Бесплатная библиотека стандартов и нормативов www.docload.ru

Все документы, размещенные на этом сайте, не являются их официальным изданием и предназначены исключительно для ознакомительных целей.
Электронные копии этих документов могут распространяться без всяких ограничений. Вы можете размещать информацию с этого сайта на любом другом сайте.
Это некоммерческий сайт и здесь не продаются документы. Вы можете скачать их абсолютно бесплатно!
Содержимое сайта не нарушает чьих-либо авторских прав! Человек имеет право на информацию!

 

Государственный Стандарт Союза ССР

Техника пожарная
Мотопомпы

Приемка и методы испытаний

ГОСТ 8554-89

Государственный Стандарт Союза ССР

Техника пожарная

Мотопомпы

Приемка и методы испытаний

Fire equipment. Motor-pumps.
Acceptance and test methods

ГОСТ
8554-89

Дата введения 01.01.92

Настоящий стандарт распространяется на переносные и прицепные пожарные мотопомпы, предназначенные для подачи воды и растворов пенообразователя при тушении пожаров, и устанавливает методы испытаний и требования к приемке.

Термины, используемые в стандарте, и их пояснения приведены в приложении.

1. Виды испытаний

1.1. Для пожарных мотопомп устанавливают следующие виды испытаний: приемочные, предъявительские, приемосдаточные, периодические, типовые, испытания на надежность (определительные и контрольные).

Определение видов испытаний - по ГОСТ 16504.

1.2. Содержание испытаний в зависимости от их вида приведено в табл. 1. Испытания проводят по программам и методикам, утвержденным в установленном порядке.

1.3. Отбор установленного количества мотопомп для испытаний (пп. 1.7; 1.8; 1.9; 1.10; 1.11) проводят со склада готовой продукции из числа мотопомп, изготовленных в контролируемом периоде, выдержавших приемосдаточные испытания.

Отбор изделий оформляется актом.

Дополнительная подготовка мотопомп для испытаний, не предусмотренная технологией изготовления или инструкцией по эксплуатации, не допускается.

1.4. Приемочные испытания

1.4.1. Опытные образцы (опытная партия) мотопомп подвергают приемочным испытаниям.

Таблица 1

Содержание испытаний

Виды испытаний

приемочные

предъявительские

приемосдаточные

периодические

типовые

испытания на надежность (определительные и контрольные)

1. Обкатка:

 

 

 

 

 

 

предварительная (частичная)

-

+

-

-

-

-

полная

+

-

-

+

±

+

2. Внешний осмотр

+

+

+

+

+

+

3. Определение характеристик насоса:

 

 

 

 

 

 

напорной

+.

-

-

±

±

-

энергетической

+

-

-

±

±

-

кавитационной

+

-

-

-

±

-

4. Определение рабочей характеристики

+

-

-

+

±

+

5. Проверка массы, габаритных размеров

+

-

-

+

±

-

6. Проверка показателей надежности и эксплуатационной технологичности:

 

 

 

 

 

 

установленная безотказная наработка

+

-

-

-

±

+

установленный ресурс до первого капитального ремонта

±

-

-

-

±

+

средняя суммарная оперативная трудоемкость технического обслуживания

+

-

-

-

±

+

коэффициент оперативной готовности

+

-

-

-

±

+

средняя суммарная оперативная трудоемкость текущего ремонта за 100 ч работы

+

-

-

-

±

+

7. Проверка эргономических показателей:

 

 

 

 

 

 

уровень звука в рабочей зоне оператора

+

-

-

+*

±

-

соответствие изделия антропометрическим данным человека

+

-

-

+*

±

-

усилие, прикладываемое к органам управления

+

-

-

+*

±

-

8. Проверка времени непрерывной работы

+

-

-

+

±

+

9. Проверка параметров номинального режима

+

±

±

+

±

+

10. Проверка параметров при работе с наибольшей геометрической высоты всасывания

+

-

-

+

±

+

11. Проверка вакуумной системы:

+

-

-

±

+

+

на время заполнения насоса с наибольшей геометрической высоты всасывания

+

 

 

 

+

+

проверка на “сухой” вакуум и герметичность насосной установки

+

+

+

+

±

-

12. Проверка системы дозирования пенообразователя

+

±

±

+

±

+

13. Проверка предельного давления

+

±

±

+

±

+

14. Проверка мощности двигателя

+

-

-

-

±

-

15. Климатические испытания

+

-

-

±

±

-

16. Проверка на транспортабельность

+

-

-

±

±

-

17. Проверка на соответствие требованиям техники безопасности

+

-

-

±

+

-

* Проводят один раз в три года.

Примечания:

1. Приемочные испытания устанавливают только для опытных образцов.

2. Проверка параметров по п. 9 при предъявительских и приемосдаточных испытаниях для мотопомп, приводные двигатели которых не позволяют выходить на номинальный режим без проведения полной обкатки, следует проводить на режимах, установленных в НТД.

3. Проверку параметров по п. 11 при предъявительских и приемосдаточных испытаниях проводят в соответствии с п. 3.12.

1.4.2. Испытаниям подвергают все опытные образцы мотопомп. По пп. 6 и 15 табл. 1 испытывают по одному образцу, если иное не предусмотрено ПМ (программа и методика) или ТЗ (техническое задание) на разработку.

1.5. Предъявительские испытания

1.5.1. Предъявительским испытаниям подлежит каждая мотопомпа.

1.6. Приемосдаточные испытания

1.6.1. Приемосдаточным испытаниям подлежит каждая мотопомпа, прошедшая предъявительские испытания.

1.7. Периодические испытания

1.7.1. Периодические испытания проводят два раза в год (в летнее и зимнее время). Испытаниям подвергают по две мотопомпы из числа прошедших приемосдаточные испытания.

1.8. Типовые испытания

1.8.1. Типовые испытания проводят при внесении в конструкцию или технологию изготовления мотопомп изменений, которые могут повлиять на показатели назначения и качества, с целью определения эффективности и целесообразности внесенных изменений.

1.8.2. Типовым испытаниям подвергают не менее двух мотопомп.

1.9. Испытания на надежность (определительные и контрольные)

1.9.1. Оценку соответствия пожарных мотопомп заданным требованиям по надежности проводят по результатам определительных (для опытных образцов и установочной партии) или контрольных (для серийных изделий) испытаний.

1.9.2. Предельное состояние, критерии отказов, а также их классификацию устанавливают в соответствии с НТД.

1.9.3. При оценке и контроле конкретных показателей надежности не учитывают следующие отказы, зафиксированные при испытаниях:

вызванные воздействием внешних факторов, не предусмотренных в нормативно-технической документации, на мотопомпы;

вызванные нарушением обслуживающим персоналом инструкции по эксплуатации, техническому обслуживанию и ремонту.

2. Средства измерений и контроля

2.1. Общие положения

2.1.1. Все средства измерений и контроля должны иметь действующие аттестаты, клейма или свидетельства и применяться в условиях, регламентированных в эксплуатационной документации на них.

2.1.2. При испытаниях допускается применять методы и средства измерений, не оговоренные в настоящем стандарте, при условии обеспечения ими требуемой точности измерений.

2.1.3. Средства измерений при испытаниях мотопомп должны выбираться так, чтобы относительные предельные погрешности приведенных результатов испытаний на номинальном режиме не превышали значений, указанных в табл. 2.

Методы расчета относительных предельных погрешностей результатов испытаний по относительным предельным погрешностям отдельных измерений должны соответствовать ГОСТ 6134.

Таблица 2

Измеряемые параметры

Предельное значение относительной погрешности, %

приемочные, периодические, типовые

предъявительские, приемосдаточные, испытания на надежность

стендовые

натурные

стендовые

натурные

Давление

±1,5

±2,5

±1,5

±2,5

Подача

±2,0

±3,2

±2,5

±3,2

Частота вращения

±0,5

±1,0

±1,0

±1,0

Мощность

±1,5

-

±3,0

-

Примечание: При испытаниях двигателей мотопомп средства измерений выбирают в соответствии с НТД на их испытания. Обеспечение указанной точности должно подтверждаться соответствующими метрологическими расчетами.

2.2. Измерение давления

2.2.1. При испытаниях давление должно измеряться на прямом участке трубопровода на расстоянии не менее двух диаметров от напорного и всасывающего патрубков насоса мотопомп по ГОСТ 6134 (черт. 1).

Допускается измерять давление на местах, предусмотренных конструкцией насоса.

2.2.2. Соединительные линии между местами измерения давления и измерительными приборами должны иметь внутренний диаметр не менее 3 мм и заполнены водой, для чего непосредственно перед приборами устанавливают проливочные трехходовые краны.

2.2.3. Для снижения колебаний давление при измерении перед измерительными приборами устанавливают демпфирирующие устройства.

2.2.4. Приборы для измерения давления должны выбираться так, чтобы на номинальном режиме значение давления находилось в средней трети шкалы измерительного прибора.

2.3. Измерение подачи

2.3.1. Подача насоса мотопомпы должна измеряться на выходе из насоса около мест отбора воды, идущей на другие нужды (охлаждение, работа дозирующего устройства).

Примечание. При испытаниях насоса мотопомп на стенде по ГОСТ 6134 отбор воды на дополнительные нужды (охлаждение, работа дозирующего устройства) должен быть исключен.

2.3.2. Измерение подачи должно проводиться с помощью устройств или приборов, непосредственно определяющих расход жидкости. Допускается измерять подачу оттарированными мерными насадками или объемным способом, с помощью оттарированного мерного бака.

В зависимости от конструкции мотопомпы измерение подачи должно осуществляться от всех имеющихся напорных патрубков насоса.

2.4. Измерение частоты вращения

2.4.1. Частоту вращения следует измерять с помощью приборов или устройств, непосредственно измеряющих частоту вращения (тахометр, строботахометр) или число оборотов вала за определенное время с последующим пересчетом на частоту вращения.

2.5. Измерение мощности

2.5.1. Мощность должна измеряться отдельно на валу насоса и приводного двигателя. При определении мощности должны измеряться крутящий момент на валу и частота его вращения.

2.5.2. Мощность приводного двигателя, поставляемого в качестве комплектующего изделия, не определяют.

2.5.3. При определении мощности путем измерения электрической мощности приводящего электродвигателя следует использовав зависимость КПД от мощности для данного электродвигателя.

2.6. Определение массы

2.6.1. Массу мотопомп определяют взвешиванием. Погрешность измерений должна быть не более 2%.

2.7. Измерение линейных размеров

2.7.1. Измерение габаритных размеров мотопомп следует проводить с точностью до 5 мм.

2.7.2. Измерение геометрической высоты всасывания следует проводить с точностью до 100 мм.

2.8. Измерение времени

2.8.1. Время следует измерять механическим или электронным секундомером. Класс точности не ниже 2.

2.9. Измерение температуры

2.9.1. Температуру измеряют с помощью датчика температуры или термометром.

2.9.2. Измерение температуры проводят с точностью, не превышающей ±1 К.

2.9.3. Измерение температуры элементов мотопомпы должно проводиться в местах наиболее высоких температур.

2.10. Определение плотности и давления насыщенных паров воды

2.10.1. Плотность и давление насыщенных паров воды определяют по температуре воды, справочным таблицам и графикам.

3. Проведение испытаний

3.1. Общие положения

3.1.1. Испытания мотопомп проводят при температуре перекачиваемой воды от 278 до 308 К.

3.1.2. Забор воды осуществляют из специального открытого резервуара или естественного водоисточника (водоема). Колебание уровня воды не более 100 мм.

3.1.3. Испытательное оборудование (стенды, устройства), используемое при проведении испытаний, должно быть аттестовано.

3.2. Внешний осмотр

3.2.1. При внешнем осмотре проверяют качество изготовления, крепление сборочных единиц и деталей, качество лакокрасочных и других покрытий, наличие и правильность обозначений и маркировки, а также комплектность изделий.

3.3. Обкатка

3.3.1. При обкатке проверяют работоспособность мотопомп без количественных измерений параметров.

При необходимости осуществляют контроль за значением давления и подачи на выходе из насоса и температурным режимом работы приводного двигателя.

3.3.2. Режимы и продолжительность предварительной (частичной) и полной обкатки устанавливают в нормативно-технической документации.

3.4. Определение характеристик насоса

3.4.1. Характеристики определяют на стенде в соответствии с ГОСТ 6134.

3.5. Определение рабочей характеристики мотопомпы

3.5.1. Испытания по определению рабочей характеристики мотопомпы проводят по схеме черт. 1.

3.5.2. Рабочую характеристику мотопомпы определяют с номинальной и наибольшей геометрической высоты всасывания при номинальной частоте вращения в соответствии с графиком черт. 2.

3.5.3. При снятии характеристик количество подач, при которых проводят измерения, должно быть не менее 10 при равномерном распределении по всему диапазону.

1 - устройство для измерения подачи; 2 - напорная задвижка; 3 - прибор для измерения давления; 4 - тахометр; 5 - приводной двигатель мотопомпы; 6 - насос мотопомпы; 7 - всасывающая линия; 8 - всасывающая сетка

Черт. 1

В каждой точке измеряют и фиксируют:

- давление на входе в насос;

- давление на выходе из насоса;

- подачу насоса;

- частоту вращения.

При испытаниях контролируют барометрическое давление.

3.5.4. Снятие характеристики начинают при нулевой подаче с последующим ее увеличением до значения, при котором давление на выходе из насоса будет меньше 0,3 МПа, после чего для отключения двигателя уменьшают подачу до нулевого значения.

Q, л.c -1

Черт. 2

3.6. Проверка массы и габаритных размеров

3.6.1. Массу и габаритные размеры определяют в соответствии с требованиями пп. 2.6; 2.7.

3.7. Проверка показателей надежности и эксплуатационной технологичности

3.7.1. Испытания опытных образцов

3.7.1.1. При испытаниях определяют (контролируют) следующие показатели надежности и эксплуатационной технологичности:

- установленную безотказную наработку (УБН);

- установленный ресурс до первого капитального ремонта (УР);

- среднюю суммарную оперативную трудоемкость технического обслуживания (Sто2);

- среднюю суммарную оперативную трудоемкость текущего ремонта за 100 ч работы (Sтр);

- коэффициент оперативной готовности (Ког).

3.7.1.2. Перед началом испытаний и после их окончания рабочие поверхности и отдельные детали мотопомп должны быть подвергнуты микрометрированию для определения наиболее изнашиваемых элементов. Места измерений должны быть указаны в программе испытаний.

3.7.1.3. Испытания проводят при заборе воды из открытого (искусственного или естественного) водоисточника с присутствием взвешенных частиц в перекачиваемой воде. Геометрическая высота всасывания при испытаниях должна быть в пределах hг.ном ±0,2 м.

3.7.1.4. При проведении испытаний определяют и фиксирую концентрацию взвешенных частиц грунта в перекачиваемой вод методом отбора проб.

3.7.1.5. При проверке показателей УБН и УР испытания про водят последовательно циклам и повторяющимися этапами, со стоящими из нескольких циклов (табл. 3).

Таблица 3

Тип мотопомпы

Этап испытания

Номер цикла испытания

1

2

3

4

5

6

7

8

9

10

Режим испытания {bmc 8554R3.BMP} (л·с-1·м-1)

МП-3,5/60

3,5

3,5

3,5

-

-

-

-

-

-

-

 

40

50

60

 

 

 

 

 

 

 

МП-7/60

3.5

3,5

3,5

7,0

7,0

7,0

-

-

-

-

 

40

50

60

40

50

60

 

 

 

 

МП-13/80

3,5

3,5

7,0

7,0

10,5

10,5

13,0

13,0

-

-

 

60

80

60

80

60

80

60

80

 

 

МП-00/100

3,5

7,0

10,5

14,0

17,5

21,0

24,5

28,0

28,0

30,0

 

60

60

70

70

80

90

90

90

100

100

3.7.1.6. Каждый цикл включает в себя запуск двигателя, забор воды, работу мотопомпы в течение часа в режиме, указанном в табл. 3, включение двигателя, слив воды из всасывающих рукавов путем открывания клапана всасывающей сетки.

3.7.1.7. По завершении первого цикла испытаний все операции повторяют и проводят испытания в режимах, соответственно, второго и последующих циклов, которые в совокупности составляют этап испытаний, после чего цикличность испытаний повторяется до значения УБН и УР.

3.7.1.8. Допускают следующие отклонения параметров, характеристик от значений, приведенных в табл. 3.

Q - подачи ±0,5 л·с-1;

Н - напора ±5,0 м.

3.7.1.9. В начале и в конце испытаний, а также через каждые 0,25 продолжительности УБН, УР проводят испытания в соответствии с требованиями пп. 3.10, 3.12, 3.13, а, кроме того, на основании трехкратного измерения, осуществляют контроль концентрации взвешенных частиц грунта в перекачиваемой воде (п. 3.7.1.5).

3.7.1.10. При испытаниях мотопомп, оборудованных системой дозирования пенообразователя, предусматривают работу систем в каждом этапе в течение 10 мин, на каждом режиме работы дозатора в цикле, режим которого обеспечивают параметры пенных стволов.

3.7.1.11. Решение о соответствии мотопомп установленным нормам УБН и УР принимают при положительных результатах испытаний (всех образцов), решение о несоответствии - при наличии хотя бы одного отрицательного результата.

3.7.1.12. Допускается засчитывать в общую продолжительность испытаний по определению УБН и УР время полной обкатки при совпадении режимов циклов согласно табл. 3.

3.7.1.13. Среднюю суммарную оперативную трудоемкость технического обслуживания № 2 (Sтo2, чел.-ч) и среднюю суммарную оперативную трудоемкость текущих ремонтов за 100 ч работы мотопомп (sтр, чел.-ч) определяют по формулам:

где STP и SТО2 - соответственно суммарная оперативная трудоемкость текущих ремонтов и суммарная оперативная трудоемкость технического обслуживания № 2 (Т02) i-й мотопомпы, чел.-ч;

Li - наработка i-й мотопомпы, ч;

N - количество испытываемых мотопомп;

т - количество проведенных технических обслуживаний № 2 Т02 на мотопомпах.

3.7.1.14. Коэффициент оперативной готовности (Ко.г) в течение одного часа боевого использования мотопомпы определяют по формуле

Ко.г.(t = 1 ч) = Р(t = 1 ч)·Кг                                                   (3)

где Р - вероятность безотказной работы в течение одного часа боевого использования;

Кг - коэффициент готовности.

При контроле вероятности безотказной работы используют результаты испытаний по определению установленной безотказной наработки и установленного ресурса.

Вероятность безотказной работы (P(t=1ч)) определяют по формуле

,                                            (4)

где N - количество испытуемых мотопомп;

Hi - количество отработанных циклов i-й мотопомпы, ч;

ni- количество неотработанных циклов i-й мотопомпы (один неотработанный цикл соответствует одному отказу i-й мотопомпы).

Коэффициент готовности r ) определяют расчетным путем по формуле

                                                           (5)

где Тоi=Tиспi-M1·tТО1-M2·tТО2-SТРi - суммарное время пребывания i-й мотопомпы в работоспособном состоянии, ч;

Тиспi - календарная продолжительность испытаний, ч;

Трабi=Tиспi-M1·tТО1-M2·tТО2 - продолжительность испытаний (эксплуатации) i-й мотопомпы, ч;

M1 и М2 - число обслуживаний соответственно № 1 (ТО1) и № 2 (ТО2) мотопомпы за время испытаний;

tто1 и tто2 - продолжительность нахождения мотопомпы на техническом обслуживании соответственно № 1 (ТО1) и№ 2 (ТО2),ч;

SТРi - суммарное время простоя мотопомпы за время испытаний (эксплуатации) для проведения текущего ремонта, ч.

3.7.2. Испытание серийных мотопомп

3.7.2.1. Количество мотопомп для контрольных испытаний должно быть не менее указанных в табл. 4.

Таблица 4

Годовой объем выпуска

Количество испытываемых мотопомп

Число отказавших мотопомп

Менее 1000

7

10

0

1

Более 1000

до 2000

10

17

0

1

Более 2000

16

29

0

1

Примечание: Допускается, по согласованию с заказчиком (потребителем), подвергать испытаниям одну мотопомпу, а недостающую информацию по другим образцам, предварительно отобранным по п. 1.3 и зарегистрированным, - получать при подконтрольной эксплуатации.

3.7.2.2. Периодичность испытаний, в зависимости от контролируемых показателей, должна быть не реже одного раза в три года или не реже одного раза в шесть лет.

При испытаниях, проводимых один раз в три года, контролируют:

- установленную безотказную наработку;

- коэффициент оперативной готовности.

При испытаниях, проводимых один раз в шесть лет, контролируют:

- установленный ресурс до первого капитального ремонта;

- среднюю суммарную оперативную трудоемкость технического обслуживания (ТО2);

- среднюю суммарную оперативную трудоемкость текущих ремонтов мотопомпы за 100 ч работы.

3.7.2.3. Контроль указанных показателей проводить в соответствии с п. 3.7.

3.7.2.4. Полный срок службы мотопомпы проверяют при подконтрольной эксплуатации у потребителя путем сбора и отработки статистических данных.

3.7.3. В процессе испытаний ведут журнал, в котором фиксируют все измеряемые параметры, возникшие неисправности, меры, принятые для их устранения, объемы технических обслуживании, работ по ремонту и замене деталей и сборочных единиц.

3.8. Проверка эргономических показателей

3.8.1. Проверка уровня звука в рабочей зоне оператора

3.8.1.1. Уровень звука в рабочей зоне оператора определяют при работе мотопомпы на открытой площадке в номинальном режиме при отсутствии атмосферных осадков.

3.8.1.2. Контрольную точку для измерения располагают со стороны органов (пульта) управления на расстоянии 0,8-1,0 м и на высоте 1,2-1,5 м.

3.8.1.3. Измерения проводят шумомером по ГОСТ 17187 классом точности не ниже 2.

3.8.2. Проверка соответствия изделия размерам тела человека

3.8.2.1. Соответствие изделия размерам тела человека проверяют экспертным методом, который заключается в определении удобства транспортирования, управления работой мотопомпы, съема и укладки пожарно-технического оборудования (при его наличии) возможности зрительного наблюдения за контрольно-измерительными приборами.

3.8.3. Проверка усилия прикладываемого к органам управления

3.8.3.1. Проверку значения усилия, прикладываемого к органам управления, проводят с использованием шкивов, заменяющих маховик (рукоятку) запорно-регулирующей арматуры и рычажные элементы управления двигателем.

3.8.3.2. Измерения проводят при открывании органов управления и запорно-регулирующей арматуры при подаче, равной нулю, и номинальном напоре, при закрывании при номинальных подаче и напоре.

3.8.3.3. Усилия измеряют динамометром классом точности не ниже 2.

Динамометр должен выбираться так, чтобы значение измеряемого параметра находилось в средней трети шкалы измеряющего прибора.

3.8.4. Проверка содержания вредных веществ в воздухе рабочей зоны

3.8.4.1. Методы определения содержания вредных примесей в окружающей среде - по ГОСТ 12.1.005.

3.9. Проверка времени непрерывной работы

3.9.1. Время непрерывной работы проверяют на предварительно прогретой мотопомпе при ее работе в номинальном режиме без дозаправки топливного бака.

3.9.2. При испытаниях измеряют и фиксируют:

- подачу;

- давление на входе в насос;

- давление на выходе из насоса;

- геометрическую высоту всасывания;

- время работы мотопомпы с момента ее запуска.

3.10. Проверка параметров номинального режима

3.10.1. Параметры мотопомпы определяют по схеме черт. 1.

3.10.2. При испытаниях на номинальной частоте вращения, подаче и геометрической высоте всасывания определяют напор насоса.

При этом измеряют и фиксируют:

- подачу;

- частоту вращения;

- давление на входе в насос;

- давление на выходе из насоса;

- геометрическую высоту всасывания;

- барометрическое давление воздуха;

- температуру воды.

3.11. Проверка параметров при наибольшей геометрической высоте всасывания

3.11.1. Проверка параметров при работе с наибольшей геометрической высоты всасывания проводят в соответствии с пп. 3.10.1 и 3.10.2.

3.12. Проверка вакуумной системы

3.12.1. Проверка времени заполнения насоса при наибольшей геометрической высоте всасывания

3.12.1.1. Испытания проводят по схеме черт. 3. Напорный рукав должен иметь длину (20±1) м и диаметр, соответствующий диаметру выходного патрубка насоса.

3.12.1.2. Перед запуском приводного двигателя напорные задвижки и краники для слива воды должны быть закрыты. После запуска приводного двигателя фиксируют время от включения вакуумной системы до появления устойчивой струи воды из ручного пожарного ствола.

3.12.1.3. Для мотопомпы с автоматической вакуумной системой проводят дополнительную проверку общего времени при трехкратном заборе и двухкратном срыве столба воды во всасывающих рукавах.

Временем каждого забора воды считают время от момента включения вакуумной системы до появления устойчивой струи воды из ручного пожарного ствола.

3.12.1.4. При испытаниях измеряют и фиксируют:

- геометрическую высоту всасывания;

- время;

- барометрическое давление.

3.12.2. Проверка на “сухой” вакуум и герметичность насосной установки

3.12.2.1. При испытаниях проверяют значение создаваемого насосом вакуума во всасывающей линии и его падение (с подсоединенным и штатными всасывающими рукавами и без них за установленное время.

Схема стенда для определения коэффициента гидравлического сопротивления

1 - испытуемое изделие; 2 - основной бак; 3 - мерный участок трубопровода; 4 - уравнительная камера; 5 - расходомер; 6 - задвижка, 7 - центробежный насос; 8 - демпферное устройство; 9 - кавитационный бак; 10 - трубопровод; 11 - манометр.

Черт. 3

(Введен дополнительно, Изм. № 2).

3.12.2.2. Перед запуском приводного двигателя задвижки и краники напорной линии и слива воды плотно закрывают.

На всасывающий патрубок насоса (конец всасывающей линии) устанавливают заглушку. После запуска приводного двигателя включают вакуумную систему и определяют максимальное значение вакуума и время его создания.

После отключения вакуумной системы и остановки приводного двигателя определяют значение падения вакуума за установленное время.

Отсчет времени проводят с момента включения (выключения) вакуумного насоса.

3.12.2.3. Значение вакуума определяют по вакуумметру, подсоединенному к штатному месту на всасывающем патрубке насоса.

3.12.2.4. При испытаниях измеряют и фиксируют:

- значение вакуума;

- время;

- барометрическое давление.

3.13. Проверка системы дозирования пенообразователя

3.13.1. Проверка системы дозирования пенообразователя состоит в определении объемной концентрации пенообразователя в подаваемом растворе.

3.13.2. Испытания проводят при каждом регулировочном положении дозирующего устройства при минимальном и максимальном давлении на выходе из насоса и номинальной геометрической высоте всасывания (значения которых установлены в нормативно-технической документации).

При наличии автоматической системы дозирования пенообразователя определение концентрации проводят на подачах, указанных в нормативно-технической документации.

Примечания:

1. При конструкции мотопомп, допускающей работу с подпором, дополнительно проводят испытания при максимальном давлении на входе в насос, установленном в нормативно-технической документации.

2. Расположение приборов для измерения давления - в соответствии с черт. 1.

3.13.3. Подачу эжектируемого пенообразователя производят из мерной емкости и определяют объемным или весовым способом.

3.13.4. Концентрацию (Сп) определяют как отношение расхода эжектируемого пенообразователя к подаче насоса по формуле

                                                      (6)

где Qп - расход пенообразователя, л·с-1;

Qн - подача насоса, л· с-1.

3.13.5. Допускается при испытаниях использовать вместо пенообразователя воду с последующим пересчетом концентрации по формуле

                                                  (7)

где Qв - расход эжектируемой воды, л·с-1;

К - коэффициент пересчета в зависимости от типа пенообразователя.

3.13.6. При испытаниях измеряют и фиксируют:

подачу насоса;

расход эжектируемого пенообразователя;

давление на входе в насос;

давление на выходе из насоса;

геометрическую высоту всасывания.

3.14. Проверка насоса на прочность предельным давлением

3.14.1. Проверку проводят при нулевой подаче насоса. После запуска двигателя, заполнения насоса водой и ее подачи через напорную задвижку до полного выхода воздуха закрывают напорную задвижку. Плавным повышением частоты вращения давление в напорном патрубке доводят до значения предельного давления, установленного в нормативно-технической документации, и поддерживают в течение времени, необходимого для осмотра.

3.14.2. Давление измеряют в месте установки штатного манометра.

3.15. Проверка мощности приводного двигателя

3.15.1. Проверку мощности приводного двигателя проводят на специальном стенде по методике, утвержденной в установленном порядке.

3.16. Климатические испытания

3.16.1. При проведении климатических испытаний подтверждают работоспособность мотопомп при установленных в нормативно-технической документации предельных значений температуры окружающего воздуха.

3.16.2. Испытания проводят в климатической камере. Допускается проводить испытания в естественных условиях.

3.16.3. Из насоса полностью сливают воду. Мотопомпу выдерживают при температуре в течение времени, установленных в НТД. Запускают двигатель и контролируют время его запуска. Отсчет времени производят с момента запуска до начала устойчивой работы двигателя.

3.16.4. После запуска двигателя проводят проверку в соответствии с пп. 3.10 и 3.12.2.

Примечание. При испытаниях по п. 3.10 давление на выходе из насоса, частота вращения и значение подачи не регламентируют.

3.17. Проверка на транспортабельность

3.17.1. При проверке на транспортабельность определяют механическую прочность изделия в целом, прочность отдельных агрегатов, надежность крепления противопожарного оборудования.

3.17.2. Транспортирование заправленной и укомплектованной мотопомпы осуществляют автомобилем или трактором общего назначения, рекомендованным в НТД. Протяженность транспортирования устанавливается в НТД на конкретный вид продукции.

Транспортирование осуществляют по грунтовым дорогам, дорогам с гравийным и щебеночным покрытием (70%) и по дорогам с асфальто-бетонным покрытием (30%).

Скорость транспортирования устанавливают в нормативно-технической документации.

3.17.3. В процессе испытаний проводят внешний осмотр мотопомпы.

При испытаниях фиксируют:

протяженность и вид участка дороги;

среднюю скорость транспортирования;

сведения о выявленных неисправностях и принятых мерах по их устранению.

3.17.4. По окончании испытаний проводят проверку мотопомпы в соответствии с пп. 3.10 и 3.12.2.

3.17.5. Мотопомпа считается выдержавшей проверку на транспортабельность, если при испытаниях по п. 3.17.4 получены результаты, подтверждающие соответствие мотопомпы требованиям НТД.

3.18. Проверка на соответствие требованиям безопасности

3.18.1. При проверке определяют правильность мер безопасности, установленных в инструкции по эксплуатации, отсутствие факторов травмоопасности при работе мотопомпы, а для мотопомпы, оснащенной средствами освещения, - определяют степень освещенности места оператора и показаний приборов при работе в ночное время. Методы - по ГОСТ 12.2.037.

4. Обработка результатов испытаний

4.1. Результаты измерений должны быть обработаны с целью получения значений параметров работы мотопомпы для сравнения с нормативными значениями параметров, установленных в нормативно-технической документации.

4.2. Обработку результатов измерений проводят в соответствии с инструкцией по применению используемых средств измерения, а также по формулам и графикам, устанавливающим правила подсчета значений параметров, определяемых по результатам измерений.

4.3. Обработку измеренной величины подачи насоса мотопомпы проводят по методике, приведенной в технической документации на способ измерения или в установленной документации на применяемость измерительного прибора.

4.4. Обработка данных по измерению напора насоса проводится по ГОСТ 6134.

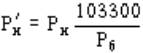
4.5. Корректировка измеренного при испытании значения вакуума Рн определяется по формуле

                                                       (8)

где Рн - значение вакуума, приведенное к нормальному атмосферному давлению, Па;

Pн - измеренное значение вакуума, Па;

Рб - местное барометрическое давление вакуума при испытаниях, Па.

4.6. Геометрическая высота всасывания (Нг), измеренная при испытаниях, должна быть скорректирована по формуле

Н г=Н г-10,33+(Рб - Рп )·0,000102,                                        (9)

где Н г - скоректированная геометрическая высота всасывания, м;

Рб - местное барометрическое давление воздуха при испытаниях, Па;

Рп - давление паров воды, Па.

5. Оформление результатов испытаний

5.1. Результаты приемочных, периодических, типовых и испытаний на надежность должны оформляться актом и протоколом испытаний.

5.2. Акт испытании оформляется и утверждается в установленном порядке.

5.3. Протокол испытаний должен содержать:

дату и место проведения измерений;

наименование типа мотопомпы и ее заводской номер;

вид и условия испытаний;

наименование и обозначение программы и методики испытаний:

таблицы, содержащие результаты испытаний;

характеристики, построенные по результатам испытаний;

оценку и краткие выводы по результатам испытаний.

Протокол подписывает руководитель испытаний (комиссии) и лица, проводившие испытания.

5.4. Результаты предъявительских и приемосдаточных испытаний заносят в специальный журнал, заведенный для данных видов испытаний.

5.5. Мотопомпу следует считать удовлетворяющей требованиям нормативно-технической документации, если выполнены следующие условия:

объем испытаний полностью соответствует программе испытаний;

значения всех параметров, полученные в результате испытаний, соответствуют установленным в нормативно-технической документации;

средства измерений соответствуют требованиям настоящего стандарта.

Приложение

Справочное

Термины, применяемые в настоящем стандарте и их пояснения

Номинальный режим работы насоса мотопомпы - режим работы насоса, обеспечивающий заданные в нормативно-технической документации подачу и напор при установленной номинальной частоте вращения и номинальной геометрической высоте всасывания.

Геометрическая высота всасывания - высота между осью вращения рабочего колеса насоса и уровнем воды при нормальном атмосферном давлении воздуха и уровнем воды при нормальном атмосферном давлении воздуха и температуре воды плюс 4°С.

Информационные данные

1. Разработан и внесен Министерством внутренних дел СССР

Разработчики

В.А. Варганов (руководитель темы); Г.Ф. Агеев; Г.И. Пунчик; А.П. Кукушкин; А.П. Ашаков, М.М. Срибнер, канд. техн. наук; Т.В. Рихтер; Б.А. Ефимов

2. Утвержден и введен в действие Постановлением Государственного комитета СССР по управлению качеством продукции и стандартам от 30.11.89 № 3533

3. Срок первой проверки - 1995

4. Взамен ГОСТ 8554 - 69

5. Ссылочные нормативно-технические документы

Обозначение НТД, на который дана ссылка

Номер пункта, подпункта

ГОСТ 12.1.005-88

3.8.4.1

ГОСТ 12.2.037-78

3.18.1

ГОСТ 6134-87

2.1.3, 2.3.1, 4.4

ГОСТ 16504-81

1.1

ГОСТ 17187-81

3.8.1.3

СОДЕРЖАНИЕ

 




Rambler's Top100 Яндекс цитирования
  Copyright © 2008-2026, www.docload.ru