Бесплатная библиотека стандартов и нормативов www.docload.ru

Все документы, размещенные на этом сайте, не являются их официальным изданием и предназначены исключительно для ознакомительных целей.
Электронные копии этих документов могут распространяться без всяких ограничений. Вы можете размещать информацию с этого сайта на любом другом сайте.
Это некоммерческий сайт и здесь не продаются документы. Вы можете скачать их абсолютно бесплатно!
Содержимое сайта не нарушает чьих-либо авторских прав! Человек имеет право на информацию!

 

Документы по стандартизации

Конструкции металлические

 «ЦНИИПСК им. Мельникова»

СТАНДАРТ ОРГАНИЗАЦИИ

СИСТЕМА МЕНЕДЖМЕНТА КАЧЕСТВА

ВЫПОЛНЕНИЕ ПРОЕКТНЫХ РАБОТ

СТО СМК 29-2004

Москва

2004

ЦЕНТРАЛЬНЫЙ ОРДЕНА ТРУДОВОГО КРАСНОГО ЗНАМЕНИ НАУЧНО-
ИССЛЕДОВАТЕЛЬСКИЙ И ПРОЕКТНЫЙ ИНСТИТУТ СТРОИТЕЛЬНЫХ
МЕТАЛЛОКОНСТРУКЦИЙ ИМЕНИ Н.П. МЕЛЬНИКОВА

ЦНИИПСК
им. МЕЛЬНИКОВА

(Основан в 1880 г)

СТАНДАРТ ОРГАНИЗАЦИИ

Система менеджмента качества

ВЫПОЛНЕНИЕ ПРОЕКТНЫХ РАБОТ

СТО СМК 29-2004

Предисловие

1 РАЗРАБОТАН и ВНЕСЕН отделом стандартизации ЗАО Центральным ордена Трудового Красного научно-исследовательским и проектным институтом строительных металлоконструкций им. Мельникова (ЗАО «ЦНИИПСК им. Мельникова»)

2 ПРИНЯТ и ВВЕДЕН В ДЕЙСТВИЕ со дня утверждения его директором ЗАО «ЦНИИПСК им. Мельникова» от 05 апреля 2004 г.

3 ВВЕДЕН впервые

4 Разработка, согласование, утверждение, издание (тиражирование), обновление (изменение или пересмотр) и отмена настоящего стандарта производится отделом стандартизации ЗАО «ЦНИИПСК им. Мельникова»

СОДЕРЖАНИЕ

Введение

Настоящий стандарт является одним из документов системы менеджмента качества, действующей в ЗАО «ЦНИИПСК им. Мельникова» и разработанной на основе международных стандартов ИСО серии 9000.

Настоящий стандарт разработан в развитие раздела «Процессы жизненного цикла продукции» стандарта организации СТО СМК 01-2003 «Руководство по качеству», в соответствии с требованиями стандартов организации СТО СМК 07-2004 «Стандарты организации. Порядок разработки, построения и оформления» и СТО СМК 28-2004 «Управление документацией и записями».

УТВЕРЖДАЮ

Директор ЗАО «ЦНИИПСК

им. Мельникова»

___________ В.В. Ларионов

05 апреля 2004 г.

СТО СМК 29-2004

СТАНДАРТ ОРГАНИЗАЦИИ

Система менеджмента качества

ВЫПОЛНЕНИЕ ПРОЕКТНЫХ РАБОТ

Дата введения 2004-04-05

1 Область применения

Настоящий стандарт устанавливает порядок и последовательность выполнения работ при разработке проектной документации на строительство предприятий, зданий и сооружений согласно требованиям действующих нормативных документов.

Стандарт обязателен для подразделений, выполняющих проектные работы.

2 Нормативные ссылки

В настоящем стандарте использованы следующие нормативные документы:

ГОСТ Р ИСО 9001-2001 Системы менеджмента качества. Требования

ГОСТ Р ИСО 9004-2001 Системы менеджмента качества. Рекомендации по улучшению деятельности

ГОСТ Р 15.201-2000 СРПП. Продукция производственно-технического назначения. Порядок разработки и постановки продукции на производство

ГОСТ 15.901-91 Системы разработки и постановки продукции на производство. Конструкции, изделия и материалы строительные

ГОСТ В 15.201-83 СРПП ВТ. Тактико-техническое (техническое) задание на выполнение опытно-конструкторской работы

ГОСТ 21.101-97 СПДС. Основные требования к рабочей документации

ГОСТ 21.110-95 СПДС. Правила выполнения спецификации оборудования, изделий и материалов

ГОСТ 21.113-88 СПДС. Обозначения характеристик точности

ГОСТ 21.114-95 СПДС. Правила выполнения эскизных чертежей общих видов нетиповых изделий

ГОСТ 21.501-93 СПДС. Правила выполнения архитектурно-строительных чертежей

СНиП 1.06.04-85 Положение о главном инженере (главном архитекторе) проекта

СНиП II-23-81* Стальные конструкции

СП 11-110-99 Авторский надзор за строительством зданий и сооружений

СП 81-01-94 Свод правил по определению стоимости строительства в составе предпроектной и проектно-сметной документации

СН 460-74 Временная инструкция о составе и оформлении строительных рабочих чертежей зданий и сооружений

3 Термины и определения, сокращения

3.1 продукция: Результат процесса (ГОСТ Р ИСО 9000-2001 п. 3.4.2)

3.2 процесс: Совокупность взаимосвязанных и взаимодействующих видов деятельности, преобразуемая входы и выходы

(ГОСТ Р ИСО 9000-2001 п. 3.4.1)

3.3 возможности: Способность организации, системы или процесса производить продукцию, которая будет соответствовать требованиям к этой продукции

(ГОСТ P ИСО 9000-2001 п. 3.1.5)

3.4 проектирование и разработка: Совокупность процессов, переводящих требования в установленные характеристики или нормативную и техническую документацию на продукцию, процесс или систему.

(ГОСТ Р ИСО 9000-2001 п. 3.4.4)

3.5 коррекция: Действие, предпринятое для устранения обнаруженного несоответствия

(ГОСТ Р ИСО 9000-2001 п. 3.6.6)

4 Общие положения

4.1 Обеспечение выпуска качественной и конкурентоспособной продукции, удовлетворяющей запросы потребителей, является основой политики института в области качества.

4.2 Документированное оформление порядка и последовательности действий по созданию проектной документации является гарантией создания продукции в соответствии с действующей системой менеджмента качества.

4.3 Порядок выполнения и хранения расчетов приведен в приложении А.

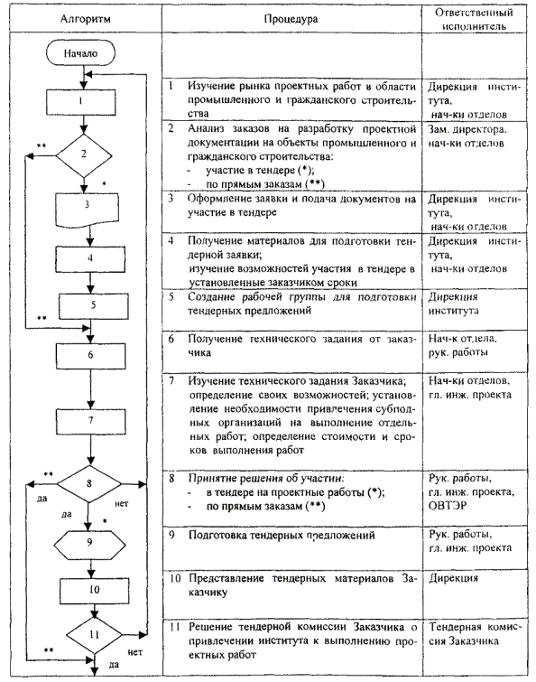
5 Последовательность действий при выполнении проектных работ

Последовательность действий по созданию проектной продукции представлена в виде блок - схемы.

Приложение А

(обязательное)

Порядок выполнения и хранения расчетов

1 Объем (полнота) расчетов определяется начальником (заведующим) отделом и главным инженером проекта в зависимости от вида (характера) проектной документации, зданий и сооружений, но в любом случае должен быть достаточным, чтобы обеспечить надежность и долговечность сооружения в целом и его отдельных конструктивных элементов.

2 Расчеты могут выполняться с применением как традиционных, так и нетрадиционных методов. В последнем случае методика расчета должна быть утверждена руководством института.

3 Допускается (по усмотрению руководителя и главного инженера проекта):

- использовать в расчетах результаты научно-исследовательских (экспериментальных) работ, утвержденные (или согласованные) руководством института;

- назначать параметры конструктивных элементов зданий и сооружений на основе практики проектирования - по аналогу, с обязательными ссылками на данный аналог.

4 За качество и полноту расчетов ответственность несет главный инженер проекта.

5 В состав расчетов должны входить необходимые материалы, дающие полное представление о принятых методах расчета, расчетных схемах, программах, используемых для расчета, нагрузках и других составляющих (компонентах) расчета.

6 Расчеты выполняются на «Расчетных форматках» А3, А4.

7 Штампы в «Расчетной форматке» заполняются чернилами («ручкой»). Выполнение расчетов допускается выполнять карандашом. Критерий заполнения «Расчетной форматки» - четкость, ясность для однозначного понимания принятых предпосылок и аккуратность.

8 Проверку расчетов должны осуществлять наиболее квалифицированные специалисты, допущенные к проверке приказом по институту.

9 Оформленные подписями с титульным листом и сброшюрованные, в виде альбома или альбомов, расчеты в полном объеме должны сдаваться в архив не позднее, чем через месяц после срока окончания работы.

10 Титульный лист (пример оформления приведен на рисунке 1) должен содержать:

- наименование и шифр объекта;

- номер альбома и общее количество альбомов, наименование расчетов;

- наименование отдела;

- подписи исполнителей и год выпуска.

11 Элементарные расчеты к мелким работам могут не сдаваться в архив. В этом случае должна быть приложена докладная записка руководителя проекта (начальника отдела), подписанная заместителем директора.

12 При необходимости выдачи расчетов отделу должно быть разрешение руководства института.

ЦНИИПСК им. Мельникова

Отдел промышленных и гражданских сооружений

Череповецкий металлургический комбинат

Кислородно-конвертерный цех

3-9999-КМ-1

Расчеты металлических конструкций

Список альбомов

Начальник отдела

Г.В. Калашников

Главный инженер проекта

В.И. Мейтин

Москва, 2004

Рисунок 1 лист 1

Список альбомов

3-9999-КМ-1

№№ п/п

Номер альбома

Наименование альбомов (расчетов)

Листы

Примечание

1

2

3

4

5

1

№ 1

Расчет рамы по оси 1

1 - 40

 

2

№ 2

Расчет рамы по оси 10

41 - 82

 

3

№ 3

Расчет конструкций кровли

83 - 120

 

4

№ 4

Расчет бункеров сыпучих

121 - 143

 

5

№ 5

Расчет подкрановых конструкций

144 - 180

 

6

№ 6

Расчет рабочих площадок

181 - 200

 

Рисунок 1 лист 2

ЦНИИПСК им. Мельникова

Отдел промышленных и гражданских сооружений

Череповецкий металлургический комбинат

Кислородно-конвертерный цех

3-9999-КМ-1

Расчет подкрановых конструкций

Альбом № 5

Начальник отдела

Г.В. Калашников

Главный инженер проекта

В.И. Мейтин

Москва, 2004

Рисунок 1 лист 3

Лист регистрации изменений

Номер изменения

Номера разделов, пунктов (подпунктов)

Срок введения измерения

подпись

измененных

замененных

новых

аннулированных

 

 

 

 

 

 

 

 

 

 

 

 

 

Ключевые слова: выполнение, проектные работы, расчеты, продукция, процедура, согласование, корректировка, утверждение

Rambler's Top100 Яндекс цитирования
  Copyright © 2008, www.docload.ru

Добавить в Избранное