Бесплатная библиотека стандартов и нормативов www.docload.ru

Все документы, размещенные на этом сайте, не являются их официальным изданием и предназначены исключительно для ознакомительных целей.
Электронные копии этих документов могут распространяться без всяких ограничений. Вы можете размещать информацию с этого сайта на любом другом сайте.
Это некоммерческий сайт и здесь не продаются документы. Вы можете скачать их абсолютно бесплатно!
Содержимое сайта не нарушает чьих-либо авторских прав! Человек имеет право на информацию!

 

УТВЕРЖДЕНО

И. о. Председателя

Госкомсанэпиднадзора России –

заместителем Главного государственного

санитарного врача Российской Федерации

Г. Г. Онищенко

8 июня 1996 г.

МУК 4.1.115-96

Дата введения: с момента утверждения

4.1. МЕТОДЫ КОНТРОЛЯ. ХИМИЧЕСКИЕ ФАКТОРЫ

МЕТОДИЧЕСКИЕ УКАЗАНИЯ ПО
ГАЗОХРОМАТОГРАФИЧЕСКОМУ ИЗМЕРЕНИЮ
КОНЦЕНТРАЦИЙ ГЕМЕТРЕЛА В ВОЗДУХЕ
РАБОЧЕЙ ЗОНЫ

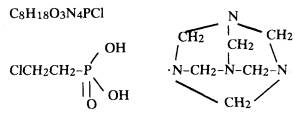
М. м. 284,5

Геметрел (действующее начало препарата гексаметилентетраминовая соль 2-хлорэтилфосфоновой кислоты) - твердое кристаллическое вещество белого цвета. Тпл. - 190 °С.

Хорошо растворяется в гидрофильных растворителях, воде, спиртах. В водных растворах устойчив при рН4.

Обладает общетоксическим действием.

В воздухе находится в виде аэрозоля.

ПДК в воздухе - 5 мг3.

Характеристика метода

Методика основана на разложении геметрела в щелочной среде с выделением этилена и газохроматографическом определении последнего с использованием детектора ионизации в пламени.

Отбор проб проводится с концентрированием на фильтр.

Нижний предел измерения геметрела в хроматографируемом объеме пробы - 10 мкг.

Нижний предел измерения в воздухе - 0,6 мгм/м3 (при отборе 15 л воздуха).

Диапазон измеряемых концентраций от 0,6 до 13 мк/м3.

Определению не мешают другие дефолианты, применяемые на хлопчатнике.

Суммарная погрешность измерения не превышает ±22 %.

Время выполнения измерения, включая отбор проб, - 60 мин.

Приборы, аппаратура, посуда

Хроматограф с пламенно-ионизационным детектором

 

Колонка хроматографическая, стеклянная, длиной 2 м и внутренним диаметром 3 мм

 

Аспирационное устройство

 

Микрошприц МШ-10 М

ГОСТ 8043-75

Шприцы медицинские, стеклянные со стеклянным поршнем, вместимостью 1 мл

ТУ 64-1-1279-75

Секундомер

ГОСТ 5072-7

Фильтродержатели

 

Термостат

 

Патроны с навинчивающейся прижимной крышкой

 

Флаконы пенициллиновые

 

Лупа измерительная

ГОСТ 8304-75

Пипетки, вместимостью 1, 5, 10 мл

ГОСТ 20292-74

Колбы мерные, вместимостью 100 мл

ГОСТ 1770-74

Реактивы, растворы, материалы

Геметрел (гексаметилентетраминовая соль 2-хлорэтилфосфоновой кислоты), х. ч.

 

Насадка для хроматографической колонки - Хромосорб W

 

Соляная кислота, х. ч., водный раствор с рН = 4

ГОСТ 3118-77

Натрия гидроокись, ч. д. а., 1 %ый водный раствор

ГОСТ 4328-77

Газообразные (в баллонах с редукторами):

 

азот

ГОСТ 9293-74

водород

ГОСТ 3022-80

Фильтры АФА-ВП-20

 

Стандартный раствор геметрела № 1 с концентрацией 1 мг/мл готовят растворением 100 мг препарата в водном растворе соляной кислоты с рН = 4, в мерной колбе, емкостью 100 мл. Раствор устойчив в течение недели.

Отбор пробы воздуха

Воздух с объемным расходом 2 л/мин аспирируют через фильтр АФА-ВП-20. Для определения 1/2 ПДК следует отобрать 4 л воздуха. Пробы не подлежат хранению.

Подготовка к измерению

Хроматографическую колонку заполняют готовой насадкой Хромосорб W и кондиционируют в термостате прибора при скорости газа-носителя 30-40 мл/мин в режиме программирования температуры от 50 до 150 °С в течение 10-12 часов до получения стабильной нулевой линии.

Градуированные растворы с концентрацией определяемого вещества от 10 до 200 мкг/мл готовят соответствующим разбавлением стандартного раствора № 1 водным раствором соляной кислоты с рН = 4.

Для количественного определения геметрела строят градуировочный график с использованием градуировочных растворов. Для этого по 1 мл каждого из градуировочных растворов помещают в пенициллиновый флакон, доводят объем до 9 мл раствором соляной кислоты с рН = 4, закрывают резиновой пробкой и ставят в патрон с навинчивающейся прижимной крышкой (для уплотнения и прижимания резиновой пробки флакона). Затем шприцем, прокалывая резиновую пробку иглой, вводят во флакон 1 мл 1 %-ного раствора NaOH и выдерживают реакционную смесь в термостате при температуре 37 °С в течение 30 минут. Вводят 1 мл газовой фазы (этиленооздушную смесь) в хроматограф через самоуплотняющуюся мембрану испарителя.

Строят градуировочную кривую, выражающую зависимость площади пика (мм2) от количества компонента (мкг). Площадь пика получают умножением высоты пика на его ширину, измеренную на половине высоты. Построение градуировочной кривой проводят не менее, чем по 6-ти точкам, проводя 5 параллельных определений для каждой концентрации.

Условия хроматографирования градуировочных смесей и анализируемых проб:

Температура термостата колонок                                              130 °С

Температура испарителя                                                             150 °С

Скорость потока газа-носителя                                                  30 мл/мин

Скорость потока водорода                                                          30 мл/мин

Скорость потока воздуха                                                             300 мл/мин

Скорость движения диаграммной ленты                                  240 мм/ч

Рабочая шкала электрометра                                                      16 · 10-10 А

Время удерживания этилена                                                      3 мин 45 с

Проведение измерения

Фильтр помещают в пенициллиновый флакон, заливают 9 мл соляной кислоты с рН = 4, закрывают резиновой пробкой и оставляют на 15 минут. Затем флакон помещают в патрон с прижимной крышкой и вводят шприцем 1 мл 1 %-ного раствора NaOH, прокалывая резиновую пробку иглой.

Реакционную смесь выдерживают в термостате при 37 ° С в течение 30 минут. 1 мл газовой фазы вводят в хроматограф через самоуплотняющуюся мембрану. Записывают хроматограмму, вычисляют площадь пика этилена и по градуировочному графику находят количество определяемого компонента.

Расчет концентрации

Концентрацию геметрела «С» в воздухе (в мг/м3) вычисляют по формуле:

, где

а - количество вещества, найденное в анализируемом объеме экстракта по градуировочному графику, мкг;

б - объем экстракта, взятого для анализа, мл;

в - общий объем экстракта, мл;

V - объем воздуха, отобранного для анализа и приведенного к стандартным условиям, л (см. приложение 1).

Методические указания разработаны институтом химии АН Узбекистана.

Приложение 1

Приведение объема воздуха к условиям по ГОСТу 12.1.016-79
(температура 20 °С, давление 760 мм рт. ст.)

Приведение объема воздуха к стандартным условиям проводят по следующей формуле:

, где

V - объем воздуха, отобранный для анализа, л;

Р - барометрическое давление, кПа (101,33 кПа = 760 мм рт. ст.);

t - температура воздуха в месте отбора пробы, °С.

Для удобства расчета V20 следует пользоваться таблицей коэффициентов (приложение 2). Для приведения воздуха к стандартным условиям надо умножить V на соответствующий коэффициент.

Приложение 2

Коэффициент K для приведения объема воздуха к условиям по ГОСТу 12.1.016-79

Давление Р, кПа/мм рт. ст.

°С

97,33/730

97,86/734

98,4/738

98,93/742

99,46/746

100/750

100,53/764

101,06/758

101,33/760

101,86/764

-30

1,1582

1,1646

1,1709

1,1772

1,1836

1,1899

1,1963

1,2026

1,2038

1,2122

-26

1,1393

1,1456

1,1519

1,1581

1,1644

1,1705

1,1768

1,1831

1,1862

1,1925

-22

1,1212

1,1274

1,1336

1,1396

1,1458

1,1519

1,1581

1,1643

1,1673

1,1735

-18

1,1036

1,1097

1,1158

1,1218

1,1278

1,1338

1,1399

1,1400

1,1490

1,1551

-14

1,0866

1,0926

1,0986

1,1045

1,1105

1,1164

1,1224

1,1284

1,1313

1,1373

-10

1,0701

1,0760

1,0819

1,0877

1,0986

1,0994

1,1053

1,1112

1,1141

1,1200

-6

1,0540

1,0599

1,0657

1,0714

1,0772

1,0829

1,0887

1,0946

1,0974

1,1032

-2

1,0385

1,0442

1,0499

1,0556

1,0613

1,0669

1,0726

1,0784

1,0812

1,0869

0

1,0309

1,0366

1,0423

1,0477

1,0635

1,0591

1,0648

1,0705

1,0733

1,0789

+2

1,0234

1,0291

1,0347

1,0402

1,0459

1,0514

1,0571

1,0627

1,0655

1,0712

+6

1,0087

1,0143

1,0198

1,0253

1,0309

1,0363

1,0419

1,0475

1,0502

1,0357

+10

0,9944

0,9999

1,0054

1,0108

1,0162

1,0216

1,0272

1,0326

1,0353

1,0407

+14

0,9806

0,9860

0,9914

0,9967

1,0027

1,0074

1,0128

1,0183

1,0209

1,0263

+18

0,9671

0,9725

0,9778

0,9880

0,9884

0,9936

0,9989

1,0043

1,0069

1,0122

+20

0,9605

0,9658

0,9711

0,9783

0,9816

0,9868

0,9921

0,9974

1,0000

1,0053

+22

0,9539

0,9592

0,9645

0,9696

0,9749

0,9800

0,9853

0,9906

0,9932

0,9985

+24

0,9475

0,9527

0,9579

0,9631

0,9683

0,9735

0,9787

0,9839

0,9865

0,9917

+26

0,9412

0,9464

0,9516

0,9566

0,9618

0,9669

0,9721

0,9773

0,9799

0,9851

+28

0,9349

0,9401

0,9453

0,9503

0,9655

0,9605

0,9657

0,9708

0,9734

0,9785

+30

0,9288

0,9339

0,9891

0,9440

0,9432

0,9542

0,9594

0,9645

0,9670

0,9723

+34

0,9167

0,9218

0,9268

0,9318

0,9368

0,9418

0,9468

0,9519

0,9544

0,9595

+38

0,9049

0,9099

0,9149

0,9198

0,9248

0,9297

0,9347

0,9397

0,9421

0,9471

Приложение 3

Вещества, определяемые по ранее утвержденным и опубликованным Методическим указаниям

Наименование вещества

Ссылка на опубликованные Методические указания

1. Аммония метаваданат

МУ на фотометрическое определение ванадия и его соединений в воздухе рабочей зоны. Вып. 1-5 (переизданный), М., 1981, с. 7

2. Вольфрама диселенид

МУ на фотометрическое определение вольфрама в воздухе рабочей зоны. Вып. 19, М., 1984, с. 13

3. Диэтилентриамина метилфенол (УП-583)

МУ на фотометрическое определение концентраций полиэтиленполиаминов, этилендиамина, диэтилентриамина в воздухе рабочей зоны. Вып. 22, М., 1988, с. 317

4. Диэтилентриамин моноцианэтилированный (аминный отвердитель 0633Н)

МУ на фотометрическое определение концентраций полиэтиленполиаминов, этилендиамина, диэтилентриамина в воздухе рабочей зоны. Вып. 22, М., 1988, с. 317

5. Этилендиамина метилфенол (агидол-АФ-2)

МУ на фотометрическое определение концентраций полиэтиленполиаминов, этилендиамина, диэтилентриамина в воздухе рабочей зоны. Вып. 22, М., 1988, с. 317

6. Железа оксид

МУ по полярографическому измерению концентраций железа в воздухе рабочей зоны. Вып. 23/1, М., 1988, с. 60

7. Кобальта диселенид

МУ на фотометрическое определение кобальта и его соединений в воздухе рабочей зоны. Вып. 1-5 (переизданный), М., 1981, с. 14

8. Липрин

МУ на фотометрическое определение БВК в воздухе рабочей зоны. Вып. 18, М., 1983, с. 139

9. Молибдена диселенид

МУ по полярографическому измерению концентрации молибдена в воздухе рабочей зоны. Вып. 19, М., 1984, с. 97

10. Ниобия диселенид

МУ на фотометрическое определение концентраций ниобия и его соединений в воздухе рабочей зоны. Вып. 28 (в печати).

11. Пыльца бабочек зерновой моли

МУ на фотометрическое определение БВК в воздухе рабочей зоны. Вып. 18, М., 1983, с. 139.

12. Полиамидное волокно «Армос»

МУ на гравиметрическое определение пыли в воздухе рабочей зоны, и в системах вентиляционных установок. М., 1981, с. 235 (переизданный сборник МУ вып. 1-5)

13. Пыль доменного шлака

МУ на гравиметрическое определение пыли в воздухе рабочей зоны, и в системах вентиляционных установок. М., 1981, с. 235 (переизданный сборник МУ вып. 1-5)

14. Метасол

МУ на гравиметрическое определение пыли в воздухе рабочей зоны, и в системах вентиляционных установок. М., 1981, с. 235 (переизданный сборник МУ вып. 1-5)

15. Сополимер акрилонитрила и 2-метил-5-винилпиридина (волокно ВИОН-АН-1)

МУ на гравиметрическое определение пыли в воздухе рабочей зоны, и в системах вентиляционных установок. М., 1981, с. 235 (переизданный сборник МУ вып. 1-5)

16. Соли неорганических кислот меди

МУ на фотометрическое определение меди в воздухе рабочей зоны. Вып. 1-5 (переизданный), М., 1981, с. 18

17. Смолы сланцевые дифенольные ДФК-8, ДФК-9, ДФК-АМ (контроль по ацетону)

МУ, вып. 1-5 (переизданный), М., 1981, с. 88

18. Фталат меди-свинца

Фталат свинца

Свинец-олово-теллур (контроль по свинцу)

МУ по полярографическому измерению концентраций свинца в воздухе рабочей зоны. Вып. 9, М., 1986, с. 139

МУ по измерению свинца в воздухе рабочей зоны методом атомно-абсорбционной спектрофотометрии. Вып. 21, М., 1986, с. 168

19. 1,-(2,4,6-трихлорфенил)-3-аминопиразолон-5

МУ на фотометрическое определение концентраций компоненты 3П-24 Вып. 25, М., 1989, с. 182

20. Хлорсодержащие кремнийорганические соединения (алкильные) (контроль по HCl)

МУ на фотометрическое определение хлористого водорода в воздухе рабочей зоны. Вып. 1-5 (переизданный) М., 1981, с. 83

21. Хлорсодержащие кремнийорганические соединения (аррильные)

Методические указания на фотометрическое определение триэтоксисисилана и тетраэтоксисилана в воздухе рабочей зоны. Вып. 1-5 (переизданный) М., 1981, с. 170

22. Цинка ацетат

МУ на фотометрическое определение цинка и его соединений в воздухе рабочей зоны. Вып. 1-5, (переизданный) М., 1981, с. 51.

СОДЕРЖАНИЕ

Характеристика метода. 2

Приборы, аппаратура, посуда. 2

Реактивы, растворы, материалы.. 2

Отбор пробы воздуха. 3

Подготовка к измерению.. 3

Проведение измерения. 3

Расчет концентрации. 3

Приложение 1 Приведение объема воздуха к условиям по ГОСТу 12.1.016-79 (температура 20 °С, давление 760 мм рт. ст.) 4

Приложение 2 Коэффициент K для приведения объема воздуха к условиям по ГОСТу 12.1.016-79. 4

Приложение 3 Вещества, определяемые по ранее утвержденным и опубликованным Методическим указаниям.. 4

 




Rambler's Top100 Яндекс цитирования
  Copyright © 2008-2026, www.docload.ru