P) вычисляют по зависимости

              (5)

где τбл - время от начала пожара до блокирования эвакуационных путей в результате распространения на них ОФП, имеющих предельно допустимые для людей значения, мин;

tр - расчетное время эвакуации людей, мин;

τн.э - интервал времени от возникновения пожара до начала эвакуации людей, мин.

Расчетное время эвакуации людей из помещений и зданий устанавливается по расчету времени движения одного или нескольких людских потоков через эвакуационные выходы от наиболее удаленных мест размещения людей.

При расчете весь путь движения людского потока подразделяется на участки (проход, коридор, дверной проем, лестничный марш, тамбур) длиной li и шириной di. Начальными участками являются проходы между рабочими местами, оборудованием, рядами кресел и т. п.

При определении расчетного времени длина и ширина каждого участка пути эвакуации принимаются по проекту. Длина пути по лестничным маршам, а также по пандусам измеряется по длине марша. Длина пути в дверном проеме принимается равной нулю. Проем, расположенный в стене толщиной более 0,7 м, а также тамбур следует считать самостоятельным участком горизонтального пути, имеющим конечную длину li.

Расчетное время эвакуации людей (tр) следует определять как сумму времени движения людского потока по отдельным участкам пути ti по формуле

                     (6)

где t1 - время движения людского потока на первом (начальном) участке, мин;

t2, t3,..., ti - время движения людского потока на каждом из следующих после первого участка пути мин.

Время движения людского потока по первому участку пути (t1), мин, вычисляют по формуле

                                              (7)

где l1 - длина первого участка пути, м;

v1, - значение скорости движения людского потока по горизонтальному пути на первом участке, определяется по табл. 2 в зависимости от плотности D, м/мин.

Плотность людского потока (D1) на первом участке пути, м2/м2, вычисляют по формуле

                                        (8)

где N1 - число людей на первом участке, чел.;

f - средняя площадь горизонтальной проекции человека, принимаемая равной, м2,

взрослого в домашней одежде

0,1

взрослого в зимней одежде

0,125

подростка

0,07

d1, - ширина первого участка пути, м.

Скорость v1 движения людского потока на участках пути, следующих после первого, принимается по табл. 2 в зависимости от значения интенсивности движения людского потока по каждому из этих участков пути, которое вычисляют для всех участков пути, в том числе и для дверных проемов, по формуле

                                    (9)

где di, di-1 - ширина рассматриваемого i-гo и предшествующего ему участка пути, м;

qi,qi-1 - значения интенсивности движения людского потока по рассматриваемому i-му и предшествующему участкам пути, м/мин, значение интенсивности движения людского потока на первом участке пути (q=qi-1), определяемое по табл. 2 по значению D1 установленному по формуле (8)

Таблица 2

Плотность потока D,
м22

Горизонтальный путь

Дверной проем интенсив-ность
q, м/мин

Лестница вниз

Лестница вверх

Скорость v, м/мин

Интенсивность q, м/мин

Скорость
v, м/мин

Интенсивность q, м/мин

Скорость
v, м/мин

Интенсивность q, м/мин

0,01

100,

1

1

100

1

60

0,6

0,05

100

5

5

100

5

60

3

0,1

80

8

8,7

95

9,5

53

5,3

0,2

60

12

13,4

68

13,6

40

8

0,3

47

14,1

16,5

52

16,6

32

9,6

0,4

40

16

18,4

40

16

26

10,4

0,5

33

16,5

19,6

31

15,6

22

11

0,7

23

16,l

18,5

18

12,6

15

10,5

0,8

19

15,2

17,3

13

10,4

13

10,4

0,9 и более

15

13,5

8,5

8

7,2

11

9,9

Примечание. Табличное значение интенсивности движения в дверном проеме при плотности потока 0,9 и более, равное 8,5 м/мин, установлено для дверного проема шириной 1,6 м и более, а при дверном проеме меньшей ширины d интенсивность движения следует определять по формуле.

 

Если значение qi, определяемое по формуле (9), меньше или равно значению qmax, то время движения по участку пути (ti) в минуту

;                                               (10)

при этом значения qmax следует принимать равными, м/мин:

для горизонтальных путей

16,5

для дверных проемов

19,6

для лестницы вниз

16

для лестницы вверх

11

Если значение qi, определенное по формуле (9), больше qmax, то ширину di данного участка пути следует увеличивать на такое значение, при котором соблюдается условие

.                                           (11)

При невозможности выполнения условия (11) интенсивность и скорость движения людского потока по участку пути i определяют по табл. 2 при значении D=0,9 и более. При этом должно учитываться время задержки движения людей из-за образовавшегося скопления.

При слиянии вначале участка i двух и более людских потоков (черт. 1) интенсивность движения (qi,), м/мин, вычисляют по формуле

,                                (12)

где qi-1 - интенсивность движения людских потоков, сливающихся в начале участка i, м/мин.

di-1 - ширина участков пути слияния, м;

di - ширина рассматриваемого участка пути, м.

Черт. 1. Слияние людских потоков

Если значение qi, определенное по формуле (12), больше qmax, то ширину di данного участка пути следует увеличивать на такую величину, чтобы соблюдалось условие (11). В этом случае время движения по участку i определяется по формуле (10).

2.5. Время tбл вычисляют путем расчета значений допустимой концентрации дыма и других ОФП на эвакуационных путях в различные моменты времени. Допускается время tбл принимать равным необходимому времени эвакуации tнб.

Необходимое время эвакуации рассчитывается как произведение критической для человека продолжительности пожара на коэффициент безопасности. Предполагается, что каждый опасный фактор воздействует на человека независимо от других.

Критическая продолжительность пожара для людей, находящихся на этаже очага пожара, определяется из условия достижения одним из ОФП в поэтажном коридоре своего предельно допустимого значения. В качестве критерия опасности для людей, находящихся выше очага пожара, рассматривается условие достижения одним из ОФП предельно допустимого значения в лестничной клетке на уровне этажа пожара.

Значения температуры, концентраций токсичных компонентов продуктов горения и оптической плотности дыма в коридоре этажа пожара и в лестничной клетке определяются в результате решения системы уравнений теплогазообмена для помещений очага пожара, поэтажного коридора и лестничной клетки.

Уравнения движения, связывающие значения перепадов давлений на проемах с расходами через проемы, имеют вид

              (13)

где G - расход через проем, кг×с-1;

m - коэффициент расхода проема (m=0,8 для закрытых проемов и m=0,64 для открытых);

В - ширина проемов, м;

у2, у1 - нижняя и верхняя границы потока, м;

 - плотность газов, проходящих через проем, кг×м-3,

P - средний в пределах у2, у1 перепад полных давлений, Па.

Нижняя и верхняя границы потока зависят от положения плоскости равных давлений

,                                (14)

где Рi, Рj, - статическое давление на уровне пола i-го и j-го помещений, Па;

rj ri - среднеобъемные плотности газа в j-м и i-м помещениях, кг×м-3;

g - ускорение свободного падения, м×с-2

Если плотность равных давлений располагается вне границ рассматриваемого проема (y0£h1 или у0³h2), тo поток в проеме течет в одну сторону и границы потока совпадают с физическими границами проема h1 и h2. Перепад давлений (), Па, в этом случае вычисляют по формуле

.          (15)

Если плоскость равных давлений располагается в границах потока (h1<y0<h2), то в проеме текут два потока: из i-го помещения в j-е из jo в i. Нижний поток имеет границы h1 и у0, перепад давления  для этого потока определяется по формуле

          (16)

Поток в верхней части проема имеет границы y0 и h2, перепад давления () для него рассчитывается по формуле

       (17)

Знак расхода газов (входящий в помещение расход считается положительным, выходящий - отрицательным) и значение  зависят от знака перепада давлений

  (18)

Уравнение баланса массы выражается зависимостью

                  (19)

где Vj - объем помещения, м3;

t - время, с;

Y - скорость выгорания пожарной нагрузки, кг×с-1;

, - сумма расходов, входящих в помещение, кг×с-1;

 - сумма расходов, выходящих из помещения, кг×с-1.

Уравнение энергии для коридора и лестничной клетки

  (20)

где Сv, Cp - удельная изохорная и изобарная теплоемкости, кДж×кг-1×К-1;

Тi, Tj - температуры газов в i-м и j помещениях, К.

Уравнение баланса масс отдельных компонентов продуктов горения и кислорода

      (21 )

где XL,i, XL,j - концентрация L-го компонента продуктов горения в j и i-м помещениях, г×кг-1;

Ll - количество L-го компонента продуктов горения (кислорода), выделяющегося (поглощающегося) при сгорании одного килограмма пожарной нагрузки, кг×кг-1.

Уравнение баланса оптической плотности дыма

           (22)

где mi,mj - оптическая плотность дыма в j и i-м помещениях Нп×м-1;

Dm - дымообразующая способность пожарной нагрузки, Нп×м2×кг-1.

Оптическая плотность дыма при обычных условиях связана с расстоянием предельной видимости в дыму соотношением

.                         (23)

Значение времени начала эвакуации tн.э для зданий (сооружений) без систем оповещения вычисляют по результатам исследования поведения людей при пожарах в зданиях конкретного назначения.

При наличии в здании системы оповещения о пожаре значение tн.э принимают равной времени срабатывания системы с учетом ее инерционности. При отсутствии необходимых исходных данных для определения времени начала эвакуации в зданиях (сооружениях) без систем оповещения величину tн.э, следует принимать равной 0,5 мин - для этажа пожара и 2 мин - для вышележащих этажей.

Если местам возникновения пожара является зальное помещение, где пожар может быть обнаружен одновременно всеми находящимися в нем людьми, то tн.э допускается принимать равным нулю. В этом случае вероятность (Рэ.п) вычисляют по зависимости

                      (24)

где tнб - необходимое время эвакуации из зальных помещений.

Примечание. Зданиями (сооружениями) без систем оповещения считают те здания (сооружения), возникновение пожара внутри которых может быть замечено одновременно всеми находящимися там людьми.

Расчет tнб производится для наиболее опасного варианта развития пожара, характеризующегося наибольшим темпом нарастания ОФП в рассматриваемом помещении. Сначала рассчитывают значения критической продолжительности пожара (tкр) по условию достижения каждым из ОФП предельно допустимых значений в зоне пребывания людей (рабочей зоне):

по повышенной температуре

            (25)

по потере видимости

             (26)

по пониженному содержанию кислорода

           (27)

по каждому из газообразных токсичных продуктов горения

              (28)

где В - размерный комплекс, зависящий от теплоты сгорания материала и свободного объема помещения, кг;

to - начальная температура воздуха в помещении, °С;

n - показатель степени, учитывающий изменение массы выгорающего материала во времени;

А - размерный параметр, учитывающий удельную массовую скорость выгорания горючего материала и площадь пожара, кг×с-n;

z - безразмерный параметр, учитывающий неравномерность распределения ОФП по высоте помещения;

Q - низшая теплота сгорания материала, МДж×кг-1;

Ср - удельная изобарная теплоемкость газа МДж×кг-1;

j - коэффициент теплопотерь;

h - коэффициент полноты горения;

V - свободный объем помещения, м3,

a - коэффициент отражения предметов на путях эвакуации;

Е - начальная освещенность, лк;

lпр - предельная дальность видимости в дыму, м;

Dm - дымообразующая способность горящего материала, Нп×м2×кг-1.

L - удельный выход токсичных газов при сгорании 1 кг материала,кг×кг-1,

Х - предельно допустимое содержание токсичного газа в помещении, кг×м-3 (ХСО2 =0,ll кг×м-3; ХСО = 1,16-10-3 кг×м-3; ХHCL=23х10-6 кг×м-3);

LО2 - удельный расход кислорода, кг×кг-1.

Если под знаком логарифма получается отрицательное число, то данный ОФП не представляет опасности. Параметр Z вычисляют по формуле

                   (29)

где h - высота рабочей зоны, м;

Н - высота помещения, м.

Определяется высота рабочей зоны

                           (30)

где hпл - высота площадки, на которой находятся люди, под полом помещения, м;

d - разность высот пола, равная нулю при горизонтальном его расположении, м.

Следует иметь в виду, что наибольшей опасности при пожаре подвергаются люди, находящиеся на более высокой отметке. Поэтому, например, при определении необходимого времени эвакуации людей из партера зрительного зала с наклонным полом значение h следует находить, ориентируясь на наиболее высоко расположенные ряды кресел. Параметры А и n вычисляют так:

для случая горения жидкости с установившейся скоростью

,

где yF - удельная массовая скорость выгорания жидкости, кг × м-2 × с-1;

для кругового распространения пожара

,

где v - линейная скорость распространения пламени, м×с-1;

для вертикальной или горизонтальной поверхности горения в виде прямоугольника, одна из сторон которого увеличивается в двух направлениях за счет распространения пламени (например распространение огня в горизонтальном направлении по занавесу после охвата его пламенем по всей высоте)

где b - перпендикулярный к направлению движения пламени размер зоны горения, м.

При отсутствии специальных требований значения a и Е принимаются равными 0,3 и 50 лк соответственно, а значение tпр=20 м.

Исходные данные для проведения расчетов могут быть взяты из справочной литературы.

Из полученных в результате расчетов значений критической продолжительности пожара выбирается минимальное

                  (31)

Необходимое время эвакуации людей (tнб), мин, из рассматриваемого помещения рассчитывают по формуле

                            (32)

При расположении людей на различных по высоте площадках необходимое время эвакуации следует определять для каждой площадки.

Свободный объем помещения соответствует разности между геометрическим объемом и объемом оборудования или предметов, находящихся внутри. Если рассчитывать свободный объем невозможно, допускается принимать его равным 80 % геометрического объема.

При наличии в здании незадымляемых лестничных клеток, вероятность Qв для людей, находящихся в помещениях, расположенных выше этажа пожара, вычисляют по формуле

                                (33)

2.6. Вероятность эвакуации людей Рд.в по наружным эвакуационным лестницам и другими путями эвакуации принимают равной 0,05 - в жилых зданиях; 0,03 - в остальных при наличии таких путей; 0,001 - при их отсутствии.

2.7. Вероятность эффективного срабатывания противопожарной защиты Pп.з вычисляют по формуле

               (34)

где n - число технических решений противопожарной защиты в здании;

Ri - вероятность эффективного срабатывания i-го технического решения.

2.8. Для эксплуатируемых зданий (сооружений) вероятность воздействия ОФП на людей допускается проверять окончательно с использованием статистических данных по формуле

                                   (35)

где n - коэффициент, учитывающий пострадавших людей;

Т - рассматриваемый период эксплуатации однотипных зданий (сооружений), год;

Мж - число жертв пожара в рассматриваемой группе зданий (сооружений) за период;

N0 - общее число людей, находящихся в зданиях (сооружениях).

Однотипными считают здания (сооружения) с одинаковой категорией пожарной опасности, одинакового функционального назначения и с близкими основными параметрами: геометрическими размерами, конструктивными характеристиками, количеством горючей нагрузки, вместимостью (числом людей в здании), производственными мощностями.

3. Оценка уровня обеспечения безопасности людей

3.1. Для проектируемых зданий (сооружений) вероятность первоначально оценивают по (3) при Рэ, равной нулю. Если при этом выполняется условие, то безопасность людей в зданиях (сооружениях) обеспечена на требуемом уровне системой предотвращения пожара. Если это условие не выполняется, то расчет вероятности взаимодействия ОФП на людей Qв следует производить по расчетным зависимостям, приведенным в разд. 2.

3.2. Допускается уровень обеспечения безопасности людей в зданиях (сооружениях) оценивать по вероятности Qв, в одном или нескольких помещениях, наиболее удаленный от выходов в безопасную зону (например верхние этажи многоэтажных зданий).

 

ПРИЛОЖЕНИЕ 3

Обязательное

МЕТОД ОПРЕДЕЛЕНИЯ ВЕРОЯТНОСТИ ВОЗНИКНОВЕНИЯ ПОЖАРА (ВЗРЫВА) В ПОЖАРОВЗРЫВООПАСНОМ ОБЪЕКТЕ

Настоящий метод устанавливает порядок расчета вероятности возникновения пожара (взрыва) в объекте и изделии.

1. Сущность метода

1.1. Вероятность возникновения пожара (взрыва) в пожаровзрывоопасном объекте определяют на этапах его проектирования, строительства и эксплуатации.

1.2. Для расчета вероятности возникновения пожара (взрыва) на действующих или строящихся объектах необходимо располагать статистическими данными о времени существования различных пожаровзрывоопасных событий. Вероятность возникновения пожара (взрыва) в проектируемых объектах определяют на основе показателей надежности элементов объекта, позволяющих рассчитывать вероятность производственного оборудования, систем контроля и управления, а также других устройств, составляющих объект, которые приводят к реализации различных пожаровзрывоопасных событий.

Под пожаровзрывоопасными понимают события, реализация которых приводит к образованию горючей среды и появлению источника зажигания.

1.3. Численные значения необходимых для расчетов вероятности возникновения пожара (взрыва) показателей надежности различных технологических аппаратов, систем управления., контроля, связи и тому подобных, используемых при проектировании объекта, или исходные данные для их расчета выбирают в соответствии с ГОСТ 2.106, ГОСТ 2.118, ГОСТ 2.119, ГОСТ 2.120, ГОСТ 15.001, из нормативно-технической документации, стандартов и паспортов на элементы объекта. Необходимые сведения могут быть получены в результате сбора и обработки статистических данных об отказах анализируемых элементов в условиях эксплуатации.

Сбор необходимых статистических данных проводят по единой программе, входящей в состав настоящего метода.

1.4. Пожаровзрывоопасность любого объекта определяется пожаровзрывоопасностью его составных частей (технологических аппаратов, установок, помещений). Вероятность возникновения пожара (взрыва) в объекте в течение года Q (ПЗ) вычисляют по формуле

             (36)

где Qi (ПП) - вероятность возникновения пожара в i-м помещении объекта в течение года;

n - количество помещений в объекте.

1.5. Возникновение пожара (взрыва) в любом из помещений объекта (событие ПП) обусловлено возникновением пожара (взрыва) или в одном из технологических аппаратов, находящихся в этом помещении (событие ПТАj,), или непосредственно в объеме исследуемого помещения (событие ПОi). Вероятность Qi (ПП) вычисляют по формуле

        (37)

где Qj (ПТА) - вероятность возникновения пожара в j технологическом аппарате i-го помещения в течение года;

Qi (ПО) - вероятность возникновения пожара в объеме i-го помещения в течение года;

m - количество технологических аппаратов в i-м помещении.

1.6. Возникновение пожара (взрыва) в любом из технологических аппаратов (событие ПТАj) или непосредственно в объеме помещения (событие ПОi), обусловлено совместным образованием горючей среды (событие ГС) в рассматриваемом элементе объекта и появлением в этой среде источника зажигания (событие ИЗ). Вероятность (Qi (ПО)) или (Qj (ПТА)) возникновения пожара в рассматриваемом элементе объекта равна вероятности объединения (суммы) всех возможных попарных пересечений (произведений) случайных событий образования горючих сред и появления источников зажиганий

             (38)

где К - количество видов горючих веществ;

N - количество источников зажигания;

ГСk - событие образования k горючей среды;

ИЗn - событие появления n-го источника зажигания;

I - специальный символ пересечения (произведения) событий;

U - специальный символ объединения (суммы) событий.

Вероятность (Qi (ПО)) или (Qj (ПТА)) вычисляют по аппроксимирующей формуле

    (39)

где Qi (ГСk) - вероятность появления в i-м элементе объекта k-й горючей среды в течение года;

Qi (ИЗn/ГСk) - условная вероятность появления в i-м элементе объекта n-го источника зажигания, способного воспламенить k-ую горючую среду.

2. Расчет вероятности образования горючей среды

2.1. Образование горючей среды (событие ГСk в рассматриваемом элементе объекта обусловлено совместным появлением в нем достаточного количества горючего вещества или материала (событие ГВ) и окислителя (событие ОК) с учетом параметров состояния (температуры, давления и т. д.). Вероятность образования k-й горючей среды (Qi (ГСk)) для случая независимости событий ГВ и ОК вычисляют по формуле

     (40)

где Qi (ГВi) - вероятность появления достаточного для образования горючей среды количества l-го горючего вещества в i-м элементе объекта в течение года;

Qi (ОКm) - вероятность появления достаточного для образования горючей среды количества m-го окислителя в i элементе объекта в течение года;

k, l, m - порядковые номера горючей среды, горючего вещества и окислителя.

2.2. Появление в рассматриваемом элементе объекта горючего вещества k вида является следствием реализации любой из an причин. Вероятность Qi (ГВk) вычисляют по формуле

                        (41)

где Qi (an) - вероятность реализации любой из an причин, приведенных ниже;

Qi (a1) - вероятность постоянного присутствия в i-м элементе объекта горючего вещества k-го вида;

Qi (a2) - вероятность разгерметизации аппаратов или коммуникаций с горючим веществом, расположенных в i-м элементе объекта;

Qi (a3) - вероятность образования горючего вещества в результате химической реакции в i-м элементе объекта;

Qi (a4) - вероятность снижения концентрации флегматизатора в горючем газе, паре, жидкости или аэровзвеси i-го элемента объекта ниже минимально допустимой;

Qi (a5) - вероятность нарушения периодичности очистки i-го элемента объекта от горючих отходов, отложений пыли, пуха и т. д.;

z - количество an причин, характерных для i -го объекта;

п - порядковый номер причины.

2.3. На действующих и строящихся объектах вероятность (Qi (an) реализации в i элементе объекта an причины, приводящей к появлению k-го горючего вещества, вычисляют на основе статистических данных о времени существования этой причины по формуле

                          (42)

где Кs - коэффициент безопасности, определение которого изложено в разд. 4;

tр - анализируемый период времени, мин;

m - количество реализаций an-й причины в i-м элементе объекта за

анализируемый период времени;

tj - время существования an-й причины появления k-го вида горючего вещества при j-й реализации в течение анализируемого периода времени, мин.

Общие требования к программе сбора и обработки статистических данных изложены в разд. 4.

2.4. В проектируемых элементах объекта вероятность (Qi (an)) вычисляют для периода нормальной эксплуатации элемента, как вероятность отказа технических устройств (изделий), обеспечивающих невозможность реализации an, причин, по формуле

                        (43)

где Pi (an) - вероятность безотказной работы производственного оборудования (изделия), исключающего возможность реализации an причины;

l - интенсивность отказов производственного оборудования (изделия), исключающего возможность реализации an причины, ч-1;

t - общее время работы оборудования (изделия) за анализируемый период времени, ч.

2.5. Данные о надежности оборудования (изделия) приведены в нормативно-технических документах, стандартах и паспортах. Интенсивность отказов элементов, приборов и аппаратов приведена в разд. 5.

2.6. При отсутствии сведений о параметрах надежности анализируемого оборудования (изделия), последние определяют расчетным путем на основе статистических данных об отказах этого оборудования (изделия).

2.7. Появление в i-м элементе объекта k вида окислителя является следствием реализации любой из bn причин.

Вероятность (Qi (ОKk)) вычисляют по формуле

                      (44)

где Qi (bn) - вероятность реализации любой из bn причин, приведенных

ниже;

Qi (b1) - вероятность того, что концентрация окислителя, подаваемого в смесь i-го элемента объекта, больше допустимой по горючести;

Qi (b2) - вероятность подсоса окислителя в i-й элемент с горючим веществом;

Qi (b3) - вероятность, постоянного присутствия окислителя в i-м элементе объекта;

Q (b4) - вероятность вскрытия i-го элемента объекта с горючим веществом без предварительного пропаривания (продувки инертным газом);

z - количество bn причин, характерных для i-го элемента объекта;

n - порядковый номер причины.

2.8. Вероятности (Qi (bn)) реализации событий, обуславливающих возможность появления окислителя k-ro вида в опасном количестве, вычисляют для проектируемых элементов по формуле (43), а для строящихся и действующий элементов по формуле (42).

2.9. Вероятность (Qi (b2)) подсоса окислителя в аппарат с горючим веществом вычисляют, как вероятность совместной реализации двух событий: нахождения аппарата под разрежением (событие S1) и разгерметизации аппарата (событие S2) по формуле

                                 (45)

2.10. Вероятность (Q (S1)) нахождения i-го элемента объекта под разрежением в общем случае вычисляют по формуле (42), принимают равное единице, если элемент во время работы находится под разрежением, и 0,5, если элемент с равной периодичностью находится под разрежением и давлением.

2.11. Вероятность (Qi (S2)) разгерметизации i-го элемента на разных стадиях его разработки и эксплуатации вычисляют по формуле (42 и 43).

2.12. При расчете вероятности образования в проектируемом элементе объекта горючей среды (Qi (ГС)), нарушения режимного характера не учитывают.

2.13. При необходимости учитывают и иные события, приводящие к образованию горючей среды.

3. Расчет вероятности появления источника зажигания (инициирования взрыва)

3.1. Появление n-го источника зажигания (инициирования взрыва) в анализируемом элементе объекта (событие ИЗn) обусловлено появлением в нем n-го энергетического (теплового) источника (событие ТИn) с параметрами, достаточными для воспламенения k-й горючей среды (событие Вnk). Вероятность (Qi (ИЗn/ГСk)) появления n-го источника зажигания в i-м элементе объекта вычисляют по формуле

               (46)

где Qi (ТИп) - вероятность появления в i-м элементе объекта в течение года n-го энергетического (теплового) источника;

Qi (Bnk) - условная вероятность того, что воспламеняющая способность появившегося в i-м элементе объекта n-го энергетического (теплового) источника достаточна для зажигания k-й горючей среды, находящейся в этом элементе.

3.1.1. Разряд атмосферного электричества в анализируемом элементе объекта возможен или при поражении объекта молнией (событие C1), или при вторичном ее воздействии (событие C2), или при заносе в него высокого потенциала (событие С3).

Вероятность (Qi (ТИп)) разряда атмосферного электричества в i-м элементе объекта вычисляют по формуле

                        (47)

где Qi (Cn) - вероятность реализации любой из Сn причин, приведенных ниже;

Qi (C1) - вероятность поражения i-го элемента объекта молнией в течение года;

Qi (C2) - вероятность вторичного воздействия молнии на i-й элемент объекта в течение года;

Qi (С3) - вероятность заноса в i-й элемент объекта высокого потенциала в течение года;

n - порядковый номер причины.

3.1.2. Поражение i-го элемента объекта молнией возможно при совместной реализации двух событий - прямого удара молнии (событие t2) и отсутствия неисправности, неправильного конструктивного исполнения или отказа молниеотвода (событие t1). Вероятность (Qi (C1)) вычисляют по формуле

                                  (48)

где Qi (t1) - вероятность отсутствия, неисправности, неправильного конструктивного исполнения или отказа молниеотвода, защищающего i-й элемент объекта;

Qi (t2) - вероятность прямого удара молнии в i-й элемент объекта в течение года.

3.1.3. Вероятность (Qi (t2)) прямого удара молнии в объект вычисляют по формуле

                           (49)

где Nу.м - число прямых ударов молнии в объект, за год;

tр - продолжительность периода наблюдения, год.

Для объектов прямоугольной формы

           (50)

Для круглых объектов

            (51)

где S - длина объекта, м;

L - ширина объекта, м;

H - наибольшая высота объекта, м;

R - радиус объекта, м;

ny - среднее число ударов молнии на 1 км2 земной поверхности выбирают из табл. 3.

Таблица 3

Продолжительность грозовой деятельности за год, ч

20-40

40-60

60-80

80-100 и более

Среднее число ударов молнии в год на 1 км2

3

6

9

12

3.1.4. Вероятность (Qi (ti)) принимают равной единице в случае отсутствия молниезащиты на объекте или наличия ошибок при ее проектировании и изготовлении.

Вывод о соответствии основных параметров молниеотвода требованиям, предъявляемым к молниезащите объектов 1, 2 и 3-й категорий делают на основании результатов проверочного расчета и детального обследования молниеотвода. Основные требования к молниеотводам объектов 1, 2 и 3-й категорий приведены в СН-305-77. При наличии молниезащиты вероятность (Qi (t1)) вычисляют по формуле

             (52)

где Кs - коэффициент безопасности, определение которого изложено в разд. 4;

tр - анализируемый период времени, мин;

tj - время существования неисправности молниеотвода при j-й ее реализации в течение года, мин;

m - количество неисправных состояний молниезащиты;

b - вероятность безотказной работы молниезащиты (b=0,995 при наличии молниезащиты типа А и b=0,95 при наличии молниезащиты типа Б).

Для проектируемых объектов вероятность ошибки при проектировании молниезащиты не рассчитывают.

При расчете Qi (t1) существующей молниезащиты нарушение периодичности проверки сопротивления заземлителей (один раз в два года) расценивают как нахождение молниезащиты в неисправном состоянии. Время существования этой неисправности определяют как продолжительность периода между запланированным и фактическим сроками проверки.

3.1.5. Вероятность (Qi (C2)) вторичного воздействия молнии на объект вычисляют по формуле

                                 (53)

где Qi (t3) - вероятность отказа защитного заземления в течение года.

3.1.6. Вероятность (Qi (t3)) при отсутствии защитного заземления или перемычек в местах сближения металлических коммуникаций принимают равной единице. Вероятность (Qi (t3)) неисправности существующей системы защиты от вторичных воздействий молнии определяют на основании результатов ее обследования аналогично вероятности (Qi (an)) по формуле (42).

Для проектируемых объектов вероятность отказа неисправности защитного заземления не рассчитывается, а принимается равной единице или нулю в зависимости от ее наличия в проекте.

3.1.7. Вероятность (Qi (С3)) заноса высокого потенциала в защищаемый объект вычисляют аналогично вероятности (Qi (С2)) по (53).

3.1.8. Вероятность Qi (t2) при расчете (Qi (C2)) и (Qi (C3)) вычисляют no формуле (49), причем значения параметров S и L в формулах (50 и 51) необходимо увеличить на 100 м.

3.1.9. Электрическая искра (дуга) может появиться в анализируемом элементе объекта (событие ТИn) при коротком замыкании электропроводки (событие е1,), при проведении электросварочных работ (событие e2), при искрении электрооборудования, не соответствующего по исполнению категории и группе горючей среды, находящейся в этом элементе (событие e3), при разрядах статического электричества (событие е4).

Вероятность (Qi (ТИn)) вычисляют по формуле

              (54)

где Qi (en) - вероятность реализации любой из en причин, приведенных ниже;

Qi (ei) - вероятность появления искр короткого замыкания электропроводки в i-м элементе в течение года;

Qi (e2) - вероятность проведения электросварочных работ в i-м элементе объекта в течение года;

Qi (e3) - вероятность несоответствия электрооборудования i-го элемента объекта категории и группе горючей среды в течение года;

Qi (е4) - вероятность возникновения в i-м элементе объекта разрядов

статического электричества в течение года;

Z - количество en причин;

п - порядковый номер причины.

3.1.10 Вероятность (Qi (е1)) появления в (i элементе объекта искр короткого замыкания вычисляют только для действующих и строящихся элементов объектов по формуле

                       (55)

где Qi (V1) - вероятность возникновения короткого замыкания электропроводки в i-м элементе объекта в течение года;

Qi (V2) - вероятность того, что значение электрического тока в i-м элементе объекта лежит в диапазоне пожароопасных значений;

Qi (Z) - вероятность отсутствия или отказа аппаратов защиты от короткого замыкания в течение года, определяющаяся по п. 3.1.30.

3.1.11. Вероятность (Qi (V1)) короткого замыкания электропроводки на действующих и строящихся объектах вычисляют на основании статистических данных по формуле (42).

3.1.12. Вероятность (Qi (V2)) нахождения электрического тока в диапазоне пожароопасных значений вычисляют по формуле

                              (56)

где Iк.з - максимальное установившееся значение тока короткого замыкания в кабеле или проводе;

I0 - длительно допустимый ток для кабеля или провода;

I1 - минимальное пожароопасное значение тока, протекающего по кабелю или проводу;

I2 - максимальное пожароопасное значение тока, протекающего по кабелю, если I2 больше Iк.з, то принимают I2=Iк.з.

Значения токов I1 и I2 определяют экспериментально. Для кабелей и проводов с поливинилхлоридной изоляцией I1=2,5, I0, а значение I2=21 I0 и 18 I0 для кабеля и провода соответственно. В отсутствии данных по I1 и I2 вероятность (Qi (V2)) принимают равной 1.

3.1.13. Вероятность (Qi (е2)) проведения в i-м элементе объекта электросварочных работ вычисляют только для действующих и строящихся элементов объекта на основе статистических данных по формуле (42).

3.1.14. Вероятность (Qi (e3)) при непрерывной работе электрооборудования принимают на всех объектах равной единице, еcли электрооборудование не соответствует категории и группе горючей смеси, или 10-8 - если соответствует. При периодической работе электрооборудования и его несоответствия категории и группе горючей среды вероятность (Qi (e3)) вычисляют аналогично вероятности (Qi (an)) по формуле (42). Если электрическая искра появляется лишь при включении и выключении электрооборудования, несоответствующего категории и группе горючей среды (при п включениях и выключениях, то вероятность (Qi(e3)) вычисляют аналогично вероятности (Qi (t2)) по формуле (49). В случае соответствия электрооборудования горючей среде, вычисленное формуле (49) значение вероятности (Qi (е3)) умножают на 10-8.

3.1.15. Вероятность (Qi (е4)) появления в i-м элементе объекта искр статического электричества вычисляют по формуле

                            (57)

где Qi (X1) - вероятность появления в i-м элементе условий для статической электризации в течение года;

Qi (X2) - вероятность наличия неисправности, отсутствия или неэффективности средств защиты от статического электричества в течение года.

3.1.16. Вероятность (Qi (X1)) принимают равной единице, если в i-м элементе объекта применяют и выбирают вещества с удельным объемным электрическим сопротивлением, превышающим 105 Ом×м. В остальных случаях (Qi (Х2)) принимают равной нулю.

3.1.17. Вероятность (Qi (X2)) принимают равной единице при отсутствии или неэффективности средств защиты от статического электричества. Вероятность (Qi (an)) неисправности средств защиты в действующих элементах вычисляют на основании статистических данных аналогично вероятности (Qi (an)) по формуле (42).

Вероятность (Qi (X2)) в проектируемых элементах объекта вычисляют аналогично вероятности (Qi (an)) по формуле (43) на основании данных о надежности проектируемых средств защиты от статического электричества (например средств ионизации или увлажнения воздуха и т. п.).

3.1.18. Фрикционные искры (искры удара и трения) появляются в анализируемом элементе объекта (событие ТИn) при применении искроопасного инструмента (событие f1), при разрушении движущихся узлов и деталей (событие f2), при применении рабочими обуви, подбитой металлическими набойками и гвоздями (событие f3), при попадании в движущиеся механизмы посторонних предметов (событие f4) и т. д., при ударе крышки металлического люка (событие f5). Вероятность (Qi (ТИn)) вычисляют по формуле

                     (58)

где Qi (fn) - вероятность реализации любой из fn причин, приведенных ниже;

Qi (f1) - вероятность применения в i-м элементе объекта металлического, шлифовального и другого искроопасного инструмента в течение года;

Qi (f2) - вероятность разрушения движущихся узлов и деталей i-го элемента объекта в течение года;

Qi (f3) - вероятность использования рабочими обуви, подбитой металлическими набойками и гвоздями в i-м элементе объекта в течение года;

Qi (f4) - вероятность попадания в движущиеся механизмы i-го элемента объекта посторонних предметов в течение года;

Qi (f5) - вероятность удара крышки металлического люка в i-м элементе объекта в течение года;

n - порядковый номер причины;

Z - количество fn причин.

3.1.19. Вероятность (Qi (f1)) вычисляют только для действующих и строящихся элементов объекта на основании статистических данных аналогичного вероятностям (Qi (an)) и (Qi (t2)) по формулам (42 или 49).

3.1.20. Вероятность (Qi (f2)) для действующих и строящихся элементов объекта вычисляют на основании статистических данных аналогично вероятности (Qi (an)) по формуле (43).

Для проектируемых элементов объекта вероятность (Qi (f2)) вычисляют аналогично вероятности (Qi (an)) по формуле (43) на основании параметров надежности составных частей.

3.1.21. Вероятность (Qi (f3)) и (Qi (f5)) вычисляют только для действующих и строящихся элементов объекта аналогично вероятности (Qi (an)) по формуле (42).

3.1.22. Вероятность (Qi (f4)) вычисляют для действующих и строящихся элементов объекта на основании статистических данных аналогично вероятности (Qi (an)) по формуле (42), а для проектируемых элементов по формуле (43), как вероятность отказа защитных средств.

3.1.23. Открытое пламя и искры появляются в i-м элементе объекта (событие ТИn) при реализации любой из причин hn. Вероятность (Qi (ТИп)) вычисляют по формуле

                      (59)

где Qi (hn) - вероятность реализации любой из hn причин, приведенных ниже;

Qi (h1) - вероятность сжигания топлива в печах i-ro элемента объекта в течение года;

Qi (h2) - вероятность проведения газосварочных и других огневых работ в i-м элементе объекта в течение года;

Qi (h3) - вероятность несоблюдения режима курения в i элементе

объекта в течение года;

Qi (h4) - вероятность отсутствия или неисправности искрогасителей на двигателях внутреннего сгорания, расположенных в i-м элементе объекта в течение года;

Qi (h5) - вероятность использования рабочими спичек, зажигалок или

горелок в i-м элементе объекта в течение года;

Qi (h6) - вероятность выбросов нагретого газа из технического оборудования в i-м элементе объекта в течение года;

Z - количество причин;

п - порядковый номер причины.

3.1.24. Вероятность (Qi (h1)) вычисляют для всех элементов объекта по формуле

                           (60)

где Ks - коэффициент безопасности, определение которого изложено в разд. 4;

tp - анализируемый период времени, мин;

m - количество включений печи в течение анализируемого периода времени;

tj - время работы печи i-го элемента объекта при j-м ее включении в течение анализируемого периода времени, мин.

3.1.25. Вероятности (Qi (h2)), (Qi (h3)), (Qi (h4)), (Qi (h5)) и (Qi (h6)) вычисляют только для действующих и строящихся объектов на основе статистических данных аналогично вероятности по формуле (60).

3.1.26. Нагрев вещества, отдельных узлов и поверхностей технологического оборудования i-го элемента объекта, контактирующих с горючей средой, выше допустимой температуры (событие ТИn) возможен при реализации любой из Кn причин. Вероятность вычисляют по формуле

            (61)

rдe Qi (Kn) - вероятность реализации любой из Кn причин, приведенных

ниже;

Qi (K1) - вероятность нагрева горючего вещества или поверхности оборудования i-го элемента объекта при возникновении перегрузки электросети, машины и аппаратов в течение года:

Qi (K2) - вероятность отказа системы охлаждения аппарата i-го элемента объекта в течение года;

Qi (K3) - вероятность нагрева поверхностей и горючих веществ при возникновении повышенных переходных сопротивлений электрических соединений i-ro элемента объекта в течение года;

Qi (K4) - вероятность использования электронагревательных приборов в i-м элементе объекта в течение года;

Qi (K5) - вероятность нагрева поверхностей при трении в подшипниках в i-м элементе объекта в течение года;

Qi (К6) - вероятность разогрева от трения транспортных лент и приводных ремней в i-м элементе в течение года;

Qi7) - вероятность нагрева поверхностей инструмента и материалов

при обработке в i-м элементе объема в течение года;

Qi (K8) - вероятность нагрева горючих веществ в i элементе объекта до опасных температур по условиям технологического процесса в течение года.

3.1.27. Перегрузка электрических коммуникаций, машин и аппаратов (событие K1) возможна при неисправности или несоответствии аппаратов защиты электрических сетей, а также при реализации любой из причин Ym.

Вероятность (Qi (K1)) вычисляют по формуле

                     (62)

где Qi {ym) - вероятность реализации любой из уm причин, приведенных ниже;

Qi (y1) - вероятность несоответствия сечения электропроводников нагрузке электроприемников в i-м элементе в течение года;

Qi (y2) - вероятность подключения дополнительных электроприемников в i-м элементе объекта в электропроводке, не рассчитанной на эту нагрузку;

Qi (у3) - вероятность увеличения момента на валу электродвигателя в i-м элементе объекта в течение года;

Qi (y4) - вероятность повышения напряжения в сети i-го элемента объекта в течение года;

Qi (y5) - вероятность отключения фазы (двухфазный режим работы в установках трехфазного тока) в сети i-го элемента объекта в течение года;

Qi (y6) - вероятность уменьшения сопротивления электроприемников в i-м элементе объекта в течение года;

Qi (z) - вероятность отсутствия неисправности или несоответствия аппаратов защиты электрических систем i-го элемента объекта от перегрузки в течение года.

3.1.28. Вероятности (Qi (y1)), (Qi (у2)), (Qi (y4)), (Qi (y5)), (Qi (y6)) вычисляют только для действующих и строящихся объектов аналогично вероятности (Qi (h1)) по формуле (60).

3.1.29. Вероятность (Qi (y3)) вычисляют для действующих и строящихся объектов аналогично вероятности (Qi (h1)) по формуле (60)), а для проектируемых объектов аналогично вероятности (Qi (an)) по формуле (43), как вероятность заклинивания механизмов, приводимых в действие электродвигателем.

3.1.30. Вероятность (Qi (z)) вычисляют для действующих элементов объекта аналогично вероятности (Qi (h1)) по формуле (60), для проектируемых элементов при отсутствии аппаратов защиты принимают равной единице, а при их наличии вычисляют аналогично вероятности (Qi (an)) по формуле (43).

3.1.31. Вероятности (Qi (K2)) вычисляют для проектируемых элементов объекта аналогично вероятности (Qi (an)) по формуле (43), как вероятность отказа устройств, обеспечивающих охлаждение аппарата, а для строящихся и действующих элементов аналогично вероятности (Qi (h1)) по формуле (60).

3.1.32. Вероятность (Qi (К3)), (Qi (K4)) и ( Qi (К6)) вычисляют только для действующих и строящихся объектов аналогично вероятности (Qi (h1)) по формуле (60).

3.1.33. Вероятность (Qi (K5)) и (Qi (K7)) вычисляют для проектируемых элементов объекта аналогично вероятности (Qi (an)) по формуле (43), как вероятность отказа системы смазки механизмов i-ro элемента, а для строящихся и действующих элементов аналогично вероятности (Qi (h1)) по формуле (60).

3.1.34. Вероятность (Qi (K8)) принимают равной единице, если в соответствии с технологической необходимостью происходит нагрев горючих веществ до опасных температур, или нулю, если такой процесс не происходит.

Вероятность (Qi (ТИn)) появления в горючем веществе или материале очагов экзотермического окисления или разложения, приводящих к самовозгоранию, вычисляют по формуле

                                   (63)

где Qi (mn) - вероятность реализации любой из mn причин, приведенных

ниже;

Qi (m1) - вероятность появления и i-м элементе объекта очага теплового самовозгорания в течение года;

Qi (m2) - вероятность появления в i-м элементе объема очага химического возгорания в течение года;

Qi (m3) - вероятность появления в i-м элементе объекта очага микробиологического самовозгорания в течение года.

3.1.35. Вероятность (Qi (m1)) вычисляют для всех элементов объекта по формуле

                                 (64)

где Qi (P1) - вероятность появления в i-м элементе объекта в течение года веществ, склонных к тепловому самовозгоранию;

Qi (P2) - вероятность нагрева веществ, склонных к самовозгоранию, выше безопасной температуры.

3.1.36. Вероятность (Qi (P1)) вычисляют для всех элементов объекта по формулам (60 или 43).

3.1.37. Вероятность (Qi (P2)) принимают равной единице, если температура среды, в которой находится это вещество, выше или равна безопасной температуре или нулю, если температура среды ниже ее.

Безопасную температуру среды для веществ, склонных к тепловому самовозгоранию (ts), °С, вычисляют по формуле

                                          (65)

где tc - температура самовозгорания вещества, вычисляемая по п. 5.1.6, °С.

3.1.38. Вероятность (Qi (m2)) вычисляют для всех элементов объекта по формуле

                   (66)

где Qi (g1) - вероятность появления в i-м элементе объекта химически активных веществ, реагирующих между собой с выделением большого количества тепла, в течение года;

Qi (g2) - вероятность контакта химически активных веществ в течение года.

3.1.39. Вероятности (Qi (g1)) и (Qi (g2)) вычисляют аналогично вероятности (Qi (h1)) по формуле (60), если реализация событий g1 и g2 обусловлена технологическими условиями или мероприятиями организационного характера и вычисляют аналогично вероятности Qi (an) по формуле (43), если эти события зависят от надежности оборудования.

3.1.40. Вероятность (Qi (m3)) рассчитывают для действующих и строящихся объектов аналогично вероятности (Qi (h1)) по формуле (60).

3.2. Вероятность (Qi ()) того, что воспламеняющаяся способность появившегося в i-м элементе объекта n-го энергетического (теплового) источника достаточна для зажигания к-й горючей среды, находящейся в этом элементе, определяется экспериментально или сравнением параметров энергетического (теплового) источника с соответствующими показателями пожарной опасности горючей среды.

3.2.1. Если данные для определения (Qi (Вkn)) отсутствуют или их достаточность вызывает сомнение, то значение вероятности (Qi (Bkn)) принимают равным 1.

3.2.2. Вероятность (Qi (Вkn)) принимают равной нулю в следующих случаях:

если источник не способен нагреть вещество выше 80 % значения температуры самовоспламенения вещества или температуры самовозгорания вещества, имеющего склонность к тепловому самовозгоранию;

если энергия, переданная тепловым источником горючему веществу (паро-, газо-, пылевоздушной смеси) ниже 40 % минимальной энергии зажигания;

если за время остывания теплового источника он не способен нагреть горючие вещества выше температуры воспламенения;

если время воздействия теплового источника меньше суммы периода индукции горючей среды и времени нагрева локального объема этой среды от начальной температуры до температуры воспламенения.

3.3. Данные о пожароопасных параметрах источников зажигания приведены в разд. 5.

3.4. При обосновании невозможности расчета вероятности появления источника зажигания в рассматриваемом элементе объекта с учетом конкретных условий его эксплуатации допускается вычислять этот параметр по формуле

                                  (67)

где t - время работы i-то элемента объекта за анализируемый период времени, ч;

 - среднее время работы i-го элемента объекта до появления одного источника зажигания, ч; (E0 - минимальная энергия зажигания горючей среды i-го элемента объекта, Дж).

3.5. При необходимости учитывают и иные события, приводящие к появлению источника зажигания.

4. Общие требования к программе сбора и обработки статистических данных

4.l. Программу сбора статистических данных разрабатывают для действующих, строящихся и проектируемых объектов на основе анализа пожарной опасности помещений и технологического оборудования

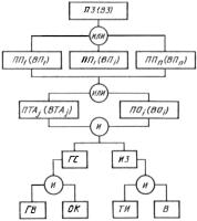
4.2. Анализ пожарной опасности проводят отдельно по каждому технологическому аппарату, помещению и заканчивают разработкой структурной схемы причинно-следственной связи пожаровзрывоопасных событий, необходимых и достаточных для возникновения пожара (взрыва) в объекте (далее - модель возникновения пожара). Общий вид структурной схемы возникновения пожара в здании показан на черт. 2.

4.3. Статистические данные о времени  существования  пожаровзрывоопасных событий на действующих и строящихся объектах и времени безотказной работы различных изделий проектируемых объектов собирают только по событиям конечного уровня, приведенным на модели возникновения пожара, для которых в методе отсутствуют аналитические зависимости.

Черт. 2

4.4. На основании модели возникновения пожара по каждому элементу объекта разрабатывают формы сбора статистической информации о причинах, реализация которых может привести к возникновению пожара (взрыва).

4.5. Статистическую информацию, необходимую для расчета параметров надежности различных изделий, используемых в проектном решении, собирает проектная организация на действующих объектах. При этом для наблюдения выбирают изделия, работающие в период нормальной эксплуатации и в условиях, идентичных тем, в которых будет эксплуатироваться проектируемое изделие.

4.6. В качестве источников информации о работоспособности технологического оборудования используют:

журналы старшего машиниста;

старшего аппаратчика;

начальника смены;

учета пробега оборудования;

дефектов;

ремонтные карты;

ежемесячные (ежеквартальные) технические отчеты; отчеты ремонтных служб;

график планово-предупредительных ремонтов;

ежемесячные отчеты об использовании оборудования;

справочные и паспортные данные о надежности различных элементов.

4.7. Источниками информации о нарушении противопожарного режима в помещениях, неисправности средств тушения, связи и сигнализации являются:

книга службы объектовой пожарной части МВД СССР;

журнал дополнительных мероприятий по охране объекта (для объектов, охраняемых пожарной охраной МВД СССР);

журнал наблюдения за противопожарным состоянием объекта (для объектов, охраняемых пожарной охраной МВД СССР);

журнал осмотра складов, лабораторий и других помещений перед их закрытием по окончании работы;

предписания Государственного пожарного надзора МВД СССР;

акты пожарно-технических комиссий о проверке противопожарного состояния объектов;

акты о нарушении правил пожарной безопасности органов Государственного пожарного надзора МВД СССР.

4.8. При разработке форм сбора и обработки статистической информации используют:

наставление по организации профилактической работы на объектах, охраняемых военизированной и профессиональной пожарной охраны МВД СССР;

устав службы пожарной охраны МВД СССР;

форму, приведенную в табл. 4.

Таблица 4

Наименование анализируемого элемента объекта

Анализируемое событие (причина)

Порядковый номер реализации события (причины)

Дата и время

Время tj существования события причины

Общее время (t) работы i-го элемента объекта, мин

Наименование

Обозначение

обнаружения (возникновения) причины

устранения (возникновения) причины

Компрессор первого каскада

Разрушение узлов и деталей поршневой группы

f2

1

01.03.84
10-35

1.3.84
10-40

5

18*14

2

10.4.84
15-17

10.4.84
15-21

4

 

3

21.5.84
12-54

21.5.84
12-59

5

 

4

17.12.84
01-12

17.12.84
01-15

3

 

4.9. На основании собранных данных вычисляют коэффициент безопасности Ks в следующей последовательности.

4.9.1. Вычисляют среднее время существования пожаровзрывоопасного события (t0) (среднее время нахождения в отказе) по формуле

                         (68)

где tj - время существования i-го пожаровзрывоопасного события, мин;

m - общее количество событий (изделий);

j - порядковый номер события (изделия).

4.9.2. Точечную оценку дисперсии (D0) среднего времени существования пожаровзрывоопасного события вычисляют по формуле

                 (69)

4.9.3. Среднее квадратическое отклонение (st0) точечной оценки среднего времени существования события - t0 вычисляют по формуле

               (70)

4.9.4. Из табл. 5 выбирают значение коэффициента tb в зависимости от числа степеней свободы (m-1) при доверительной вероятности b=0,95.

Таблица 5

m-1

1

2

От 3 до 5

От 6 до 10

От 11 до 20

20

tb

12,71

4,30

3,18

2,45

2,20

2,09

4.9.5. Коэффициент безопасности (Ks) (коэффициент, учитывающий отклонение значения параметра t0, вычисленного по формуле (68), от его истинного значения) вычисляют из формулы

                                 (71)

4.9.6. При реализации в течение года только одного события коэффициент безопасности принимают равным единице.

5. Определение пожароопасных параметров тепловых источников интенсивности отказов элементов

5.1. Пожароопасные параметры тепловых источников

5.1.1. Разряд атмосферного электричества

5.l.l.l. Прямой удар молнии

Опасность прямого удара молнии заключается в контакте горючей среды с каналом молнии, температура в котором достигает 30000 °С при силе тока 200000 А и времени действия около 100 мкс. От прямого удара молнии воспламеняются все горючие среды.

5.1.1.2. Вторичное воздействие молнии

Опасность вторичного воздействия молнии заключается в искровых разрядах, возникающих в результате индукционного и электромагнитного воздействия атмосферного электричества на производственное оборудование, трубопроводы и строительные конструкции. Энергия искрового разряда превышает 250 мДж и достаточна для воспламенения горючих веществ с минимальной энергией зажигания до 0,25 Дж.

5.1.1.3. Занос высокого потенциала

Занос высокого потенциала в здание происходит по металлическим коммуникациям не только при их прямом поражении молнией, но и при расположении коммуникаций в непосредственной близости от молниеотвода. При соблюдении безопасных расстояний между молниеотводами и коммуникациями энергия возможных искровых разрядов достигает значений 100 Дж и более, то есть достаточна для воспламенения всех горючих веществ.

5.1.2. Электрическая искра (дуга)

5.1.2.1. Термическое действие токов короткого замыкания

Температуру проводника (tпр), °С, нагреваемого током короткого замыкания, вычисляют по формуле

                      (72)

где tн - начальная температура проводника, °С;

Iк.з - ток короткого замыкания, А;

R - сопротивление проводника, Oм;

tк.з - время короткого замыкания, с;

Спр - теплоемкость проводника, Дж×кг-1×К-1;

mпр - масса проводника, кг.

Воспламеняемость кабеля и проводника с изоляцией зависит от значения кратности тока короткого замыкания Iк.з, т. е. от значения отношения Iк.з к длительно допустимому току кабеля или провода. Если эта кратность больше 2,5, но меньше 18 для кабеля и 21 для провода, то происходит воспламенение поливинилхлоридной изоляции.

5.1.2.2. Электрические искры (капли металла)

Электрические искры (капли металла) образуются при коротком замыкании электропроводки, электросварке и при плавлении электродов электрических ламп накаливания общего назначения. Размер капель металла при этом достигает 3 мм (при потолочной сварке - 4 мм). При коротком замыкании и электросварке частицы вылетают во всех направлениях, и их скорость не превышает 10 и 4 м×с-1 соответственно. Температура капель зависит от вида металла и равна температуре плавления. Температура капель алюминия при коротком замыкании достигает 2500 °С, температура сварочных частиц и никелевых частиц ламп накаливания достигает 2100 °C. Размер капель при резке металла достигает 15-26 мм, скорость - 1 м×с-1 температура 1500 °C. Температура дуги при сварке и резке достигает 4000 °С, поэтому дуга является источником зажигания всех горючих веществ.

Зона разлета частиц при коротком замыкании зависит от высоты расположения провода, начальной скорости полета частиц, угла вылета и носит вероятностный характер. При высоте расположения провода 10 м вероятность попадания частиц на расстояние 9 м составляет 0,06; 7 м - 0,45 и 5м - 0,92; при высоте расположения 3 м вероятность попадания частиц на расстояние 8 м составляет 0,01, 6 м - 0,29 и 4м - 0,96, а при высоте 1 м вероятность разлета частиц на 6м - 0,06, 5 м - 0,24, 4 м - 0,66 и 3 м - 0,99.

Количество теплоты, которое капля металла способна отдать горючей среде при остывании до температуры ее самовоспламенения, рассчитывают следующим способом.

Среднюю скорость полета капли металла при свободном падении (wк), м×с-1, вычисляют по формуле

                                 (73)

где g=9,8l м×с-1 - ускорение свободного падения;

Н - высота падения, м.

Объем капли металла (Vк), м3, вычисляют по формуле

                         (74)

где dk - диаметр капли, м.

Массу капли (mk), кг, вычисляют по формуле

                                        (75)

где r - плотность металла, кг×м-1.

В зависимости от продолжительности полета капли возможны три ее состояния: жидкое, кристаллизации, твердое.

Время полета капли в расплавленном (жидком) состоянии (tp), с, рассчитывают по формуле

                              (76)

где Cp - удельная теплоемкость расплава металла, Дж×к-1К-1;

mk - масса капли, кг;

Sk=0,785 d2k - площадь поверхности капли, м2;

Тн, Тпл - температура капли в начале полета и температура плавления металла соответственно, К;

Т0 - температура окружающей среды (воздуха), К;

a - коэффициент теплоотдачи, Вт, м-2 К-1.

Коэффициент теплоотдачи определяют в следующей последовательности:

а) вычисляют число Рейнольдса по формуле

                                     (77)

где dk - диаметр капли м;

v=l5,1×10-6 - коэффициент кинематической вязкости воздуха при температуре 20°С, м-2×с-1.

б) вычисляют критерий Нуссельта по формуле

                                (78)

в) вычисляют коэффициент теплоотдачи по формуле

,                                        (79)

где lв=22×10-6 - коэффициент теплопроводности воздуха, Вт×м-1×-1.

Если t£tр, то конечную температуру капли определяют по формуле

      (80)

Время полета капли, в течение которого происходит ее кристаллизация, определяют по формуле

                                 (81)

где Скр - удельная теплота кристаллизации металла, Дж×кг-1.

Если tр<t£(tp+tкр), то конечную  температуру капли определяют по формуле

                                          (82)

Если t>(tр+tкр), то конечную температуру капли в твердом состоянии определяют по формуле

       (83)

где Ск - удельная теплоемкость металла, Дж×кг-1×K-1.

Количество тепла (W), Дж, отдаваемое каплей металла твердому или жидкому горючему материалу, на который она попала, вычисляют по формуле

                    (84)

где Тсв - температура самовоспламенения горючего материала, К;

К - коэффициент, равный отношению тепла, отданного горючему веществу, к энергии, запасенной в капле.

Если отсутствует возможность определения коэффициента К, то принимают К=1.

Более строгое определение конечной температуры капли может быть проведено при учете зависимости коэффициента теплоотдачи от температуры.

5.1.2.3. Электрические лампы накаливания общего назначения

Пожарная опасность светильников обусловлена возможностью контакта горючей среды с колбой электрической лампы накаливания, нагретой выше температуры самовоспламенения горючей среды.

Черт. 3

Температура нагрева колбы электрической лампочки зависит от мощности лампы, ее размеров и расположения в пространстве. Зависимость максимальной температуры на колбе горизонтально расположенной лампы от ее мощности и времени приведена на черт. 3.

5.1.2.4. Искры статического электричества

Энергию искры (Wи), Дж, способной возникнуть под действием напряжения между пластиной и каким-либо заземленным предметом, вычисляют по запасенной конденсатором энергии из формулы

                                   (85)

где С - емкость конденсатора, Ф;

U - напряжение, В.

Разность потенциалов между заряженным телом и землей измеряют электрометрами в реальных условиях производства.

Черт. 4

Если Wн³0,4 Wм.э.з ( Wм.э.з - минимальная энергия зажигания среды), то искру статического электричества рассматривают как источник зажигания.

Реальную опасность представляет «контактная» электризация людей, работающих с движущимися диэлектрическими материалами. При соприкосновении человека с заземленным предметом возникают искры с энергией от 2,5 до 7,5 мДж. Зависимость энергии электрического разряда с тела человека и от потенциала зарядов статического электричества показана на черт. 4.

5.1.3. Механические (фрикционные) искры (искры от удара и трения)

Размеры искр удара и трения, которые представляют собой раскаленную до свечения частичку металла или камня, обычно не превышают 0,5 мм, а их температура находится в пределах температуры плавления металла. Температура искр, образующихся при соударении металлов, способных вступать в химическое взаимодействие друг с другом с выделением значительного количества тепла, может превышать температуру плавления и поэтому ее определяют экспериментально или расчетом.

Количество теплоты, отдаваемое искрой при охлаждении от начальной температуры tн до температуры самовоспламенения горючей среды tсв вычисляют по формуле (84), а время остывания t - следующим образом.

Отношение температур (Qп) вычисляют по формуле

                         (86)

где tв - температура воздуха, °С.

Коэффициент теплоотдачи (a), Вт×м-2×К-1, вычисляют по формуле

                                     (87)

где wи - скорость полета искры, м×с-1.

Скорость искры (wи), образующейся при ударе свободно падающего тела, вычисляют по формуле

                                     (88)

а при ударе о вращающееся тело по формуле

                                  (89)

где n - частота вращения, с-1;

R - радиус вращающегося тела, м.

Скорость полета искр, образующихся при работе с ударным инструментом, принимают равной 16 м×с-1, а с высекаемых при ходьбе в обуви, подбитой металлическими набойками или гвоздями, 12 м×с-1.

Критерий Био вычисляют по формуле

                              (90)

где dи - диаметр искры, м;

lи - коэффициент теплопроводности металла искры при температуре самовоспламенения горючего вещества (tсв), ×м-1×K-1.

По значениям относительной избыточной температуры qп и критерия Вi определяют по графику (черт. 5) критерий Фурье

Черт. 5

Длительность остывания частицы металла (t), с, вычисляют по формуле

                          (91)

где F0 - критерий Фурье;

Си - теплоемкость металла искры при температуре самовоспламенения горючего вещества, Дж×кг-1×К-1;

rи - плотность металла искры при температуре самовоспламенения горючего вещества, кг×м-3.

При наличии экспериментальных данных о поджигающей способности фрикционных искр вывод об их опасности для анализируемой горючей среды допускается делать без проведения расчетов.

5.1.4. Открытое пламя и искры двигателей (печей)

Пожарная опасность пламени обусловлена интенсивностью теплового воздействия (плотностью теплового потока), площадью воздействия, ориентацией (взаимным расположением), периодичностью и временем его воздействия на горючие вещества. Плотность теплового потока диффузионных пламен (спички, свечи, газовой горелки) составляет 18-40 кВт×м-2, а предварительно перемешанных (паяльные лампы, газовые горелки) 60-140 кВт×м-2 В табл. 6 приведены температурные и временные характеристики некоторых пламен и малокалорийных источников тепла.

Таблица 6

Наименование горящего вещества (изделия) или пожароопасной операции

Температура пламени (тления или нагрева), оС

Время горения (тления), мин

Легковоспламеняющиеся и горючие жидкости

880

-

Древесина и лесопиломатериалы

1000

-

Природные и сжиженные газы

1200

-

Газовая сварка металла

3150

-

Газовая резка металла

1350

-

Тлеющая папироса

320-410

2-2,5

Тлеющая сигарета

420-460

26-30

Горящая спичка

600-640

0,33

Открытое пламя опасно не только при непосредственном контакте с горючей средой, но и при ее облучении. Интенсивность облучения (gр), Вт×м-2, вычисляют по формуле

                       (92)

где 5,7 - коэффициент излучения абсолютно черного тела, Вт×м-2×К-4;

eпр - приведенная степень черноты системы

                         (93)

eф - степень черноты факела (при горении дерева равна 0,7, нефтепродуктов 0,85);

eв - степень черноты облучаемого вещества принимают по справочной литературе;

Тф - температура факела пламени, К,

Тсв - температура горючего вещества, К;

j - коэффициент облученности между излучающей и облучаемой поверхностями.

Критические значения интенсивности облучения в зависимости от времени облучения для некоторых веществ приведены в табл. 7.

Пожарная опасность искр печных труб, котельных, труб паровозов и тепловозов, а также других машин, костров, в значительной степени определяется их размером и температурой. Установлено, что искра диаметром 2 мм пожароопасна, если имеет температуру около 1000 °С, диаметром 3 мм - 800 °С, диаметром 5 мм - 600 °С.

Теплосодержание и время остывания искры до безопасности температуры вычисляют по формулам (76 и 91). При этом диаметр искры принимают 3 мм, а скорость полета искры (wи), м×с-1, вычисляют по формуле

                           (94)

где wв - скорость ветра, м×с-1;

H - высота трубы, м.

Таблица 7

Материал

Минимальная интенсивность облучения, Вт×м-2, при продолжительности облучения, мин

3

5

15

Древесина (сосна влажностью 12 %)

18800

16900

13900

Древесно-стружечная плита плотностью 417 кг×м-3

13900

11900

8300

Торф брикетный

31500

24400

13200

Торф кусковой

16600

14350

9800

Хлопок-волокно

11000

9700

7500

Слоистый пластик

21600

19100

15400

Стеклопластик

19400

18600

17400

Пергамин

22000

19750

17400

Резина

22600

19200

14800

Уголь

-

35000

35000

5.1.5. Нагрев веществ, отдельных узлов и поверхностей технологического оборудования

Температуру нагрева электропровода при возникновении перегрузки (tж), °С, вычисляют по формуле

                      (95)

где tср.н - нормативная температура среды для прокладки провода, принимается в соответствии с правилами электрооборудования, утвержденными Госэнергонадзором, °С;

Iф - фактический ток в проводнике, Д;

tж.п - нормативная температура жилы электропровода, °С;

Iдоп - допустимый ток в проводнике, А.

Температура газа при сжатии в компрессоре и отсутствии его охлаждения (Тк), К, вычисляют по формуле

                          (96)

где Тн - температура газа в начале сжатия, К;

Рк, Рн - давление газа в конце и начале сжатия, кг×м-2;

k - показатель адиабаты (равен 1,67 и 1,4 соответственно для одно- и двухатомных газов).

Для многоатомных газов показатель адиабаты вычисляют по формуле

                            (97)

где Ср, Сv - изобарная и изохорная удельные массовые теплоемкости газов, Дж×кг-1×К-1.

Температуру нагрева электрических контактов при возникновении повышенных переходных сопротивлений (tн.к), °С, вычисляют по формуле

               (98)

где tср - температура среды, оС;

t - время, с;

tк - постоянная времени нагрева контактов, с;

Р - электрическая мощность, выделяющаяся в контактных переходах, Вт;

S - площадь поверхности теплообмена, м2;

aобщ - общий коэффициент теплоотдачи, Вт×м-2×К-1.

До максимальной температуры контакты нагреваются за время

                                             (99)

Электрическую мощность (Р), выделяющуюся в контактных переходах вычисляют по формуле

                                     (100)

где I - ток в сети, А;

Ui - падение напряжения в i-й контактной паре в электрическом контакте, В;

п - количество контактных пар в контакте.

Значение падения напряжений на контактных парах Ui для деталей из некоторых материалов приведены в табл. 8.

Таблица 8

Наименование материала

Алюминий

Графит

Латунь

Медь

Сталь

Алюминий

0,28

 

 

 

 

Графит

3,0

3,0

 

 

 

Латунь

0,63

2,4

0,54

 

 

Медь

0,85

3,0

0,60

0,65

 

Сталь

1,4

1,6

2,1

3,0

2,5

Коэффициент теплообмена вычисляют в зависимости от температуры контактов по формулам:

      (101)

                    (102)

Постоянную времени нагрева контактов вычисляют по формуле

                           (103)

где С - удельная массовая теплоемкость металла контактов, Дж×кг-1×K-1;

m - масса контактов кг.

Расчет tн.к проводят в следующей последовательности. Для заданной температуры tн.к вычисляют aобщ и С, а затем по формуле (98) вычисляют tн.к. Если выбранное и вычисленное значения tн.к отличаются более чем на 5 %, то вычисление необходимо повторить.

Температуру подшипника скольжения при отсутствии смазки и принудительного охлаждения (tп.с), оС, вычисляют по формуле

              (104)

где tср - температура среды, °С;

a=0,44 fNdn - коэффициент мощности, Вт;

f - коэффициент трения скольжения;

N - сила, действующая на подшипник, кг;

d - диаметр шипа вала, м;

п - частота вращения вала, мин-1;

S - площадь поверхности теплообмена (поверхность подшипника, омываемая воздухом), м2;

t - время работы подшипника, с;

 - постоянная времени нагрева подшипника, с;

m - масса подшипника, кг.

Время нагрева подшипника (t), с, до заданной температуры вычисляют по формуле

                   (105)

Практически при t=5tп температура подшипника достигает максимального значения, вычисляемого по формуле

                           (106)

В формулах (106, 107, 108) коэффициент теплообмена aобщ вычисляют по формулам (101 или 102).

Последовательность расчета температуры подшипника аналогична расчету температуры нагрева контактов.

5.1.6. Нагрев веществ при самовозгорании

Минимальную температуру среды, при которой происходит тепловое самовозгорание, вычисляют из выражения

                           (107)

а время нагревания вещества до момента самовозгорания из выражения

                     (108)

где tc - температура окружающей среды, °С;

tc - время нагрева, ч;

Ap, Aв, np, nв - эмпирические константы;

S - удельная поверхность тел, м-1.

                      (109)

где F - полная наружная поверхность тела, м2;

V - объем тела, м3;

l, b, h - размеры тела вдоль соответствующей координатной оси, м; например, для прямоугольного параллелепипеда, l - длина, b - ширина, h - высота; для цилиндра: l=b=Dц, h - высота; для шара: l=b=h=Dш и т. д.

5.2. Интенсивность отказов элементов оборудования, приборов и аппаратов

Зависимость интенсивности повреждений оборудования, приводящих к взрыву, от взрывоопасной концентрации для производства дивинила, метана, этилена и аммиака приведена на черт. 6.

min и max l
- - - средние значения
1 - фланцы; 2 - задвижки;
3 - скруберы; 4 - осушители;
5 - конденсаторы; 6 - емкости:
7 - трубы

Черт. 6

Интенсивность отказов различных элементов технологических аппаратов и защитных устройств определяют по табл. 9, 10.

Таблица 9

Интенсивность отказа элементов

Наименование элемента

Интенсивность отказов (l×106).ч-1

Нижний предел

Среднее значение

Верхний предел

Механические элементы

Гильзы

0,02

0,045

0,08

Дифференциалы

0,012

1,00

1,58

Зажимы

0,0003

0,0005

0,0009

Кольца переменного сечения

0,045

0,55

3,31

Коробки коленчатого вала

0,1

0,9

1,8

Коробки передач:

 

 

 

соединительные

0,11

0,2

0,36

секторные

0,051

0,912

1,8

скоростные

0,087

2,175

4,3

Корпуса

0,03

1,1

2,05

Муфты:

 

 

 

сцепления

0,04

0,06

1,1

скольжения

0,07

0,3

0,94

Ограничители

0,165

0,35

0,783

Ограничительные сменные кольца

-

0,36

-

Противовесы:

 

 

 

большие

0,13

0,3375

0,545

малые

0,005

0,0125

0,03

Пружины

0,004

0,1125

0,221

Приводы:

 

 

 

со шкивом

-

0,16

-

дополнительного сервомеханизма

0,86

12,5

36,6

обычных сервомеханизмов

0,86

12,5

36,6

более экономичные

0,6

3,3

18,5

менее

0,17

1,8

9,6

Приводные ремни передач

-

3,6

-

Подшипники:

 

 

 

шариковые

0,02

0,65

2,22

соединительных муфт

0,008

0,21

0,42

роликовые

0,2

0,5

1,0

Шарикоподшипники:

 

 

 

мощные

0,072

1,8

3,53

маломощные

0,035

0,875

1,72

Рессоры маломощные

-

0,112

-

Ролики

0,02

0,075

0,1

Соединения:

 

 

 

механические

0,02

0,02

1,96

вращающиеся

6,89

7,50

9,55

паяные

0,0001

0,004

1,05

Соединительные коробки

0,28

0,4

0,56

Сервомеханизмы

1,1

2,0

3,6

Стержни

0,15

0,35

0,62

Устройство связи:

 

 

 

направленные

0,065

1,52

3,21

поворотные

0,001

0,025

0,049

гибкие

0,027

0,039

1,348

жесткие

0,001

0,025

0,049

Фильтры механические

0,045

0,3

1,8

Шестерни

0,002

0,12

0,98

Штанги плунжера

-

0,68

-

Штифты:

 

 

 

с нарезкой

0,006

0,025

0,1

направляющие

0,65

1,625

2,6

Шарниры универсальные

1,12

2,5

12,0

Шасси

-

0,921

-

Эксцентрики

0,001

0,002

0,004

Пружины

0,09

0,22

0,42

Теплообменники

2,21

15,0

18,6

Гидравлические и пневматические элементы

Диафрагмы

0,1

0,6

0,9

Источники мощности гидравлические

0,28

6,1

19,3

Задвижки клапанов

0,112

5,1

44,8

Задвижки возбуждения

0,112

0,212

2,29

Клапаны:

 

 

 

шариковые

1,11

4,6

7,7

рычажные

1,87

4,6

7,4

нагруженные

0,112

5,7

18,94

сверхскоростные

1,33

3,4

5,33

обходные

0,16

2,2

8,13

стопорные

0,112

2,3

4,7

контрольные

0,24

1,9

2,2

дренажные

-

0,224

-

наполнительные

0,1

0,112

1,12

поплавковые

5,6

8,0

11,2

горючего

1,24

6,4

37,2

давления

0,112

5,6

32,5

первичные

0,165

6,3

14,8

двигателя

-

37,2

-

регулятора

-

0,56

-

разгрузочные:

0,224

5,7

14,1

давления

0,224

3,92

32,5

термические

5,6

8,4

12,3

резервуарные

2,70

6,88

10,8

селекторные

3,7

16,0

19,7

регулировочные

0,67

1,10

2,14

ручные переключающие

0,112

6,5

10,2

скользящие

0,56

1,12

2,28

ползунковые

-

1,12

-

соленоидные:

2,27

11,0

19,7

трехходовые

1,87

4,6

7,41

четырехходовые

1,81

4,6

7,22

импульсные

2,89

6,9

9,76

перепускные

0,26

0,5

2,86

разгрузочные

3,41

5,7

15,31

Сервоклапаны

16,8

30,0

56,0

Манометры

0,135

1,3

15,0

Моторы гидравлические

1,45

1,8

2,25

Нагнетатели

0,342

2,4

3,57

Насосы с машинным приводом

1,12

8,74

31,3

Поршни гидравлические

0,08

0,2

0,85

Приводы постоянной скорости пневматические

0,3

2,8

6,2

Прокладки:

 

 

 

пробковые

0,003

0,04

0,077

пропитанные

0,05

0,137

0,225

из сплава «Монель»

0,0022

0,05

0,908

кольцеобразные

0,01

0,02

0,035

феноловые (пластмассовые)

0,01

0,05

0,07

резиновые

0,011

0,02

0,03

Регуляторы:

 

 

 

давления

0,89

4,25

15,98

гидравлические

-

3,55

-

пневматические

3,55

7,5

15,98

Резервуары гидравлические

0,083

0,15

0,27

Сильфоны

0,09

2,287

6,1

Соединения:

 

 

 

гидравлические

0,012

0,03

2,01

пневматические

0,021

0,04

1,15

Соединительные муфты гидравлические

-

0,56

-

Трубопроводы

0,25

1,1

4,85

Цилиндры

0,005

0,007

0,81

Цилиндры пневматические

0,002

0,004

0,013

Шланги:

 

 

 

высокого давления

0,157

3,93

5,22

гибкие

-

0,067

-

пневматические

-

3,66

-

 

Таблица 10

Интенсивность отказов защитных устройств

Наименование элемента

Среднее значение интенсивности отказов (l×106), ч-1

Индикаторы взрывов автоматических систем подавления взрывов (АСПВ)

0,25

Блоки управления автоматических систем подавления взрывов (на каждый канал)

0,12

Гидропушки ГП (АСПВ)

0,27

Оросители АС (АСПВ)

0,32

Пламеотсекатели ПО (АСПВ)

0,39

Кабели (АСПВ)

0,047

Предохранительные мембраны

0,0112

 

ПРИЛОЖЕНИЕ 4

Справочное

МЕТОД ОЦЕНКИ ЭКОНОМИЧЕСКОЙ ЭФФЕКТИВНОСТИ
СИСТЕМ ПОЖАРНОЙ БЕЗОПАСНОСТИ

1. Экономическая оценка эффективности затрат на обеспечение пожарной безопасности

1.1. Эффективность затрат на обеспечение пожарной безопасности народнохозяйственных объектов является обязательным условием при технико-экономическом обосновании мероприятий, направленных на повышение пожарной безопасности. Расчеты экономического эффекта могут использоваться при определении цен на научно-техническую продукцию противопожарного назначения, а также для обоснования выбора мероприятий по обеспечению пожарной безопасности при формировании планов научно-исследовательских и опытно-конструкторских работ, экономического и социального развития объектов.

Эффективность затрат на обеспечение пожарной безопасности определяется как социальными (оценивает соответствие фактического положения установленному социальному нормативу), так и экономическими (оценивает достигаемый экономический результат) показателями.

Экономический эффект отражает собой превышение стоимостных оценок конечных результатов над совокупными затратами ресурсов (трудовых, материальных, капитальных и др.) за расчетный период. Конечным результатом создания и использования мероприятий по обеспечению пожарной безопасности является значение предотвращенных потерь, которые рассчитывают исходя из вероятности возникновения пожара и возможных экономических потерь от него до и после реализации мероприятия по обеспечению пожарной безопасности на объекте. Численное значение затрат на мероприятия по обеспечению пожарной безопасности определяется на основе бухгалтерской отчетности объекта защиты.

1.2. Затраты на обеспечение пожарной безопасности следует считать эффективными с социальной точки зрения, если они обеспечивают выполнение норматива по исключению воздействия на людей опасных факторов пожара, установленного настоящим стандартом (разд. 1 и приложение 2).

1.3. Экономический эффект определяется по всему циклу реализации мероприятия по обеспечению пожарной безопасности за расчетный период времени, включающий в себя время проведения научно-исследовательских и опытно-конструкторских работ, освоение и производство элементов систем и мероприятий по обеспечению пожарной безопасности, а также время использования результатов осуществления мероприятия на охраняемом объекте.

За начальный год расчетного периода принимается год начала финансирования работ по осуществлению мероприятия. Началом расчетного периода, как правило, считается первый год выполнения научно-исследовательских и опытно-конструкторских работ. Конечный год расчетного периода определяется моментом завершения использования результатов осуществления мероприятия. Конечный год использования результатов мероприятия по обеспечению пожарной безопасности определяется разработчиком и согласовывается с основным заказчиком (потребителем). При его установлении целесообразно руководствоваться: плановыми сроками замены элементов систем и мероприятий по обеспечению пожарной безопасности; сроками службы элементов и систем по обеспечению пожарной безопасности (с учетом морального старения), указанными и документации на них (ГОСТ, ОСТ, ТУ, паспорт и др.); экспертной оценкой при отсутствии нормативов.

1.4. При проведении расчетов экономического эффекта разновременные затраты и результаты приводятся к единому моменту времени - расчетному году. В качестве расчетного года принимается год, предшествующий началу использования мероприятия по обеспечению пожарной безопасности. Приведение выполняется умножением значений затрат и результатов предотвращенных потерь соответствующего года на коэффициент дисконтирования (at), вычисляемый по формуле

                                (110)

где Е - норматив приведения разновременных затрат и результатов, численно равный нормативу эффективности капитальных вложений (Е=Ен=0,1);

tp - расчетный год;

t - год, затраты и результаты которого приводятся к расчетному году.

1.5. В число возможных вариантов реализации мероприятия по обеспечению пожарной безопасности объекта на этапе технико-экономического обоснования отбираются те, которые отвечают ограничениям технического и социального характера. В число рассматриваемых вариантов включаются наилучшие, технико-экономические показатели которых превосходят или соответствуют лучшим мировым и отечественным достижениям. При этом должны учитываться возможности закупки техники за рубежом, организации собственного производства на основе приобретения лицензий, организации совместного производства с зарубежными партнерами. Лучшим признается вариант мероприятия по обеспечению пожарной безопасности, который имеет наибольшее значение экономического эффекта либо при условии тождества предотвращаемых потерь - затраты на его достижение минимальны.

Если целью осуществления мероприятия по обеспечению пожарной безопасности является не непосредственное предотвращение пожара, а обеспечение, достоверной информации об основных характеристиках и параметрах уровня обеспечения пожарной безопасности, контроля за соблюдением правил пожарной безопасности, в случае невозможности определения влияния данного мероприятия на стоимостную оценку предотвращенных потерь, то при сравнении альтернативных вариантов по обеспечению пожарной безопасности лучшим принимается тот, затраты на достижение которого минимальны.

1.6. Экономический эффект затрат на обеспечение пожарной безопасности определяется по результатам эксплуатации за расчетный период. Экономический эффект за расчетный период независимо от направленности мероприятия по обеспечению пожарной безопасности (разработка, производство и использование новых, совершенствование существующих элементов систем и мероприятий по обеспечению пожарной безопасности) (ЭT), руб., рассчитывают по формуле

                                  (111)

или

                       (112)

где ЭT - экономический эффект реализации мероприятия по обеспечению пожарной безопасности за расчетный период (T);

Ппр t, Ппр T - стоимостная оценка предотвращенных потерь соответственно за расчетный период (T) и в году (t) расчетного периода;

ЗТ, Зt - стоимостная оценка затрат на реализацию мероприятия по обеспечению пожарной безопасности соответственно за расчетный период (T) и в году (t) расчетного периода;

at, atпр - коэффициенты приведения разновременных соответственно затрат и предотвращенных потерь к расчетному году;

tн - начальный год расчетного периода;

tк - конечный год расчетного периода;

t - текущий год расчетного периода.

1.7. Затраты на реализацию мероприятия по обеспечению пожарной безопасности за расчетный период (ЗТ), руб., рассчитывают по формуле

              (113)

где Знио.к.р - затраты на проведение научно-исследовательских и опытно-конструкторских работ, руб.;

 - затраты при производстве мероприятий по обеспечению пожарной безопасности, руб.;

 - затраты при использовании мероприятий по обеспечению пожарной безопасности (без учета затрат на приобретение созданных элементов мероприятий), руб.

Затраты при производстве (использовании) мероприятий по обеспечению пожарной безопасности (ЗТп(и)), руб., рассчитывают по формуле

              14)

где 3t - значение затрат всех ресурсов в году t;

Иt - текущие издержки при производстве (использовании) мероприятий по обеспечению пожарной безопасности в году t;

Kt - единовременные затраты при производстве (использовании) мероприятий в году t;

Лt - остаточная стоимость (ликвидационное сальдо) основных фондов, выбывших в году t.

При оценке остаточной стоимоcти фондов могут быть рассмотрены три различных случая:

а) созданные ранее фонды, которые высвобождаются в году за ненадобностью, могут до конца своего срока службы эффективно использоваться где-то в другом месте. В этом случае в качестве Лt следует учитывать остаточную стоимость фондов;

б) фонды в конце расчетного периода, отслужившие лишь часть своего срока службы и эффективно функционирующие. В этом случае в качестве Лt следует учитывать остаточную стоимость фондов;

в) фонды, высвобожденные за ненадобностью в году t, которые нигде более по своему назначению использованы быть не могут. В этом случае в качестве Лt следует учитывать ликвидационное сальдо.

2. Расчет экономических потерь от пожара

2.1. Значение предотвращенных потерь (Ппр), руб., определяют по формуле

                                  (115)

где П1, П2 - экономические потери от одного пожара на охраняемом объекте соответственно до и после реализации мероприятий по обеспечению пожарной безопасности, руб.

Экономические потери (П1 и П2) от пожара на объекте за год могут быть определены на основании статистических данных о пожарах и использовании расчетного метода (разд. 1, 2, 3).

2.2. При использовании статистических данных экономические потери (Пэj), руб., от j-го пожара, вычисляют по формуле

           (116)

где Пэj - экономические потери от j-го пожара, руб;

Пн.бj - потери части национального богатства от j-го пожара, руб;

По.рj - потери в результате отвлечения ресурсов на компенсацию последствий j-го пожара, руб;

Пн.вj - потери из-за неиспользования возможностей вследствие jo пожара, руб;

Пс.эj - социально-экономические потери от j-го пожара, руб;

N - количество пожаров за год.

2.3. Потери части национального богатства состоят из материальных ценностей, уничтоженных или поврежденных в результате воздействия опасных факторов пожара и его вторичных проявлений, а также средств пожаротушения.

Потери части национального богатства от jo пожара (Пн.бj), руб, вычисляют по формуле

     (117)

где Пуп.о.фj - потери в результате уничтожения j-м пожаром основных производственных фондов, руб.;

Ппп.о.фj - потери в результате повреждения j-м пожаром основных производственных фондов, руб.;

Пун.о.фj - потери в результате уничтожения j пожаром основных непроизводственных фондов, руб.;

Ппн.о.фj - потери в результате повреждения j-м пожаром основных непроизводственных фондов, руб.;

Пу(п)т.м.цj - потери в результате уничтожения (повреждения) j пожаром товарно-материальных ценностей (оборотных фондов, материальных ресурсов текущего потребления) руб.;

Пу(п)и.мj - потери в результате уничтожения (повреждения) j-м пожаром личного имущества населения, руб.;

Пупр.рj - потери в результате уничтожения j-м пожаром природных ресурсов, руб.;

2.4. Потери в результате отвлечения ресурсов на компенсацию последствий пожара - приведенные затраты на восстановительные работы на объекте, на котором произошел пожар.

Потери в результате отвлечения ресурсов на компенсацию последствий j-го пожара (По.рj), руб. вычисляют по формуле

                  (118)

где Поо.рj - потери в результате отвлечения ресурсов на восстановление объекта после j-го пожара, руб.;

Ппо.рj - потери в результате отвлечения ресурсов на восстановление природных ресурсов, пострадавших от j-го пожара, руб.;

2.5. Потери из-за неиспользования возможностей - часть прибыли, недополученная объектом в результате его простоя и выбытия трудовых ресурсов из производственной деятельности в результате пожара.

Потери из-за неиспользования возможностей вследствие j-го пожара Пн.вj руб.; вычисляют по формуле

                 (119)

где Пп.оj - потери от простоя объекта в результате j-го пожара, руб.;

Пв.трj - потери при выбытии трудовых ресурсов из производственной деятельности в результате j-го пожара, руб.

2.6. Социально-экономические потери - затраты на проведение мероприятий вследствие гибели и травмирования людей на пожаре.

Социально-экономические потери от j-го пожара (Пс.эj), руб., вычисляют по формуле

                    (120)

где Птс.эj - социально-экономические потери от травмирования людей на j пожаре, руб.;

Пгс.эj - социально-экономические потери от гибели людей на j-м пожаре, руб.

Социально-экономические потери от травмирования людей на j-м пожаре (Птс.эj) вычисляют по формуле

       (121)

где Sвj - выплаты пособий по временной нетрудоспособности травмированным на j-м пожаре людям, руб.;

Sи.пj - выплаты пенсий лицам, ставшим инвалидами в результате j-го пожара, руб.;

Sклj - расходы на клиническое лечение лиц, травмированных на j-м пожаре, руб.;

Scк.лj - расходы на санаторно-курортное лечение лиц, травмированных на j-м пожаре, руб.

Социально-экономические потери при гибели людей в результате j-го пожара (Пгс.эj), руб., вычисляют по формуле

                     (122)

где Sпог - выплаты пособий на погребение погибших в результате j-го пожара лиц, руб.;

Sп.кj - выплаты пенсий по случаю потери кормильца в результате j-го пожара, руб.

2.7. Расчет составляющих экономических потерь от пожара

Потери в результате уничтожения j пожаром основных производственных фондов (Пуп.о.фj), руб., вычисляют по формуле

            (123)

где Soi - остаточная стоимость основных фондов i-го вида, руб.×ед-1;

Sп.кj - стоимость материальных ценностей i-го вида, годных для дальнейшего использования, руб.×ед-1;

Sлi - ликвидационная стоимость материальных  ценностей i-го вида, руб.×ед-1;

п - количество видов основных фондов, ед.

2.8. Потери в результате повреждения j-м пожаром основных производственных фондов (Ппп.о.ф), руб., вычисляют по формуле

              (124)

где g - коэффициент, учитывающий повреждение материальных ценностей;

Кэ - удельный вес стоимости конструктивных элементов в общей стоимости материальных ценностей, %.

2.9. Потери в результате уничтожения и повреждения j-м пожаром основных непроизводственных фондов вычисляют следующим образом.

Если по основным непроизводственным фондам начисляются амортизационные отчисления, то потери стоимости при их уничтожении вычисляют по формуле (123), а при повреждении - по формуле (124).

Если по основным непроизводственным фондам не начисляются амортизационные отчисления, то потери стоимости вычисляют по формулам:

при уничтожении

         (125)

при повреждении

(126)

где Sпi - первоначальная стоимость основных фондов i-то вида, руб.×ед-1.

2.10. Потери в результате уничтожения (повреждения) товарно-материальных ценностей (оборотных фондов, материальных ресурсов текущего потребления) j-м пожаром (Пу(п)т.м.ц), руб., вычисляют по формуле

  (127)

где Sт.м.цi - общая стоимость товарно-материальных ценностей i-го вида на момент пожара, руб.;

Sнт.м.цi - стоимость товарно-материальных ценностей i-го вида, оставшихся после пожара, руб.;

Sопт.м.цi - стоимость поврежденных товарно-материальных ценностей i-го вида с учетом их обесценивания, руб.;

2.11. Потери, связанные с уничтожением (повреждением) личного имущества населения j-м пожаром, вычисляют следующим образом:

по застрахованному имуществу на основе данных органов государственного страхования по расчетной сумме потерь, исходя из государственных розничных цен, действующих на момент пожара, за вычетом стоимости износа и остатков, годных к дальнейшему использованию;

по незастрахованному имуществу при отсутствии достоверных данных исходя из средних статистических потерь от пожара.

2.12. Потери в результате отвлечения ресурсов на компенсацию последствий j-го пожара (на восстановление объекта и природных ресурсов после пожара (По.рj), руб., вычисляют по формуле

                     (128)

где Иi - i-e издержки при восстановительных работах, руб.;

Ki - i-e единовременные дополнительные вложения, руб.;

Ен - нормативный коэффициент эффективности капитальных вложений;

m - количество видов затрат на восстановительные работы.

2.13. Потери от простоя объекта в результате j-ro пожара (Пп.оj), руб., вычисляют по формуле

           (129)

где ПЗ.П.Пj - заработная плата и условно-постоянные расходы за время простоя объекта в результате j-го пожара, руб.;

ПН.Пj - прибыль, недополученная за период простоя объекта в результате j-го пожара, руб.;

2.14. Потери при выбытии трудовых ресурсов из производственной деятельности в результате j-го пожара (ПВ.Т.Рj), руб. рассчитывают только для сферы материального производства по формуле

        (130)

где ПВТ.Т.Рj - потери при выбытии трудовых ресурсов из производственной деятельности в результате их травмирования в процессе j-го пожара, руб.;

ПВГ.Т.Рj - потери при выбытии трудовых ресурсов из производственной деятельности в результате их гибели на j-м пожаре, руб.

2.15. Потери при выбытии трудовых ресурсов из производственной деятельности в результате их травмирования в процессе j-го пожара (ПВ.Т.Рj) вычисляют по формуле

                        (131)

где КИ.Д - коэффициент, учитывающий потерю части национального дохода;

ЗДj - заработная плата i-го работника, руб.×дни-1;

ТВ..Тj - продолжительность выбытия из производственной деятельности i-го травмированного, дни;

s - количество травмированных, чел.

2.16. Потери при выбытии трудовых ресурсов из производственной деятельности в результате их гибели на j-м пожаре (ПВ.Т.Рj), руб., вычисляют по формуле

                                    (132)

где Ht - доля национального дохода, недоданная одним работающим, по отраслям народного хозяйства, руб.×дни-1;

TР.Д - потеря рабочих дней в результате гибели одного работающего;

X - количество погибших, чел.

2.17. Социально-экономические потери при травмировании людей под воздействием j-го пожара включают: выплаты пособий по временной нетрудоспособности (без учета выплаты по инвалидности) пострадавшим на j-м пожаре (SBj), руб., вычисляют по формуле

                              (133)

где WВi - значение i-го пособия по временной нетрудоспособности, руб.×дни-1;

ТВi - период выплаты i-го пособия по временной нетрудоспособности, дни;

sВ - количество травмированных (без оформления инвалидности), чел.

2.18. Выплаты пенсий инвалидам, пострадавшим на j-м пожаре (SИj), руб., вычисляют по формуле

                          (134)

где  - значение i пенсии инвалидам i-й группы, руб.×дни-1;

sН - количество травмированных, получивших инвалидность, чел.;

TИi - период выплаты i-й пенсии (пособия) по инвалидности, дни.

2.19. Расходы на клиническое лечение пострадавшим на j-м пожаре (SКЛj), руб., вычисляют по формуле

                   (135)

где SД - средняя стоимость доставки одного пострадавшего в больницу, руб.;

Sб - средние расходы больницы на одного пострадавшего, руб.×дни-1;

Тб - период нахождения в больнице i-го пострадавшего, дни;

sб - количество травмированных, прошедших клиническое лечение, чел.

2.20. Расходы на санаторно-курортное лечение пострадавших на j пожаре (SC.Kj), руб., вычисляют по формуле

               (136)

где Sп.сi - средние расходы на проезд в санаторий i-го пострадавшего, руб.;

Sсi - средние расходы санатория на i-го пострадавшего, руб.;

sc - количество травмированных, прошедших курс лечения в санатории, чел.

2.21. Социально-экономические потери при гибели людей в результате i-го пожара включают: выплаты пособий на погребение погибших на i-м пожаре (Sпоr j), руб., вычисляют по формуле

                         (137)

где Wпоril - значение i-го пособия на погребение l-й группы погибших,

руб./чел-1;

xl - количество погибших l-й группы, чел.

2.22. Выплаты пенсий по случаю потери кормильца на j-м пожаре (Sп.кj), руб., вычисляют по формуле

                   (138)

где Wп.кil - значение i-й пенсии по случаю потери кормильца l-й группы, руб. ×дни-1;

xп.к - количество погибших, имевших кого-либо на иждивении, чел.;

Тп.кi - период выплаты пенсии по случаю потери  кормильца i-й семье погибшего, дни.

3. Расчет ожидаемых экономических потерь от возможного пожара

Прогноз экономических потерь от возможного пожара производится на основе расчета параметров развития пожара на объекте (в здании), а также данных об эффективности элементов и систем обеспечения пожарной безопасности.

Математическое ожидание экономических потерь от пожара (М (П)) вычисляют по формуле

                 (139)

где М (Пн.б) - математическое ожидание потерь от пожара части национального богатства, руб.×год-1;

М (По.р) - математическое ожидание потерь в результате отвлечения ресурсов на компенсацию последствий пожара, руб.×год-1:

М (Пп.о) - математическое ожидание потерь от простоя объекта, обусловленного пожаром, руб.×год-1.

3.1. Математическое ожидание потерь от пожара части национального богатства (М(Пн.б)) вычисляют по формуле

                (140)

где Fп - площадь возможного пожара на объекте, м2;

См.удц - удельная стоимость материальных ценностей, руб.×м-2;

Rу - доля уничтоженных материальных ценностей на площади пожара на объекте;

Сруд - удельная стоимость ремонтных работ, руб×м-2;

Rп - доля поврежденных материальных ценностей на площади пожара на объекте;

Qп - вероятность возникновения пожара в объекте, год-1 (см. приложение 3).

3.2. Математическое ожидание потерь в результате отвлечения ресурсов на компенсацию последствий пожара (М(По.р)) вычисляют по формуле

             (141)

где Иуд - удельные издержки при восстановительных работах, руб.×м-2;

Кзуд - удельные единовременные вложения в здание (сооружение), руб.×м-2,

Коуд - удельные единовременные вложения в оборудование, руб.×м-2.

3.3. Математическое ожидание потерь от обусловленного пожаром простоя объекта (недополученная прибыль) (М(Пп.о)) вычисляют по формуле

               (142)

где Ппр - прибыль объекта, руб.×дни-1;

Тпр - продолжительность простоя объекта, дни.

4. Метод определения площади пожара

Настоящий метод предназначен для определения площади пожара, значение которой необходимо при расчете потерь от пожара на объекте. Расчет площади пожара проводят для горючих и легковоспламеняющихся жидкостей принимается равным площади ее размещения или площади аварийного разлива.

4.1. Площадь пожара при свободном горении твердых горючих и трудногорючих материалов вычисляют:

для помещений с объемом V<400 м3 по формуле

                  (143)

где И - линейная скорость распространения по поверхности материала пожарной нагрузки, м×с-1;

Т - текущее время, с;

F - площадь, занимаемая пожарной нагрузкой м2;

для помещений с объемом V>400 м3 по формуле

             (144)

где ti - время локализации пожара, с;

tн.с.п - продолжительность начальной стадии пожара, с.

4.2. Минимальную продолжительность начальной стадии пожара в помещении определяют в зависимости от объема помещения высоты помещения и количества приведенной пожарной нагрузки (черт. 7, 8).

4.3. Количество приведенной пожарной нагрузки (g) вычисляют по формуле

                              (145)

где gi - количество приведенной пожарной нагрузки, состоящей из i-го горючего и трудногорючего материала.

 H=6,6; 1-g=(2,4-14) кг×м-2 ; 2-g=(67-110) кг×м-2; 3-g=640 кг×м-2 ;

 H=7,2 м; 1-g=(60-66) кг×м-2; 2-g=(82-155) кг×м-2 ; 3-g=200 кг×м-2 ;

H=8м; 1-g=60 кг×м-2 ; 2-g=(140-160) кг×м-2 ; 3-g=(210-250) кг×м-2 ;

 H=4,8; g=(169-70) кг×м-2

Черт. 7

 

1-H=3 м; 2-H=6 м; 3-H=12 м

Черт. 8

Значение (gi) вычисляют по формуле

                                  (146)

где gмi - количество горючего и трудногорючего i-го материала на единицу площади, кг×м-2;

Qрнi - теплота сгорания i-го материала, мДж×кг-1.

4.4. Вычисляют продолжительность начальной стадии пожара по формулам:

для помещений с объемом V£3×103×м3:

  (147)

для помещений с объемом V>3×103×м3:

              (148)

где tпрн.с.п - минимальная продолжительность начальной стадии пожара, с, определяют в соответствии с черт. 7, 8;

yср - средняя скорость потери массы пожарной нагрузки в начальной стадии пожара, кг×м-2×с-1, вычисляют по формуле

                             (149)

где yi - скорость потери массы в начальной стадии пожара i-го материала пожарной нагрузки, кг×м-2×с-2.

Qрн.ср - средняя теплота сгорания пожарной нагрузки, МДж×кг-1, вычисляют по формуле

              (150)

u - линейная скорость распространения пламени, м×с-1.

Допускается в качестве величины и брать максимальное значение для составляющих пожарную нагрузку материалов.

Значения величин yср, Qнр, и для основных горючих материалов приведены в табл. 11, 12.

Таблица 11

Линейная скорость распространения пламени по поверхности материалов

Материал

Линейная скорость распространения пламени по поверхности Х102 м×с-1

1. Угары текстильного производства в разрыхленном состоянии

10

2. Корд

1,7

3. Хлопок разрыхленный

4,2

4. Лен разрыхленный

5,0

5. Хлопок+капрон (3:1)

2,8

6. Древесина в штабелях при влажности, %:

 

8-12

6,7

16-18

3,8

18-20

2,7

20-30

2,0

более 30

l,7

7. Подвешенные ворсистые ткани

6,7-10

8. Текстильные изделия в закрытом складе при загрузке .100 от м-2

0,6

9. Бумага в рулонах в закрытом складе при загрузке 140 от м-2

0,5

10. Синтетический каучук в закрытом складе при загрузке свыше 290 от м-2

0,7

11. Деревянные покрытия цехов большой площади, деревянные стены, отделанные древесноволокнистыми плитами

2,8-5,3

12. Печные ограждающие конструкции с утеплителем из заливочного ППУ

7,5-10

13. Соломенные и камышитовые изделия

6,7

14. Ткани (холст, байка, бязь):

 

по горизонтали

1,3

в вертикальном направлении

30

в направлении, нормальном к поверхности тканей, при расстоянии между ними 0,2 м

4,0

15. Листовой ППУ

5,0

16. Резинотехнические изделия в штабелях

l,7-2

17. Синтетическое покрытие «Скортон» при Т= 180 °С

0,07

18. Торфоплиты в штабелях

1,7

19. Кабель ААШв1х120; АПВГЭЗх35+1х25; АВВГЗх35+1х25:

 

в горизонтальном тоннели сверху вниз при расстоянии между полками 0,2 м

0,3

в горизонтальном направлении

0,33

в вертикальном тоннели в горизонтальном направлении при расстоянии между рядами 0,2-0,4

0,083

 

Таблица 12

Средняя скорость выгорания и низшая теплота сгорания веществ и материалов

Вещества и материалы

Скорость потери массы х103, кг×м-2×с-1

Низшая теплота сгорания, кДж×кг-1

Бензин

61,7

41870

Ацетон

44,0

28890

Диэтиловый спирт

60,0

33500

Бензол

73,3

38520

Дизельное топливо

42,0

48870

Керосин

48,3

43540

Мазут

34,7

39770

Нефть

28,3

41870

Этиловый спирт

33,0

27200

Турбинное масло П-22)

30,0

41870

Изопропиловый спирт

31,3

30145

Изопентан

10,3

45220

Толуол

48,3

41030

Натрий металлический

17,5

10900

Древесина (бруски) 13,7 %

39,3

13800

Древесина (мебель в жилых и административных зданиях 8-10 %)

14,0

13800

Бумага разрыхленная

8,0

13400

Бумага (книги, журналы)

4,2

13400

Книги на деревянных стеллажах

16,7

13400

Кинопленка триацетатная

9,0

18800

Карболитовые изделия

9,5

26900

Каучук CKC

13,0

43890

Каучук натуральный

19,0

44725

Органическое стекло

16,1

27670

Полистирол

14,4

39000

Резина

11,2

33520

Текстолит

6,7

20900

Пенополиуретан

2,8

24300

Волокно штапельное

6,7

13800

Волокно штапельное в кипах 40х40х40 см

22,5

13800

Полиэтилен

10,3

47140

Полипропилен

14,5

45670

Хлопок в тюках 190 кгхм-3

2,4

16750

Хлопок разрыхленный

21,3

15700

Лен разрыхленный

21,3

15700

Хлопок+капрон (3:1)

12,5

16200

 

ПРИЛОЖЕНИЕ 5

Обязательное

МЕТОД ЭКСПЕРИМЕНТАЛЬНОГО ОПРЕДЕЛЕНИЯ ВЕРОЯТНОСТИ ВОЗНИКНОВЕНИЯ ПОЖАРА В (ОТ) ЭЛЕКТРИЧЕСКИХ ИЗДЕЛИЯХ

Настоящий метод распространяется на электротехнические изделия, радиоэлектронную аппаратуру и средства вычислительной техники (электрические изделия) и устанавливает порядок экспериментального определения вероятности возникновения пожара в (от) них.

Параметры и условия испытаний для конкретного изделия должны содержаться в нормативно-технической документации на изделие.

1. Сущность метода

1.1. Метод разработан в соответствии с приложением 3.

1.2. Вероятность возникновения пожара в (от) электрическом (го) изделии(я) является интегральным показателем, учитывающим как надежность (интенсивность отказов) самого изделия и его защитной аппаратуры (тепловой и электрической), так и вероятность загорания (достижения критической температуры) частями изделия, поддерживающими конструкционными материалами или веществами и материалами, находящимися в зоне его радиационного излучения либо в зоне поражения электродугой или разлетающимися раскаленными (горящими) частями (частицами) от изделия.

1.3. Изделие считается удовлетворяющим требования настоящего стандарта, если оно прошло испытание в характерном пожароопасном режиме и вероятность возникновения пожара в нем (от него) не превысит 10-6 в год.

Комплектующие изделия (резисторы, конденсаторы, транзисторы, трансформаторы, клеммные зажимы, реле и т. д.) допускаются к применению, если они отвечают требованиям пожарной безопасности соответствующих нормативно-технических документов и для них определены интенсивности пожароопасных отказов, необходимые для оценки вероятности возникновения пожара в конечном изделии.

1.4. Характерный аварийный пожароопасный режим (далее - характерный пожароопасный режим) электротехнического изделия - это такой режим работы, при котором нарушается соответствие номинальных параметров и нормальных условий эксплуатации изделия или его составных частей, приводящий его к выходу из строя и создающий условия возникновения загорания.

1.5. Характерный пожароопасный режим устанавливают в ходе предварительных испытаний. Он должен быть из числа наиболее опасных в пожарном отношении режимов, которые возникают в эксплуатации и, по возможности, имеют наибольшую вероятность. В дальнейшем выбранный пожароопасный режим указывают в методике испытания на пожарную опасность.

В зависимости от вида и назначения изделия характерные испытательные пожароопасные режимы создают путем:

увеличения силы тока, протекающего через исследуемое электрическое изделие или его составную часть (повышение напряжения, короткое замыкание, перегрузка, двухфазное включение электротехнических устройств трехфазного тока, заклинивание ротора или других подвижных частей электрических машин и аппаратов и др.);

снижения эффективности теплоотвода от нагреваемых электрическим током деталей и поверхностей электрических устройств (закрытие поверхностей горючими материалами с малым коэффициентом теплопроводности, отсутствие жидкости в водоналивных приборах, выключение вентилятора в электрокалориферах и теплоэлектровентиляторах, понижение уровня масла или другой диэлектрической жидкости в маслонаполненных установках, снижение уровня жидкости, используемой в качестве теплоносителя и др.);

увеличения переходного сопротивления (значение падения напряжения, выделяющейся мощности) в контактных соединениях или коммутационных элементах;

повышения коэффициента трения в движущихся (вращающихся) элементах (имитация отсутствия смазки, износ поверхностей и т. п.);

воздействия на детали электроустановок электрических луг (резкое перенапряжение, отсутствие дугогасительных решеток, выход из строя элементов, шунтирующих дугу, круговой огонь коллектора);

сбрасывания раскаленных (горящих) частиц, образующихся при аварийных режимах в электроустановках, на горючие элементы (частиц от оплавления никелевых электродов в лампах накаливания, частиц металлов, образующихся при коротких замыканиях в электропроводках, и т. п.);

расположения горючих материалов в зоне радиационного нагрева, создаваемого электроустановками;

пропускания тока по конструкциям и элементам, которые нормально не обтекаются током, но могут им обтекаться в аварийных условиях;

создания непредусмотренного условиями работы, но возможного в аварийном режиме нагрева за счет электромагнитных полей.

2. Расчет вероятности возникновения пожара от электрического изделия

2.1. Вероятность возникновения пожара в (от) электрических изделий и условия пожаробезопасности (п. 1.3) записывают следующим выражением:

                (151)

где Qп.р - вероятность возникновения характерного пожароопасного режима в составной части изделия (возникновения K3. перегрузки, повышения переходного сопротивления и т. п.), 1/год;

Qп.з - вероятность того, что значение (характерного электротехнического параметра (тока, переходного сопротивления и др.) лежит в диапазоне пожароопасных значений;

Qн.з - вероятность несрабатывания аппарата защиты (электрической, тепловой и т. п.);

Qв - вероятность достижения горючим материалом критической температуры или его воспламенения.

2.2. За положительный исход опыта в данном случае в зависимости от вида электрического изделия принимают: воспламенение, появление дыма, достижение критического значения температуры при нагреве и т. п.

2.3. Вероятность возникновения характерного пожароопасного режима Qп.р, определяют статистически по данным испытательных лабораторий предприятий и изготовителей и эксплуатационных служб.

При наличии соответствующих справочных данных Qп.р может быть определена через общую интенсивность отказов изделия с введением коэффициента, учитывающего долю пожароопасных отказов.

2.4. Вероятность (Qн.з) в общем виде рассчитывается по формуле

    (152)

где Р - вероятность загрубления защиты (устанавливается обследованием или принимается как среднестатистическое значение, имеющее место на объектах, где преимущественно используется изделие);

lэ - эксплуатационная интенсивность отказов аппаратов защиты, 1/ч;

lр - рабочая (аппаратная) интенсивность отказов защиты (определяется no теории надежности технических систем), 1/ч;

lз - интенсивность отказов загрубленной защиты, 1/ч;

t - текущее время работы, ч.

Для аппаратов защиты, находящихся в эксплуатации более 1,5-2 лет, для расчета (Qн.з) может быть использовано упрощенное выражение:

                           (153)

2.5. Характерный пожароопасный режим изделия определяется значением электротехнического параметра, при котором возможно появление признаков его загорания. Например, характерный пожароопасный режим - короткое замыкание (КЗ); характерный электротехнический параметр этого режима - значение тока КЗ. Зажигание изделия возможно только в определенном диапазоне токов КЗ. В общем виде:

                    (154)

где Nп, Nэ - соответственно диапазоны пожароопасных и возможных в эксплуатации значений характерного электротехнического параметра.

В случае использования для оценки зажигательной способности электротехнических факторов их энергетических характеристик - энергии, мощности, плотности теплового потока, температуры и т. п. определяется вероятность того, как часто или как долго значение соответствующего энергетического параметра за определенный промежуток времени (например в течение года) будет превышать его минимальное пожароопасное значение. Нахождение минимальных пожароопасных значений производится в ходе выполнения экспериментальных исследований при определении Qв.

2.6. Вероятность Qв положительного исхода опыта (воспламенения, появления дыма или достижения критической температуры) определяется после проведения лабораторных испытаний в условиях равенства Qп.р=Qн.з=Qп.з=l;

                       (155)

где m - число опытов с положительным исходам;

п - число опытов.

В случае m³0,76 (п-1), принимают Qв=l.

При использовании в качестве критерия положительного исхода опыта достижение горючим материалом критической температуры Qв определяется из формулы

                           (156)

где Qi - безразмерный параметр, значение которого выбирается по табличным данным, в зависимости от безразмерного параметра a в распределении Стьюдента.

                             (157)

где Тк - критическая температура нагрева горючего материала, К;

Тср - среднее арифметическое значение температур в испытаниях в наиболее нагретом месте изделия, К;

s - среднее квадратическое отклонение.

В качестве критической температуры, в зависимости от вида изделия, условий его эксплуатации и возможных источников зажигания может быть принята температура, составляющая в 80 % температуры воспламенения изоляционного (конструкционного) материала.

2.7. Допускается при определении Qв заменять создание характерного пожароопасного режима на использование стандартизованного эквивалентного по тепловому воздействию источника зажигания, т. е. с эквивалентными параметрами, характеризующими воспламеняющую способность (мощность, площадь, периодичность и время воздействия).

ПРИЛОЖЕНИЕ 6

Справочное

ПРИМЕРЫ РАСЧЕТА

1. Рассчитать вероятность возникновения пожара и взрыва в отделении компрессии.

1.1. Данные для расчета

Отделение компрессии этилена расположено в одноэтажном производственном здании размерами в плане 20х12 м и высотой 10 м. Стены здания - кирпичные с ленточным остеклением. Перекрытие - из ребристых железобетонных плит. Освещение цеха - электрическое, отопление - центральное. Цех оборудован аварийной вентиляцией с кратностью воздухообмена (n), равной восьми.

В помещении цеха размещается компрессор, который повышает давление поступающего из магистрального трубопровода этилена с 11×105 до 275×105 Па. Диаметр трубопроводов с этиленом равен 150 мм, температура этилена достигает 130 оC. Здание имеет молниезащиту типа Б.

Нижний концентрационный предел воспламенения этилена (Сн.к.п.в в смеси с воздухом равен 2,75 %, поэтому, в соответствии с СНиП П-90-81: производство по взрывной, взрывопожарной и пожарной опасности относится к категории А, то есть в цехе возможно возникновение как пожара, так и взрыва. По условиям технологического процесса возникновение взрывоопасной концентрации в объеме помещения возможно только в аварийных условиях, поэтому помещение по классификации взрывоопасных зон относится к классу В-1а.

Пожарная опасность отделения компрессии складывается из пожарной опасности компрессорной установки и пожарной опасности помещения. Пожарная опасность компрессора обусловлена опасностью возникновения взрыва этиленовоздушной смеси внутри аппарата.

Пожарная опасность помещения обусловлена опасностью возникновения пожара в цехе, а также опасностью возникновения взрыва этиленовоздушной смеси в объеме цеха при выходе этилена из газовых коммуникаций при аварии.

1.2. Расчет

Возникновение взрыва в компрессоре обусловлено одновременным появлением в цилиндре горючего газа, окислителя и источника зажигания.

По условиям технологического процесса в цилиндре компрессора постоянно обращается этилен, поэтому вероятность появления в компрессоре горючего газа равна единице

Появление окислителя (воздуха) в цилиндре компрессора возможно при заклинивании всасывающего клапана. В этом случае в цилиндре создается разряжение, обуславливающее подсос воздуха через сальниковые уплотнения. Для отключения компрессора при заклинивании всасывающего клапана имеется система контроля давления, которая отключает компрессор через 10 с после заклинивания клапана. Обследование показало, что за год наблюдалось 10 случаев заклинивания клапанов. Тогда вероятность разгерметизации компрессора равна

Анализируемый компрессор в течение года находился в рабочем состоянии 4000 ч, поэтому вероятность его нахождения под разряжением равна

Откуда вероятность подсоса воздуха в компрессор составит значение

Таким образом, вероятность появления в цилиндре компрессора достаточного количества окислителя в соответствии с формулой (44) приложения 3 равна

Откуда вероятность образования горючей среды в цилиндре компреcсора в соответствии с формулой (40) приложения 3 а будет равна

Источником зажигания этиленовоздушной смеси в цилиндре компрессора могут быть только искры механического происхождения, возникающие при разрушении узлов и деталей поршневой группы из-за потери прочности материала или при ослаблении болтовых соединений.

Статистические данные показывают, что за анализируемый период времени наблюдался один случай разрушения деталей поршневой группы, в результате чего в цилиндре компрессора в течение 2 мин наблюдалось искрение. Поэтому вероятность появления в цилиндре компрессора фрикционных искр в соответствии с формулами (42 и 47) приложения 3 равна

Оценим энергию искр, возникающих при разрушении деталей поршневой группы компрессора. Зная, что скорость движения этих деталей составляет 20 м×c-1, а их масса равна 10 кг и более, найдем энергию соударения (Е), Дж, по формуле

Известно, что фрикционные искры твердых сталей при энергиях соударения порядка 1000 Дж поджигают метановоздушные смеси с минимальной энергией зажигания 0,28 мДж.

Минимальная энергия зажигания этиленовоздушной смеси равна 0,12 мДж, а энергия соударения тел значительно превышает 1000 Дж, следовательно:

Тогда вероятность появления в цилиндре компрессора источника зажигания в соответствии с формулой (46) приложения 3 равна

Таким образом, вероятность взрыва этиленовоздушной смеси внутри компрессора будет равна

Наблюдение за производством показало, что трижды за год (m-3) отмечалась разгерметизация коммуникаций с этиленом и газ выходил в объем помещения. Рассчитаем время образования взрывоопасной концентрации в локальном облаке, занимающем 5 % объема цеха.

Режим истечения этилена из трубопровода при разгерметизации фланцевых соединений вычисляют из выражения

где Ратм - атмосферное давление, Па;

Pраб - рабочее давление в трубопроводах с этиленом, Па;

vкр - критическое отношение.

То есть истечение происходит со звуковой скоростью w, равной

Площадь щели F при разгерметизации фланцевого соединения трубопровода диаметром 150мм и толщиной щели 0,5 мм равна

Расход этилена - g через такое отверстие будет равен

Тогда время образования локального взрывоопасного облака, занимающего 5 % объема цеха при работе вентиляции, будет равно

Учитывая, что из всей массы этилена, вышедшего в объем помещения, только 70 % участвуют в образовании локального взрывоопасного облака, время образования этого облака и время его существования после устранения утечки этилена будет равно:.

Время истечения этилена при имевших место авариях за анализируемый период времени было равно 4,5, 5 и 5,5 мин. Тогда общее время существования взрывоопасного облака, занимающего 5 % объема помещения и представляющего опасность при взрыве для целостности строительных конструкций и жизни людей с учетом работы аварийной вентиляции будет равно

Откуда вероятность появления в объеме помещения, достаточного для образования горючей смеси количества этилена, равна

Учитывая, что в объеме помещения постоянно имеется окислитель, получим

Тогда вероятность образования горючей смеси этилена с воздухом в объеме помещения будет равна

Основными источниками зажигания взрывоопасного этиленовоздушного облака в помещении могут быть электроприборы (в случае их несоответствия категории и группе взрывоопасной среды), открытый огонь (при проведении огневых работ), искры от удара (при различных ремонтных работах) и разряд атмосферного электричества.

Пожарно-техническим обследованием отделения компрессии установлено, что пять электросветильников марки ВЗГ в разное время в течение 120, 100, 80, 126 и 135 ч эксплуатировались с нарушением щелевой защиты.

Вероятность нахождения электросветильников в неисправном состоянии равна

Так как температура колбы электролампочки мощностью 150 Вт равна 350 °С, а температура самовоспламенения этилена 540 °С, следовательно, нагретая колба не может быть источником зажигания этиленовоздушной смеси.

Установлено, что за анализируемый период времени в помещении 6 раз проводились газосварочные работы по 6, 8, 10, 4, 3 и 5 ч каждая. Поэтому вероятность появления в помещении открытого огня будет равна

Так как температура пламени газовой горелки и время ее действия значительно превышают температуру воспламенения и время, необходимое для зажигания этиленовоздушной смеси, получаем, что

Ремонтные работы с применением искроопасного инструмента в помещении за анализируемый период времени не проводились.

Вычисляем вероятность появления в помещении разряда атмосферного электричества.

Помещение расположено в местности с пpoдoлжитeлънocтью грозовой деятельности 50 с×год-1, поэтому п=6 км-2×год-1. Отсюда, в соответствии с формулой (5) приложения 3 число ударов молнии в здание равно

Тогда вероятность прямого удара молнии будет равна

Вычисляем вероятность отказа исправной молниезащиты типа Б здания компрессорной по формуле (52) приложения 3

Таким образом, вероятность поражения здания молнией равна

Пожарно-техническим обследованием установлено, что защитное заземление, имеющееся в здании, находится в исправном состоянии, поэтому

Тогда

Учитывая параметры молнии получим

Откуда

Таким образом, вероятность взрыва этиленовоздушной смеси в объеме помещения будет равна:

Рассчитаем вероятность возникновения пожара в помещении компрессорной. Наблюдение за объектом позволило установить, что примерно 255 ч×год-1 в помещении компрессорной, в нарушение правил пожарной безопасности, хранились разнообразные горючие материалы (ветошь, деревянные конструкции, древесные отходы и т.п.), не предусмотренные технологическим регламентом. Поэтому вероятность появления в помещении горючих веществ равна

Откуда вероятность образования в цехе пожароопасной среды равна

Из зафиксированных тепловых источников, которые могут появиться в цехе, источником зажигания для твердых горючих веществ является только открытый огонь и разряды атмосферного электричества. Поэтому вероятность возникновения в отделении компрессии пожара равна

Таким образом, вероятность того, что в отделении компрессии произойдет взрыв либо в самом компрессоре, либо в объеме цеха составит значение

.

Вероятность того, что в компрессорной возникнет пожар или взрыв, равна:

1.3. Заключение

Вероятность возникновения в компрессорной взрыва равна 2,7×10-7 в год, что соответствует одному взрыву в год в 3703704 аналогичных зданиях, а вероятность возникновения в нем или взрыва, или пожара равна 1,9×10-4 в год, т. е. один пожар или взрыв в год в 5263 аналогичных помещениях.

2. Рассчитать вероятность возникновения пожара в резервуаре РВС 20000 НПС «торголи»

2.1. Данные для расчета

В качестве пожароопасного объекта взят резервуар с нефтью объемом 20000 м3. Расчет ведется для нормальной эксплуатации технически исправного резервуара.

Средняя рабочая температура нефти Т=311 К. Нижний и верхний температурные пределы воспламенения нефти равны: Тн.п.в=249 К, Тв.п.в=265 К. Количество оборотов резервуара в год Поб=24 год-1. Время существования горючей среды в резервуаре при откачке за один оборот резервуара tотк=10 ч (исключая длительный простой). Радиус резервуара РВС=2000 R=22,81 м. Высота резервуара Hр==11,9 м. Число ударов молний п=6 км-2×год-1. На резервуаре имеется молниезащита типа Б, поэтому bб=0,95.

Число искроопасных операций при ручном измерении уровня Nз.у=1100 год-1. Вероятность штиля (скорость ветра и£1 м×с-1), Qш (u£1)=0,12. Число включений электрозадвижек Nэ.з=40×год-1. Число искроопасных опера ций при проведении техобслуживания резервуара NТ.О=24 год-1. Нижний и верхний концентрационные пределы воспламенения нефтяных паров Си.к.п.в=0,02 % (по объему), Си.к.п.в=0,1 % (по объему). Производительность, операции наполнения g=0,56 м3×c-1. Рабочая концентрация паров в резервуаре С=0,4 % (по объему). Продолжительность выброса богатой смеси Тбог==5 ч.

2.2. Расчет

Так как на нефтепроводах средняя рабочая температура жидкости (нефти) выше среднемесячной температуры воздуха, то за расчетную температуру поверхностного слоя нефти принимаем .

Из условия задачи видно, что >в.к.п.в, поэтому при неподвижном уровне нефти вероятность образования горючей cмеси внутри резервуара равна нулю QВН (ГС)=0, а при откачке нефти равна

.

Таким образом вероятность образования горючей среды внутри резервуара в течение года будет равна

.

Вычислим число попадании молнии в резервуар то формуле (51) приложения 3

.

Тогда вероятность прямого удара молнии в резервуар в течение года, вычисленная по формуле (49) приложения 3, равна

.

Вычислим вероятность отказа молниезащиты в течение года при исправности молниеотвода по формуле (52) приложения 3.

Таким образом, вероятность поражения молнией резервуара, в соответствии с формулой (48) приложения 3, равна

Обследованием установлено, что имеющееся на резервуаре защитное заземление находится в исправном состоянии, поэтому вероятность вторичного воздействия молнии на резервуар и заноса в него высокого потенциала равна нулю

Появление фрикционных искр в резервуаре возможно только при проведении искроопасных ручных операций при измерении уровня и отборе проб. Поэтому вероятность Qр(ТИ3) в соответствии с формулами (49 и 55) приложения 3 равна

В этой формуле Q(ОП) = 1,52×10-3 - вероятность ошибки оператора, выполняющего операции измерения уровня.

Таким образом, вероятность появления в резервуаре какого-либо теплового источника в соответствии с приложением 3 равна

Полагая, что энергия и время существования этих источников достаточны для воспламенения горючей среды, т. е Qр(B) = l из приложения 3 получим Qр (ИЗ/ГС) = 5,4×10-3.

Тогда вероятность возникновения пожара внутри резервуара в соответствии с формулой (38) приложения 3, равна

Из условия задачи следует, что рабочая концентрация паров в резервуаре выше верхнего концентрационного предела воспламенения, т. е, в резервуаре при неподвижном слое нефти находится негорючая среда. При наполнении резервуара нефтью в его окрестности образуется горючая среда, вероятность выброса которой можно вычислить по формуле (42) приложения 3

Во время тихой погоды (скорость ветра меньше 1 м×с-1) около резервуара образуется взрывоопасная зона, вероятность появления которой равна

Диаметр этой взрывоопасной зоны равен

Определим число ударов молнии во взрывоопасную зону

Тогда вероятность прямого удара молнии в данную зону равна

Так как вероятность отказа молниезащиты Qр(t1) = 5×10-2, то вероятность поражения молнией взрывоопасной зоны равна

Откуда Qв.з(ТИ1)=7×10-3.

Вероятность появления около резервуара фрикционных искр равна

Наряду с фрикционными искрами в окрестностях резервуара возможно появление электрических искр замыкания и размыкания контактов электрозадвижек. Учитывая соответствие пополнения электрозадвижек категории и группе взрывоопасной смеси, вероятность появления электрических искр вычислим по формулам (49 и 54) приложения 3.

Таким образом, вероятность появления около резервуара какого-либо теплового источника в соответствии с приложением 3 составит значение

Полагая, что энергия и время существования этих источников достаточны для зажигания горючей среды, из формулы (49) приложения 3 получим при Qв=1

Тогда вероятность возникновения взрыва в окрестностях резервуара в соответствии с формулой (39) приложения 3 равна

Откуда вероятность возникновения в зоне резервуара либо пожара, либо взрыва составит значение

2.3. Заключение

Вероятность возникновения в зоне резервуара пожара или взрыва составляет 2,0×10-4, что соответствует одному пожару или взрыву в год в массиве из 3448 резервуаров, работающих в условиях, аналогичных расчетному.

3. Определить вероятность воздействия ОФП на людей при пожаре в проектируемой 15-этажной гостинице при различных вариантах системы противопожарной защиты.

3.1. Данные для расчета

В здании предполагается устройство вентиляционной системы противодымной защиты (ПДЗ) с вероятностью эффективного срабатывания R1=0,95 и системы оповещения людей о пожаре(ОЛП) с вероятностью эффективного срабатывания R2=0,95. Продолжительность пребывания отдельного человека в объекте в среднем 18 ч×сут-1 независимо от времени года. Статистическая вероятность возникновения пожара в аналогичных объектах в год равна 4×10-4. В качестве расчетной ситуации принимаем случай возникновения пожара на первом этаже. Этаж здания рассматриваем как одно помещение. Ширина поэтажного коридора 1,5 м, расстояние от наиболее удаленного помещения этажа до выхода в лестничную клетку 40 м, через один выход эвакуируются 50 человек, ширина выхода 1,21 м. Нормативную вероятность Qнв принимаем равной 1×10-6, вероятность Рдв, равной 1×10-3.

3.2. Расчет

Оценку уровня безопасности определяем для людей, находящихся на 15-м этаже гостиницы (наиболее удаленном от выхода в безопасную зону) при наличии систем ПДЗ и ОЛП. Так как здание оборудовано вентиляционной системой ПДЗ, его лестничные клетки считаем незадымляемыми. Вероятность Qв вычисляем по формуле (33) приложения 2

.

Учитывая, что отдельный человек находится в гостинице 18 ч, то вероятность его присутствия в здании при пожаре принимаем  равной отношению . С учетом этого окончательно значение будет равно 0,75×10-6, что меньше Qнв. Условие формулы (2) приложения 2 выполняется, поэтому безопасность людей в здании на случай возникновения пожара обеспечена. Рассмотрим вариант компоновки противопожарной защиты без системы оповещения. При этом время блокирования эвакуационных путей tбл на этаже пожара принимаем равным 1 мин в соответствии с требованиями строительных норм и правил проектирования зданий и сооружений. Расчетное время эвакуации tр, определенное в соответствии с теми же нормами, равно 0,47 мин. Время начала эвакуации tн.э, принимаем равным 2 мин. Вероятность эвакуации Pэ.п для этажа пожара вычисляем по формуле (5) приложения 2.

.

Вероятность Qв вычисляем по формуле (3) приложения 2.

Поскольку Qв>Qнв, то условие безопасности для людей по формуле (2) приложения 2 на этаже пожара не отвечает требуемому, - и, следовательно, в рассматриваемом объекте не выполняется при отсутствии системы оповещения.

4. Определить категорию и класс взрывоопасной зоны помещения, в котором размещается технологический процесс с использованием ацетона.

4.1. Данные для расчета

Ацетон находится в аппарате с максимальным объемом заполнения Vаи, равным 0,07 м3, и в центре помещения над уровнем пола. Длина L1 напорного и обводящего трубопроводов диаметром d 0,05. м равна соответственно 3 и 10м. Производительность q насоса 0,01 м×мин-1. Отключение насоса автоматическое. Объем Vл помещения составляет 10000 м3 (48х24х8,7). Основные строительные конструкции здания железобетонные, и предельно допустимый прирост давления  для них составляет 25 кПа. Кратность А аварийной вентиляции равна 10 ч-1.

Скорость воздушного потока и в помещении при работе аварийной вентиляции равна 1,0 м×с-1. Температура ацетона равна температуре воздуха и составляет 293 К. Плотность r ацетона 792 кг×м-3.

4.2. Расчет

Объем ацетона м3, вышедшего из трубопроводов, составляет

где t - время автоматического отключения насоса, равное 2 мин.

Объем поступившего ацетона, м3, в помещение

.

Площадь разлива ацетона принимаем равной 116 м2.

Скорость испарения (Wисп), кг×с-1×м, равна

Масса паров ацетона (Мп), кг, образующихся при аварийном разливе равна

Следовательно, принимаем, что весь разлившийся ацетон, кг, за время аварийной ситуации, равное 3600 с, испарится в объем помещения, т. е.

Стехиометрическая концентрация паров ацетона при b=4 равна

Концентрация насыщенных паров получается равной

Отношение Сн/(1,9×Сст)>1, следовательно, принимаем Z=0,3.

Свободный объем помещения, м3

Время испарения, ч, составит

.

Коэффициент получается равным

Максимально возможная масса ацетона, кг

Поскольку mп(91,9 кг)<mmax(249,8 кг), то помещение в целом относится к невзрывопожароопасным.

Расстояния Xн.к.п.в, Yн.к.п.в и Zн.к.п.в составляют при уровне значимости Q=5×10-2

где

4.3. Заключение

Таким образом, взрывобезопасные расстояния составляют соответственно Rб>7,85 м и Zб>3 м.

Взрывоопасная зона с размерами Rб£7,85 м и Zб£3 м относится к классу В-1а. Схематически взрывоопасная зона изображена на черт. 9.

1 - помещение; 2 - аппарат; 3 - взрывоопасная зона

Черт. 9

5. Определить категорию производства, в котором находится участок обработки зерна и циклон для определения зерновой пыли в системе вентиляции.

5.1. Данные для расчета

Масса зерновой пыли, скапливающейся в циклоне mа, составляет 20000 г. Производительность циклона q по пыли составляет 100 г×мин-1. Время t автоматического отключения циклона не более 2 мин. Свободный объем помещения Vсв, равен 10000 м3. Остальные исходные данные: mx=500 г; b1=1; п=14; Kу=0,6; Кл=1; Кв.з=1; Q=16700 кДж×кг-1; То=300 К; Ср=1,0 кДж×кг-1; То=300 К; Cр=l,0 кДж×кг-1; rв=1,29 кг×м-3; Рдоп=25 кПа; Ро=101 кПа; Z=1,0.

5.2. Расчет

Масса отложившейся пыли к моменту очередной уборки г, составит

Расчетная масса пыли, г, участвующей в образовании взрывоопасной смеси, равна

Максимально возможную массу горючей пыли, кг, вычисляем по формуле

5.3. Заключение

Значение mр не превышает mmax, следовательно, помещение не относится к взрывопожароопасным.

6. Рассчитать вероятность возникновения пожара от емкостного пускорегулирующего аппарата (ПРА) для люминесцентных ламп на W=40 Вт и U=220 В.

6.1. Данные для расчета приведены в табл. 13.

В результате испытаний получено:

Таблица 13

Температура оболочки в наиболее нагретом месте при работе в аномальных режимах, К

Параметр

Длительный пусковой режим

Режим с короткозамкнутым конденсатором

Длительный пусковой режим с короткозамкнутым конденсатором

Т

375

380

430

s

6,80

5,16

7,38

6.2. Расчет

Расчет возникновения пожара от ПРА ведем по приложению 5, ПРА является составной частью изделия с наличием вокруг него горючего материала (компаунд, клеммная колодка); произведение вероятностей Q(ПРQ(НЗ) обозначим через Q(аi); тогда из приложения 5 можно записать

где Qа - нормативная вероятность возникновения пожара при воспламенении аппарата, равная 10-6;

Q(B) - вероятность воспламенения аппарата или выброса из него пламени при температуре поверхности ПРА (в наиболее нагретом месте), равной или превышающей критическую;

Q(аi) - вероятность работы аппарата в i-м (пожароопасном) режиме;

Qi(Ti) - вероятность достижения поверхностью аппарата (в наиболее нагретом месте) критической (пожароопасной) температуры, которая равна температуре воспламенения (самовоспламенения) изоляционного материала;

k - число пожароопасных аномальных режимов работы, характерное для конкретного исполнения ПРА.

Для оценки пожарной опасности проводим испытание на десяти образцах ПРА. За температуру в наиболее нагретом месте принимаем среднее арифметическое значение температур в испытаниях

Дополнительно определяет среднее квадратическое отклонение

Вероятность (Q(Ti)) вычисляем по формуле (156) приложения 5

где Qi - безразмерный параметр, значение которого выбирается по табличным данным, в зависимости от безразмерного параметра ai, в распределении Стьюдента.

Вычисляем (ai) по формуле

где Tк - критическая температура.

Значение (Тк) применительно для ПРА вычисляем по формуле

где Tдj, Tвj - температура ; j-го аппарата (в наиболее нагретом месте), соответственно, при появлении первого дыма и при «выходе» аппарата из строя (прекращении тока в цепи).

Значение Q(B) вычисляем по формуле (155) приложения 5 при п=10.

Значение критической температуры (Tк) составило 442,1 К, при этом из десяти испытуемых аппаратов у двух был зафиксирован выброс пламени (m=1 Q(B)=0,36).

Результаты расчета указаны в табл. 14.

Таблица 14

Параметр

Длительный пусковой режим (i=1)

Режим с короткозамкнутым конденсатором (i=2)

Длительный пусковой режим с короткозамкнутым конденсатором (i=3)

 

0,06

0,1

0,006

 

30,9

37,8

4,967

 

1

1

0,99967

 

0

0

0,00033

6.3. Заключение

Таким образом, расчетная вероятность возникновения пожара от ПРА равна Qп=l (0,06×0+0,l×0+0,006×0,00033)×0,36=7,1×10-7, что меньше 1×10-6,. т. е. ПРА пожаробезопасен.

 

ПРИЛОЖЕНИЕ 7

Справочное

ТРЕБОВАНИЯ ПОЖАРНОЙ БЕЗОПАСНОСТИ ПО СОВМЕСТНОМУ ХРАНЕНИЮ ВЕЩЕСТВ И МАТЕРИАЛОВ

Требования предназначаются для всех предприятий, организаций и объектов независимо от их ведомственной подчиненности, имеющих склады или базы для хранения веществ и материалов.

Требования не распространяются на взрывчатые и радиоактивные вещества и материалы, которые должны храниться и перевозиться по специальным правилам.

Ведомственные документы, регламентирующие пожарную безопасность при хранении веществ и материалов, должны быть приведены в соответствии с настоящими Требованиями.

1. ОБЩИЕ ПОЛОЖЕНИЯ

1.1. Возможность совместного хранения веществ и материалов определяется на основании количественного учета показателей пожарной опасности, токсичности, химической активности, а также однородности средств пожаротушения.

1.2. В зависимости от сочетания свойств, перечисленных в п. 1.1, вещества и материалы могут быть совместимыми или несовместимыми друг с другом при хранении.

1.3. Несовместимыми называются такие вещества и материалы, которые при хранении совместно (без учета защитных свойств тары или упаковки);

увеличивают пожарную опасность каждого из рассматриваемых материалов и веществ в отдельности;

вызывают дополнительные трудности при тушении пожара;

усугубляют экологическую обстановку при пожаре (по сравнению с пожаром отдельных веществ и материалов, взятых в соответствующем количестве);

вступают в реакцию взаимодействия друг с другом с образованием опасных веществ.

1.4. По потенциальной опасности вызывать пожар, усиливать опасные факторы пожара, отравлять среду обитания (воздух, воду, почву, флору, фауну и т. д.), воздействовать на человека через кожу, слизистые оболочки дыхательных путей путем непосредственного контакта или на расстоянии как при нормальных условиях, так и при пожаре, вещества и материалы делятся на разряды:

безопасные;

малоопасные;

опасные;

особоопасные.

В зависимости от разряда вещества и материала назначаются условия его хранения (см. п. 1.5-1.9).

1.5. К безопасным относят негорючие вещества и материалы в негорючей упаковке, которые в условиях пожара не выделяют опасных (горючих, ядовитых, едких) продуктов разложения или окисления, не образуют взрывчатых или пожароопасных, ядовитых, едких, экзотермических смесей с другими веществами.

Безопасные вещества и материалы следует хранить в помещениях или на площадках любого типа (если это не противоречит техническим условиям на вещество) .

1.6. К малоопасным относят такие горючие и трудногорючие вещества и материалы, которые не относятся к безопасным (п. 1.5) и на которые не распространяются требования ГОСТ 19433.

Малоопасные вещества разделяют на следующие группы:

а) жидкие вещества с температурой вспышки более 90 °С;

б) твердые вещества и материалы, воспламеняющиеся от действия газовой горелки в течение 120 с и более;

в) вещества и материалы, которые в условиях специальных испытаний способны самонагреваться до температуры ниже 150 оС за время более 24 ч при температуре окружающей среды 140 °С;

г) вещества и материалы, которые при взаимодействии с водой выделяю воспламеняющиеся газы с интенсивностью менее 0,5 дм3 кг-1×ч-1;

д) вещества и материалы ядовитые со среднесмертельной дозой при введении в желудок более 500 мг×кг-1 (если они жидкие) или более 2000 мг×м-1 (если они твердые) или со среднесмертельной дозой при нанесении на кожу более 2500 мг×кг-1 или со среднесмертельной дозой при вдыхании более 20 мг×дм-3;

е) вещества и материалы слабые едкие и (или) коррозионные со следующими показателями: время контакта, в течение которого возникает видимый некроз кожной ткани животных (белых крыс) более 24 ч, скорость коррозии стальной (Ст3) и алюминиевой (А6) поверхности менее 1 мм в год.

1.7. К малоопасным относятся также негорючие вещества и материалы по п. 1.6 в горючей упаковке.

Малоопасные вещества и материалы допускается хранить в помещениях всех степеней огнестойкости (кроме V степени).

1.8. К опасным относятся горючие и негорючие вещества и материалы, обладающие свойствами, проявление которых может привести к взрыву, пожару, гибели, травмированию, отравлению, облучению, заболеванию людей и животных, повреждению сооружений, транспортных средств. Опасные свойства могут проявляться как при нормальных условиях, так и при аварийных, как у веществ в чистом виде, так и при взаимодействии их с веществами и материалами других категорий по ГОСТ 19433.

Опасные вещества и материалы необходимо хранить в складах I и II степени огнестойкости.

1.9. К особоопасным относятся такие опасные (см. п. 1.8) вещества и материалы, которые несовместимы с веществами и материалами одной с ними категории по ГОСТ 19433.

Особоопасные вещества и материалы необходимо хранить в складах I и II степени огнестойкости преимущественно в отдельно стоящих зданиях.

2. УСЛОВИЯ СОВМЕСТНОГО ХРАНЕНИЯ ВЕЩЕСТВ И МАТЕРИАЛОВ

2.1. Вещества и материалы, относящиеся к разряду особоопасных, при хранении необходимо располагать так, как указано в табл. 15.

2.2. Вещества и материалы, относящиеся к разряду опасных, при хранении необходимо располагать так, как указано в табл. 16.

2.3. В порядке исключения допускается хранение особоопасных и опасных веществ и материалов в одном складе. При этом их необходимо располагать так, как указано в табл. 17.

2.4. В одном помещении склада запрещается хранить вещества и материалы, имеющие неоднородные средства пожаротушения.

 

ПРИЛОЖЕНИЕ 8

МЕТОД ОПРЕДЕЛЕНИЯ БЕЗОПАСНОЙ ПЛОЩАДИ РАЗГЕРМЕТИЗАЦИИ ОБОРУДОВАНИЯ

Настоящий метод предназначен для определения безопасной площади разгерметизации (такая площадь сбросного сечения предохранительного устройства, вскрытие которой в процессе сгорания смеси внутри оборудования, например, аппарата, позволяет сохранить последний от разрушения или деформации) технологического оборудования, в котором обращаются, перерабатываются или получаются горючие газы, жидкости, способные создавать с воздухом или друг с другом взрывоопасные смеси, сгорающие ламинарно или турбулентно во фронтальном режиме. Разгерметизация - наиболее распространенный способ пожаровзрывозащиты технологического оборудования, заключающийся в оснащении его предохранительными мембранами и (или) другими разгерметизирующими устройствами с такой площадью сбросного сечения, которая достаточна для того, чтобы предотвратить разрушение оборудования от взрыва и исключить последующее поступление всей массы горючего вещества в окружающее пространство, т. е. вторичный пожар.

Метод не распространяется на системы, склонные к детонации или объемному самовоспламенению.

1. СУЩНОСТЬ МЕТОДА

Безопасную площадь разгерметизации определяют по расчетным формулам на основе данных о параметрах технологического оборудования, условиях ведения процесса и показателях пожаровзрывоопасности веществ.

Метод устанавливает зависимость безопасной площади разгерметизации от объема и максимально допустимого давления внутри него, давления и температуры технологической среды, термодинамических и термокинетических параметров горючей смеси, условий истечения, степени турбулизации.

2. ФОРМУЛЫ ДЛЯ РАСЧЕТА БЕЗОПАСНОЙ ПЛОЩАДИ РАЗГЕРМЕТИЗАЦИИ

2.1. Безопасную площадь разгерметизации технологического оборудования с газопаровыми смесями определяют по следующим безразмерным критериальным соотношениям:

                              (158)

для оборудования, рассчитанного на максимальное относительное давление взрыва  (при одновременном выполнении условия  в знаменателе формулы (158) сомножитель  отсутствует), и

                           (159)

для оборудования, выдерживающего давление взрыва в диапазоне относительных значений .

В формулах (158) и (159) приняты следующие обозначения (индексы i, u, e, m относятся соответственно к начальным параметрам, параметрам горючей смеси, характеристикам горения в замкнутом сосуде, максимальным допустимым значениям). Комплекс подобия

               (160)

т. е. представляет собой с точностью до постоянного множителя произведение двух отношений - эффективной площади разгерметизации к внутренней поверхности сферического сосуда равного объема и скорости звука в исходной смеси к начальной нормальной скорости пламени. В выражении для комплекса подобия W (160):

 - число «пи»;

 - коэффициент расхода при истечении свежей смеси и (или) продуктов сгорания через устройство взрыворазрежения (предохранительная мембрана, клапан, разгерметизатор и т. п.);

F - площадь разгерметизации (сбросного сечения), м2;

V - .максимальный внутренний объем сосуда, в котором возможно образование горючей газопаровой смеси, м3;

R = 8314 Дж×кмоль-1K-1 - универсальная газовая постоянная;

Tui - температура горючей смеси. К;

Мi - .молекулярная масса горючей смеси, кг×кмоль-1;

Sui - нормальная скорость распространения пламени при начальных значениях давления и температуры горючей смеси, м×с-1.

Другие обозначения в формулах (158) и (159):

 - относительное максимально допустимое давление в аппарате, которое не приводит к его деформации и (или) разрушению;

Pm - абсолютное максимально допустимое давление внутри аппарата, которое не приводит к его деформации и (или) разрушению, Па;

Pi - абсолютное начальное давление горючей смеси в аппарате, при котором происходит инициирование горения, Па;

Р' - абсолютное давление в пространстве, в котором происходит истечение, в момент достижения максимального давления взрыва внутри аппарата (атмосфера, буферная емкость и т. п.), Па;

 - относительное максимальное давление взрыва данной горючей смеси в замкнутом сосуде;

Ре - абсолютное максимальное давление взрыва данной горючей смеси в замкнутом сосуде при начальном давлении смеси Рi, Па;

Ei - коэффициент расширения продуктов сгорания смеси при начальных значениях давления и температуры;

 - фактор турбулизации, представляющий собой в соответствии с принципом Гуи-Михельсона отношение действительной поверхности фронта пламени в аппарате к поверхности сферы, в которую можно собрать продукты сгорания, находящиеся в данный момент времени внутри сосуда.

2.2. Формулы (158) и (159) могут быть использованы как для определения безопасной площади разгерметизации при .проектировании оборудования по максимально допустимому относительному давлению взрыва в аппарате  (прямая задача), так и для определения максимально допустимого начального давления горючей смеси Рi в аппарате, рассчитанном на максимальное давление Рm, с уже имеющимся сбросным люком площадью F, например при анализе аварий (обратная задача).

2.3. Формулы (158) и (159) охватывают весь диапазон возможных давлений взрыва в оборудовании с различной степенью негерметичности .

2.4. Формулы (158) и (159) записаны в безразмерных независимых переменных, вытекающих из условия автомодельности процесса развития взрыва в негерметичном сосуде, что делает их более универсальными и наглядными. Максимальное давление взрыва в негерметичном сосуде является инвариантом решения системы уравнений динамики развития взрыва при постоянном отношении фактора турбулизации  к комплексу подобия W.

Погрешность определения диаметра сбросного сечения по инженерным формулам (158), (159) в сравнении с точным компьютерным решением системы дифференциальных уравнений динамики развития взрыва составляет около 10 %.

3. СТЕПЕНЬ ВЛИЯНИЯ РАЗЛИЧНЫХ ПАРАМЕТРОВ НА БЕЗОПАСНУЮ ПЛОЩАДЬ РАЗГЕРМЕТИЗАЦИИ

3.1. В настоящем методе реализован единый подход к расчету площади сбросного сечения, заключающийся в учете влияния различных параметров и условий на величину безопасной площади разгерметизации посредством соответствующего изменения значения фактора турбулизации.

3.2. Фактор турбулизации - основной параметр, оказывающий определяющее влияние на величину безопасной площади разгерметизации,

Погрешность определения термодинамических параметров - Еi, pe, , где  - показатель адиабаты продуктов сгорания смеси, входящих в расчетные формулы (158) и (159), составляет проценты, погрешность определения коэффициента расхода m, молекулярной массы горючей смеси и нормальной скорости распространения пламени составляет десятки процентов. Ошибка в выборе значений объема аппарата, температуры и давления смеси также не превышает процентов или десятков процентов. Погрешность же в определении значения фактора турбулизации может составлять сотни процентов.

3.3. Расчет безопасной площади разгерметизации проводят для наиболее взрывоопасных (околостехиометрических) смесей, если не доказана невозможность их образования внутри аппарата.

4. ЗАВИСИМОСТЬ ФАКТОРА ТУРБУЛИЗАЦИИ ОТ УСЛОВИЙ РАЗВИТИЯ ВЗРЫВА

4.1. Зависимость фактора турбулизации от условий развития горения может быть представлена формулой

       (161)

в которой эмпирические коэффициенты a1, a2, a3, a4 определяют по табл. 15.

Таблица 15

Эмпирические коэффициенты для расчета фактора турбулизации*

Условия развития горения**

эмпирические коэффициенты

a1

a2

a3

a4

Объем сосуда V до 10 м3; степень негерметичности F/V2/3 до 0,25

0,15

4

1

0

Объем сосуда V до 200 м3,:

 

 

 

 

начально открытые сбросные сечения

0

0

2

0

начально закрытые сбросные сечения

0

0

8

0

Объем сосуда V до 200м3, :

 

 

 

 

начально открытые сбросные сечения

0

0

0,8

1,2

начально закрытые сбросные сечения

0

0

2

6

Объем сосуда V до 10 м3; степень негерметичности F/V2/3 до 0,04; наличие сбросного трубопровода, :

 

 

 

 

без орошения истекающих газов

0

0

4

0

с орошением истекающих газов

0,15

4

1

0

_______________

* Для отсутствующих в таблице условий развития горения, например для оборудования объемом более 200 м3, значение фактора турбулизации определяют экспортно.

** Если в условиях развития горения значение какого-либо параметра не оговорено, то оно может быть любым в допустимом диапазоне.

 

4.2. Влияние объема аппарата

Для полых аппаратов объемом менее 1 м3 значение фактора турбулизации c =1¸2.

С ростом объема аппарата значение фактора турбулизации увеличивается и для полых аппаратов объемом около 10 м3 c=2,5¸5 в зависимости от степени негерметичности (отношение F/V2/3) аппарата.

Для сосудов объемом до 200 м3 различной формы с незначительными встроенными внутрь элементами значение фактора турбулизации не превышает c=8.

4.3. Влияние формы аппарата

Для технологического оборудования с отношением длины к диаметру до 5:1 можно считать, что форма аппарата не влияет на значение фактора турбулизации, так как увеличение поверхности пламени из-за его вытягивания во форме аппарата компенсируется уменьшением поверхности в результате более раннего касания пламенем стенок сосуда.

4.4. Влияние начальной герметизации аппарата

Для полых аппаратов объемом до 200 м3 с начально открытыми сбросными сечениями, например люками, значение фактора турбулизации не превышает c=2, для аппаратов с начально закрытыми сбросными сечениями (мембраны, разгерметизаторы и т. д.) не превышает c=8.

4.5. Влияние степени негерметичности аппарата F/V2/3

Увеличение степени негерметичности F/V2/3 в 10 раз (от 0,025 до 0,25), что равнозначно увеличению площади разгерметизации в 10 раз для одного и того же аппарата, приводит к возрастанию фактора турбулизации в 2 раза (для аппаратов объемом около 10 м3 с c=2,5 до c=5).

4.6. Влияние максимально допустимого давления взрыва в аппарате (коррелирует с влиянием давления разгерметизации)

При увеличении относительного максимально допустимого давления взрыва внутри оборудования (прочности оборудования) в диапазоне 1<pm£2 значение фактора турбулизации не изменяется. С ростом относительного максимально допустимого давления взрыва выше pm>2 ( до pm=pe) для начально открытых сбросных сечений значение фактора турбулизации снижается с 2 до 0,8, для начально закрытых - с 8 до 2. Этот результат согласуется с физическими представлениями о том, что при большем значении давления взрыва, которое выдерживает аппарат, меньше площадь сбросного сечения, а следовательно, фронт пламени подвергается меньшему возмущающему воздействию.

4.7. Влияние условий истечения

Если истечение горючей смеси и продуктов сгорания осуществляется через сбросный трубопровод, расположенный за разгерметизирующим элементом и имеющий диаметр, приблизительно равный диаметру сбросного отверстия, то значение фактора турбулизации вне зависимости от объема сосуда (до 15 м3) принимают c=4 (для сосудов со степенью негерметичности F/V2/3 около 0,015¸0,035, когда оснащение сосудов сбросным трубопроводом оправдано по соображениям разумного соотношения характерных размеров сосуда и трубопровода) при условии pm<2.

При оснащении системы разгерметизации оросителем или другим аналогичным устройством, установленным в трубопроводе непосредственно за разгерметизатором для подачи хладагента в истекающую из аппарата смесь, значение фактора турбулизации принимают таким же, как при истечении непосредственно из аппарата в атмосферу. Эффект интенсификации горения в сосуде при cбpoce газов через трубопровод исчезает при увеличении давления разгерметизации до 0,2 МПа при начальном давлении 0,1 МПа.

4.8. Влияние условий разгерметизации

«Мгновенное» вскрытие сбросного сечения повышает вероятность возникновения вибрационного горения внутри аппарата. Амплитуда в акустической волне вибрационного горения может достигать значений ±0,1 МПа. Перемешивание смеси, например вентилятором, в процессе развития взрыва приводит к уменьшению амплитуды колебаний давления.

Плавное вскрытие сбросного отверстия, например с помощью малоинерционных крышек, снижает значение фактора турбулизации. В тех случаях, когда время срабатывания разгерметизирующего устройства соизмеримо с временем горения смеси в сосуде, при определении безопасной площади разгерметизации необходимо учитывать динамику вскрытия сбросного отверстия.

4.9. Влияние препятствий и турбулизаторов

Вопрос о влиянии различных препятствий на пути распространения пламени и турбулентности в смеси перед фронтом пламени является одним из определяющих в выборе значения фактора турбулизации. Наиболее правильным методом определения значения фактора турбулизации при наличии внутри аппарата сложных препятствий и турбулизованной смеси можно считать метод, основанный на сравнении расчетной и экспериментальной динамики (зависимость давление - время) взрыва.

Ускорение пламени на специальных препятствиях достигает значений c»15 и более уже в сосудах объемом около 10 м3.

Для углеводородовоздушных смесей турбулентное распространение пламени с автономной генерацией турбулентности внутри зоны горения характеризуется максимальным значением фактора турбулизации c=3¸4.

При искусственно создаваемой изотропной турбулентности максимальное значение фактора турбулизации при точечном зажигании не превышает c=4¸6. Дальнейшее увеличение степени изотропной турбулентности приводит к гашению пламени.

Для сосудов со встроенными и подвижными элементами, влияние которых на значение фактора турбулизации не может быть в настоящее время оценено, например с использованием литературных данных или экспертным методом, выбор фактора турбулизации должен быть ограничен снизу значением c=8.

4.10. Коэффициент расхода m

Коэффициент расхода m является эмпирическим коэффициентом, учитывающим влияние реальных условий истечения на величину расхода газа, определенную по известным теоретическим модельным соотношениям.

Для предохранительных мембран и разгерметизирующих устройств с непосредственным сбросом продукта взрыва в атмосферу, как правило, m=0,6¸1. При наличии сбросных трубопроводов m=0,4¸1 (включая случай с подачей хладагента в трубопровод непосредственно за мембраной).

Значение коэффициента расхода возрастает в указанном диапазоне с увеличением скорости истечения и температуры истекающего газа, с ростам фактора турбулизации.

Произведение коэффициента расхода на площадь разгерметизации mF представляет собой эффективную площадь разгерметизации.

4.11. Аналог принципа Ле Шателье-Брауна

Согласно критериальному соотношению (158)  относительное избыточное давление взрыва

~                 (162)

Теоретические и экспериментальные исследования процесса сгорания газа в негерметичном сосуде позволили установить аналог принципа Ле Шателье-Брауна: газодинамика горения газа в негерметичном сосуде реагирует на внешнее изменение условий протекания процесса в том направлении, при котором эффект внешнего воздействия ослабляется. Так, увеличение с целью снизить давление взрыва площади разгерметизации F в 10 раз в сосуде объемом порядка 10 м3 сопровождается увеличением фактора турбулизации c в 2 раза. Физическое объяснение наблюдаемого явления достаточно простое: с увеличением площади разгерметизации возрастает возмущающее воздействие на фронт пламени.

Избыточное давление взрыва коррелирует согласно критериальному соотношению (162) с отношением (c/m)2, а не просто c. Уменьшение размера ячейки турбулизирующей решетки, приводящее к возрастанию фактора турбулизации в 1,75 раза (с 8 до 14), сопровождается существенно меньшим увеличением отношения c/m - лишь в 1,1 раза. Сказанное необходимо учитывать при значениях фактора турбулизации c³5.

5. ОПРЕДЕЛЕНИЕ НОРМАЛЬНОЙ СКОРОСТИ РАСПРОСТРАНЕНИЯ ПЛАМЕНИ И ТЕРМОДИНАМИЧЕСКИХ ПАРАМЕТРОВ

5.1. Нормальная скорость характеризует реакционную способность горючих газовых смесей при фронтальных режимах горения. Наиболее перспективным является экспериментально-расчетный метод оптимизации, позволяющий oпpедeлять нормальную скорость в бомбе постоянного объема в широком диапазоне температур и давлений. Метод изложен в ГОСТ 12.1.044.

Входящее в критериальные соотношения (158) и (159) в составе комплекса W значение нормальной скорости распространения пламени Sui при давлении и температуре, соответствующих началу развития взрыва, может быть определено экспериментально на аттестованном оборудовании или взято из научно-технической литературы, прошедшей оценку достоверности приведенных в ней данных. Если данные о нормальной скорости при характерных для технологического процесса давлении Р и температуре Т отсутствуют, то в ограниченном диапазоне экстраполяции можно воспользоваться для оценки формулой

                      (163)

где Suo - известное значение нормальной скорости при давлении Рo и температуре Тo,

n и m - соответственно барический и температурный показатели.

В диапазоне давлений 0,04¸1,00 МПа и температур 293¸500 К для стехиометрических смесей метана, пропана, гексана, гептана, ацетона, изопропанола и бензола с воздухом значение барического показателя с ростом давления и температуры свежей смеси увеличивается и лежит в интервале - 0,5¸0,2, а значение температурного показателя уменьшается и находится в диапазоне 3,1¸0,6. При значениях давления и температуры, близких к атмосферным, значения барического и температурного показателя для горючих газопаровоздушных смесей могут быть приняты в первом приближении соответственно п=-0,5 и m=2,0.

5.2. Термодинамические параметры Еi, pe, gb определяют путем термодинамического расчета, например на компьютерах, по известным методикам.

Значение коэффициента расширения по определению

где Tbi и Mbi - соответственно температура и молекулярная масса продуктов сгорания горючей смеси при начальных давлении и температуре. Молекулярную массу смеси идеальных газов определяют по формуле

                        (164)

где Mj и nj - соответственно молекулярная масса и молярная доля j-го компонента смеси.

Значения коэффициента расширения могут быть также определены из приближенного уравнения

                     (165)

В табл. 16 приведены рассчитанные на компьютере значения термодинамических параметров для некоторых стехиометрических газопаровых смесей в предположении, что продукты сгорания состоят из следующих 19 компонентов в газовой фазе: Н2, Н2O, CO2, N2, Аr, С, Н, О, N, CO, СН4, HCN, 02, O3, ОН, NO, NO2, NH3, HNO3. Стехиометрическую концентрацию горючего jcт в воздухе средней влажности определяли по известной формуле

                (166)

где b - стехиометрический коэффициент, равный количеству молекул кислорода, необходимых для сгорания молекулы горючего.

 

Таблица 16

Результаты расчета значений pе, gb, Еi, Тbi и экспериментальные значения нормальной скорости Su для некоторых стехиометрических газопаровых смесей при начальном давлении 0,1 МПа и температуре 298,15 К

Горючее

Формула

jст, % об.

pе

gb

Ei

Тbi

Su, м×с-1

Метан

СН4

9,355

8,71

1,25

7,44

2204

0,305

Пропан

C3H8

3,964

9,23

1,25

7,90

2245

0,32

н-Гексан

С6Н14

2,126

9,38

1,25

8,03

2252

0,29

н-Гептан

С7Н16

1,842

9,40

1,25

8,05

2253

0,295

Ацетон

C3H6O

4,907

9,28

1,25

7,96

2242

0,315

Изопропанол

C3H8O

4,386

9,34

1,24

8,00

2220

0,295

Бензол

C6H6

2,679

9,30

1,25

7,99

2321

0,36

Для многокомпонентных смесей и смесей, проведение расчетов по которым по тем или иным причинам вызывает трудности, определение максимального относительного давления взрыва pе, а следовательно, и коэффициента расширения Ei по формуле (165) проводят по соответствующей методике ГОСТ 12.1.044.

6. ВЛИЯНИЕ СБРОСНЫХ ТРУБОПРОВОДОВ

6.1. Сбросные трубопроводы используются для отвода продуктов горения в безопасное место, например в приемную буферную емкость или за территорию цеха, что позволяет существенно снизить вероятность возникновения внутри производственных помещений вторичных пожаров и взрывов, ущерб от которых значительно выше, чем потери от первичных взрывов.

6.2. Наличие сбросного трубопровода может приводить к значительному (на порядок) увеличению избыточного давления взрыва в сравнении со случаем разгерметизации аппарата непосредственно в атмосферу. Характерное значение фактора турбулизации при использовании сбросного трубопровода с диаметром, равным диаметру предохранительной мембраны, и без орошения истекающих газов хладагентом c=4 вне зависимости от объема защищаемого полого оборудования с нетурбулизованной cмесью.

Прочностные характеристики сбросного трубопровода должны быть не ниже соответствующих характеристик защищаемого аппарата.

6.3. При проектировании систем сброса газообразных продуктов в случае взрыва газопаровых смесей внутри технологического оборудования необходимо принимать во внимание возможность интенсивного догорания эвакуируемой смеси в сбросном трубопроводе, являющегося причиной турбулизации горения внутри защищаемого объема.

Наилучший способ ликвидировать эффект увеличения давления взрыва при наличии в системе противовзрывной защиты технологического оборудования методом разгерметизации сбросного трубопровода - подача хладагента с интенсивностью (0,1¸0,5) 10-2 м3×м-2×с-1 в поперечное сечение трубопровода непосредственно за мембраной до ее срабатывания или одновременно с ним. При наличии орошения в трубопроводе и использовании приемной емкости, находящейся под разрешением, длина трубопровода (по результатам экспериментов до 30 м) не оказывает заметного влияния на максимальное давление взрыва.

Увеличение давления разгерметизации до ~0,2 МПа (при начальном давлении технологической среды 0,1 МПа) также приводит к исчезновению эффекта интенсификации взрыва.

Увеличение диаметра сбросного трубопровода относительно диаметра сбросного сечения способствует снижению воздействия данного эффекта интенсификации взрыва.

7. ПРИМЕРЫ РАСЧЕТОВ

Пример 1. Полый технологический аппарат объемом 12 м3 рассчитан на максимальное избыточное давление 0,2 МПа (абсолютное давление 0,3 МПа) и предназначен для работы при атмосферном давлении с содержащей ацетон реакционной массой. Аппарат имеет рубашку обогрева (80 °С). Необходимо определить безопасную площадь разгерметизации.

Нормальная скорость распространения пламени наиболее опасной околостехиометрической ацетоно-воздушной смеси при атмосферном давлении и температуре (298 К) составляет 0,32 м×с-1. Следовательно, при температуре в аппарате 80 °С (353 К) максимальное значение нормальной скорости распространения пламени в соответствии с формулой (163)

Для стехиометрической ацетоно-воздушной смеси pе=9,28; Еi=7,96; Мi=(58x0,05+28х0,95) кг×кмoль-1=29,5 кг×кмоль-1. Поскольку pm=0,3 МПа/0,1 МПа=3 превышает значение 2, то для вычисления безопасной площади разгерметизации воспользуемся критериальным соотношением (159). Выражение для комплекса подобия W в соответствии с формулой (160) и определенными значениями Sui и Mi может быть записано в виде

где F намеряют в м2.

Следовательно, критериальное соотношение (159) относительно F можно записать в виде

С увеличением степени негерметичности сосуда объемом около 10 м3 F/V2/3 от 0,025 до 0,25 значение фактора турбулизации возрастает от 2,5 до 5. Предположим, что c=2,5 при m=1. При этом минимальная площадь разгерметизации F=0,175 м2, а значит F/V2/3=0,03. Последнее подтверждает, что значение фактора турбулизации выбрано правильно. Действительно, если бы мы предположили, что c=5, то получили бы слишком низкое для такой степени турбулизации значение F/V2/3=0,06 (вместо 0,25). Итак, безопасная площадь разгерметизации составляет в данном случае 0,175 м2, что равнозначно сбросному отверстию диметром 0,47 м.

Пример 2. Сосуд объемом 4 м3 без встроенных внутрь элементов для хранения бензола, рассчитанный на максимальное абсолютное давление 0,2 МПа, необходимо оснастить надежной системой сброса давления взрыва с отводом продуктов взрыва по трубопроводу в безопасное место.

Для бензоло-воздушной смеси стехиометрического состава при атмосферных условиях Sui=0,36 м×c-1; Ei=7,99; Мi=(78х0,027+28х0,973) кг×кмоль-1=29,35 кг×кмоль-1. Для систем разгерметизации со сбросным трубопроводам без орошения истекающих продуктов хладагентом вне зависимости от объема сосуда c=4. Так как pm=0,2 МПа/1 МПа=2, то расчет площади разгерметизации проводим по критериальному соотношению (158). Выбрав в качестве значения коэффициента расхода m=0,4, получаем выражение

т. е. диаметр сбросного трубопровода должен составлять около 0,7 м, что слишком много для сосуда, эквивалентный диаметр которого (диаметр сферы объемом 4 м3) 1,97м.

Поэтому система сброса давления, включая трубопровод, должна быть снабжена системой орошения. При этом может быть принято c=1,5, а значит, как нетрудно вычислить, диаметр сбросного трубопровода будет равен 0,4 м, что вполне приемлемо для данного сосуда, рассчитанного на достаточно низкое давление.

Пример 3. Реактор вместимостью 6 м3, в котором возможно образование изопропаноло-воздушной стехиометрической смеси при давлении 0,2 МПа, содержит сложные вращающиеся детали. Требуется определить безопасную площадь разгерметизации при условии, что реактор рассчитан на избыточное давление 0,4 МПа (абсолютное давление 0,5 МПа).

Так как pm=0,5 МПа/0,2 МПа=2,5 больше 2, то расчет ведем по формуле (159). Для стехиометрической изопропаноло-воздушной смеси Mi=(60x0,044+28х0,956) кг×кмоль-1=29,4 кг×кмоль-1; Sui=0,295(0,2/0,1)-0,5=0,21 м×с-1; pе=9,3; Еi=8.0. Поскольку влияние встроенных деталей на турбулизацию однозначно неизвестно и объем реактора относительно невелик, выбираем значение c=8. При значении коэффициента расхода m=l имеем

Отсюда нетрудно вычислить, что диаметр предохранительной мембраны должен быть равен 0,5 м.

Пример 4 (обратная задача). В лабораторном сосуде объемом 0,01 м3, рассчитанном на давление 2,0 МПа и имеющем сбросное отверстие для установки предохранительной мембраны диаметром 2,5 см, проводят исследования по определению нормальных скоростей распространения пламени для стехиометрических метано-воздушных смесей при различных давлениях. Требуется определить, до какого максимального начального давления можно подавать в сосуд горючую смесь, чтобы после ее воспламенения в центре сосуда давление взрыва не превысило допустимого давления 2,0 МПа.

Так как с ростом давления нормальная скорость падает, то с некоторым запасом в качестве Sui выбираем значение 0,305 м×с-1, полученное для атмосферного давления. Для стехиометрической метано-воздушной смеси Mi=(16х0,094+20х0,906) кг×кмоль-1=26,9 кг×кмоль-1; Еi=7,4; pe=8,7. Значения фактора турбулизации и коэффициента расхода могут быть приняты соответственно c=1 и m=0,8.

Искомое значение начального давления взрыва в сосуде входит в значение pm=Pm/Pi, причем Pm=2,0 МПа в соответствии с условиями задачи. Записанное относительно pm критериальное соотношение (159) принимает вид

а следовательно, максимально допустимое начальное давление горючей смеси в сосуде

т. е. не должно превышать 0,6 МПа».

(Введено дополнительно, Изм. № 1).

ИНФОРМАЦИОННЫЕ ДАННЫЕ

1. РАЗРАБОТАН Министерством внутренних дел СССР, Министерством химической промышленности СССР

РАЗРАБОТЧИКИ

А. К. Микеев, канд. эконом. наук; Д. И. Юрченко; В. М. Гаврилей, канд. техн. наук; А. С. Турков; А. Я. Корольченко, д-р техн.наук; Г. И. Смелков, д-р техн. наук; А. Н. Баратов, д-р техн. наук; И. С. Молчадский, канд. техн. наук; А. В. Матюшин, канд. техн. наук; В. Н. Есин, канд. техн. наук; С. А. Никонов, канд. техн. наук; В. Н. Тарасов; А. Н. Кухто, канд. техн. наук; В. Н. Тимошенко, канд. техн. наук; Ю.С. Зотов, канд. техн. наук; А. К. Бурканов, канд. эконом. наук; Э. Г. Сон; А. В. Герасимов; М. С. Васильев; И. П. Сафронов; В. Н. Парамонов; Н. В. Белкин; Е. Ф. Захарова; Г. Т. Земский, канд. хим. наук; В. Н.,Битюцкий, канд. техн. наук;B. И. Горшков, д-р техн. наук

2. УТВЕРЖДЕН И ВВЕДЕН В ДЕЙСТВИЕ Постановлением Государственного комитета СССР по управлению качеством продукции и стандартам от 14.06.91 № 875

3. ВЗАМЕН ГОСТ 12.1.004-85

4. ССЫЛОЧНЫЕ НОРМАТИВНО-ТЕХНИЧЕСКИЕ ДОКУМЕНТЫ

Обозначение НТД, на который дана ссылка

Номер пункта, подпункта, раздела, приложения

ГОСТ 2.106-68

Приложение 3

ГОСТ 2.118-73

Приложение 3

ГОСТ 2.119-73

Приложение 3

ГОСТ 2.120-73

Приложение 3

ГОСТ 12.0.003-74

1.3

ГОСТ 12.1.010-76

1.5

ГОСТ 12.1.011-78

2.3

ГОСТ 12.1.018-93

2.3

ГОСТ 12.1.033-81

Приложение 1

ГОСТ 12.4.009-83

Разд. 4

ГОСТ 15.001-88

Приложение 3

ГОСТ 19433-88

Приложение 7

СТ СЭВ 383-87

Приложение 1

5. ПЕРЕИЗДАНИЕ (январь 1996 г.) с Изменением № 1, утвержденным в октябре 1993 г. (ИУС 1-95)



Содержание

1. Общие положения

2. Требования к способам обеспечения пожарной безопасности системы предотвращения пожара

3. Требования к способам обеспечения пожарной безопасности системы противопожарной защиты

4. Организационно-технические мероприятия по обеспечению пожарной безопасности

Приложение 1 Обязательное. Термины, применяемые в настоящем стандарте, и их пояснения

Приложение 2 Обязательное. Метод определения уровня обеспечения пожарной безопасности людей

Приложение 3 Обязательное. Метод определения вероятности возникновения пожара (взрыва) в пожаровзрывоопасном объекте

Приложение 4 Справочное. Метод оценки экономической эффективности систем пожарной безопасности

Приложение 5 Обязательное. Метод экспериментального определения вероятности возникновения пожара в (ОТ) электрических изделиях

Приложение 6 Справочное. Примеры расчета

Приложение 7 Справочное. Требования пожарной безопасности по совместному хранению веществ и материалов

Приложение 8. Метод определения безопасной площади разгерметизации оборудования




Rambler's Top100 Яндекс цитирования
  Copyright © 2008-2026, www.docload.ru