Бесплатная библиотека стандартов и нормативов www.docload.ru

Все документы, размещенные на этом сайте, не являются их официальным изданием и предназначены исключительно для ознакомительных целей.
Электронные копии этих документов могут распространяться без всяких ограничений. Вы можете размещать информацию с этого сайта на любом другом сайте.
Это некоммерческий сайт и здесь не продаются документы. Вы можете скачать их абсолютно бесплатно!
Содержимое сайта не нарушает чьих-либо авторских прав! Человек имеет право на информацию!

 

РОССИЙСКОЕ ОТКРЫТОЕ АКЦИОНЕРНОЕ ОБЩЕСТВО
энеРГетики и электрификации
"ЕЭС РОССИИ"

ПОЛОЖЕНИЕ
О ПРОИЗВОДСТВЕННОМ КОНТРОЛЕ
ЗА СОБЛЮДЕНИЕМ ТРЕБОВАНИЙ
ПРОМЫШЛЕННОЙ БЕЗОПАСНОСТИ
НА ОПАСНЫХ ПРОИЗВОДСТВЕННЫХ ОБЪЕКТАХ
РАО «ЕЭС» РОССИИ

РД 153-34.0-03.125-2002

МОСКВА, 2002

Разработано Обществом с ограниченной ответственностью «Городской центр экспертиз (г. Санкт-Петербург) с участием Департамента Генеральной инспекции по эксплуатации электрических станций и сетей и специалистов РАО «ЕЭС России»

Исполнители А.А. ФЕДРУШКОВ, А.Н. ИСАКОВ, В.В. КУДИН,

А.Ю. АНАНЬИНА (ООО «Городской центр экспертиз»),

В.К. ПАУЛИ, М.И. ЧИЧИНСКИЙ, В.В. ОХОТИН, А.Н. СЕРГЕЕВ,

Н.Н. БАЛДИН (РАО «ЕЭС России»),

B.C. КОТЕЛЬНИКОВ (Госгортехнадзор России)

Согласовано с Госгортехнадзором России 14.02.2002 г.

Заместитель начальника                                                 Б.А. КРАСНЫХ

Утверждено Российским акционерным обществом энергетики и электрификации «ЕЭС России» 08.04.2002 г.

Председатель Правления                                    А.Б. ЧУБАЙС

Ключевые слова: промышленная безопасность, производственный контроль, опасный производственный объект, система управления промышленной безопасностью, система производственного контроля промышленной безопасности

Заместитель Начальника

ФЕДЕРАЛЬНОГО

ГОРНОГО И ПРОМЫШЛЕННОГО

НАДЗОРА РОССИИ

(Госгортехнадзор России)

107066, г. Москва, ул. А. Лукьянова, 4, корп. 8

Телефон: 263-97-75 Телефакс: 261-60-43

14.02.2002 № 03-35/30

На № ПБ-665 от 29.01.2002

Члену Правления РАО
«ЕЭС России»

В.К. Паули

Рассмотрев представленные материалы, Госгортехнадзор России согласовывает «Положение о производственном контроле за соблюдением требований промышленной безопасности на опасных производственных объектах РАО «ЕЭС России» и приложение к нему «Типовое положение о производственном контроле за соблюдением требований промышленной безопасности на опасных производственных объектах предприятий АО-энерго (филиала) РАО «ЕЭС России».

Б.А. Красных

1. Общие положения

Настоящее положение является нормативным документом, который определяет состав, структуру, организацию и порядок функционирования системы производственного контроля промышленной безопасности РАО «ЕЭС России»*). Оно устанавливает функции, права и ответственность исполнительного аппарата Общества, руководства его филиалов, представительств, дочерних и зависимых акционерных обществ**) по вопросам производственного контроля за соблюдением требований промышленной безопасности на опасных производственных объектах структурных подразделений и предприятий РАО «ЕЭС России».

_____________________________

*) Далее по тексту - «Общество».

**) Далее по тексту - «предприятия».

1.1. Концентрация и стратегические цели политики РАО «ЕЭС России» в области промышленной безопасности

1.1.1. Стратегическими целями РАО «ЕЭС России» в области промышленной безопасности являются:

- обеспечение уровня промышленной безопасности опасных производственных объектов Общества, при котором риск возникновения промышленных аварий и инцидентов на этих объектах минимален и соответствует сложившемуся на конкретном этапе научно-технического прогресса уровню развития техники и технологии и состоянию развития общества;

- достижение уровня промышленной безопасности соответствующего показателям мировых энергетических компаний;

- создание условий для устойчивого функционирования и развития Общества посредством обеспечения, в том числе и на основе страхования соответствующих промышленных рисков, полной и своевременной компенсации внеплановых потерь, обусловленных производственными неполадками и промышленными авариями.

1.1.2. Достижение, обозначенных в п. 1.1.1, целей осуществляется посредством реализации политики РАО «ЕЭС России» в области промышленной безопасности по следующим основным направлениям:

- признание и обеспечение приоритета жизни и здоровья работников Общества по отношению к результатам производственной деятельности;

- установление единых требований РАО «ЕЭС России» к организации работ в области промышленной безопасности, основывающихся на мировом опыте энергетических компаний;

- обеспечение эффективного функционирования системы управления промышленной безопасностью в РАО «ЕЭС России»;

- использование программно-целевых методов для комплексного решения задач в области промышленной безопасности;

- разработка и внедрение экономических подходов к решению задач в области промышленной безопасности, включая оценку социально-экономической эффективности мероприятий по снижению промышленных рисков;

- обеспечение информированности персонала РАО «ЕЭС России» о состоянии промышленной безопасности в Обществе.

1.1.2. Достижение, обозначенных в п. 1.1.1. целей осуществляется посредством реализации политики РАО «ЕЭС России» в области промышленной безопасности по следующим основным направлениям:

- признание и обеспечение приоритета жизни и здоровья работников Общества по отношению к результатам производственной деятельности;

- установление единых требований РАО «ЕЭС России» к организации работ в области промышленной безопасности, основывающихся на мировом опыте энергетических компаний;

- обеспечение эффективного функционирования системы управления промышленной безопасностью в РАО «ЕЭС России»;

- использование программно-целевых методов для комплексного решения задач в области промышленной безопасности;

- разработка и внедрение экономических подходов к решению задач в области промышленной безопасности, включая оценку социально-экономической эффективности мероприятий по снижению промышленных рисков;

- обеспечение информированности персонала РАО «ЕЭС России» о состоянии промышленной безопасности в Обществе.

1.1.3. Организационная структура РАО «ЕЭС России» представлена в приложении 1.

Основные термины и определения, используемые в настоящем Положении, приведены в приложении 2.

1.2. Нормативно-правовая база функционирования системы управления промышленной безопасностью в РАО «ЕЭС России»

1.2.1. Основу нормативно-правовой базы функционирования системы управления промышленной безопасностью РАО «ЕЭС России» составляют Федеральные законы: «О промышленной безопасности опасных производственных объектов». «О безопасности гидротехнических сооружений». «О защите населения и территории от чрезвычайных ситуаций природного и техногенного характера». «Об основах охраны труда в Российской Федерации», «О пожарной безопасности»; «Кодекс Российской Федерации об административных правонарушениях». «Уголовный кодекс Российской Федерации». Указы президента Российской Федерации в области промышленной безопасности, нормативно-правовые акты и нормативно-технические документы федеральных органов исполнительной власти, специально уполномоченных по вопросам промышленной безопасности, а также руководящих корпоративных документов РАО «ЕЭС России».

Перечень основных законодательных и организационных нормативно-правовых актов в области промышленной безопасности приведен в приложении 3.

1.2.2. Нормативно-методические и организационные документы, разрабатываемые и принимаемые в РАО «ЕЭС России» по вопросам организации функционирования системы управления промышленной безопасностью, должны обеспечивать выполнение следующих требований - Общество, как субъект промышленной (хозяйственной) деятельности, должно самостоятельно оценивать состояние промышленной безопасности на своих предприятиях, формулировать цели и политику в области промышленной безопасности, разрабатывать и реализовывать способы их достижения, а также осуществлять предусмотренные действующим законодательством Российской Федерации контрольные функции.

2. ОРГАНИЗАЦИЯ ФУНКЦИОНИРОВАНИЯ СИСТЕМЫ ПРОИЗВОДСТВЕННОГО КОНТРОЛЯ ПРОМЫШЛЕННОЙ БЕЗОПАСНОСТИ В РАО «ЕЭС РОССИИ»

2.1. Основные цели и задачи системы производственного контроля промышленной безопасности РАО «ЕЭС России»

2.1.1. Производственный контроль за соблюдением требований промышленной безопасности*) - один из важнейших элементов системы управления промышленной безопасностью РАО «ЕЭС России».

_______________

*)Далее по текст - «производственный контроль».

Целью производственного контроля является предупреждение аварий и обеспечение готовности организаций к локализации и ликвидации последствий аварий на опасном производственном объекте за счет осуществления комплекса организационно-технических мероприятий.

Основным принципом производственного контроля является регулярность и плановость проверок опасных производственных объектов РАО «ЕЭС России» руководителями и уполномоченными органами разных уровней управления Общества.

Под системой производственного контроля промышленной безопасности (СПК ПБ) РАО «ЕЭС России» понимается совокупность органов управления, сил и средств Общества, обеспечивающих выполнение комплекса мероприятий по контролю за соблюдением требований федерального законодательства, общероссийских норм и правил, а также ведомственной нормативной документации в области промышленной безопасности на опасных производственных объектах РАО «ЕЭС России».

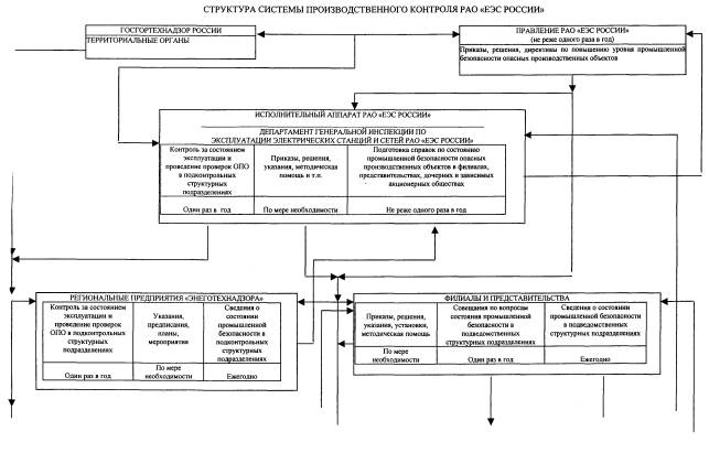
2.1.2. Структурная схема системы производственного контроля промышленной безопасности РАО «ЕЭС России» представлена в приложении 4.

2.1.3. В соответствии с требованиями действующего законодательства Российской Федерации, настоящим Положением установлены следующие основные задачи, решаемые системой производственного контроля промышленной безопасности РАО «ЕЭС России»:

- контроль за соблюдением требований промышленной безопасности, установленных федеральными законами и иными нормативными правовыми актами;

- анализ состояния промышленной безопасности в структурных подразделениях и на предприятиях Общества, в том числе путем организации проведения соответствующих проверок и экспертиз;

- разработка мер, направленных на улучшение состояния промышленной безопасности и предотвращение ущерба окружающей среде;

- разработка, согласование и реализация программ, планов и иных организационно-распорядительных документов на основе результатов анализа состояния промышленной безопасности в структурных подразделениях и на предприятиях Общества;

- оценка, учет и нормирование основных промышленных рисков РАО «ЕЭС России»;

- координация работ, направленных на предупреждение аварий и инцидентов па опасных производственных объектах Общества;

обеспечение готовности структурных подразделений и предприятий Общества к локализации инцидентов и аварий и ликвидации их последствий;

- организация расследования и учета несчастных случаев, инцидентов и аварий на опасных производственных объектах Общества, причин их возникновения и осуществление компенсации, обусловленных ими потерь;

- организация контроля над своевременным проведением необходимых испытаний и освидетельствований технических устройств, применяемых на опасных производственных объектах Общества, ремонтом и поверкой контрольных средств измерений;

- подготовка и аттестация работников служб производственного контроля структурных подразделений и предприятий Общества по вопросам промышленной безопасности;

- контроль за соблюдением технологической дисциплины в структурных подразделениях и на предприятиях Общества.

2.1.4. Производственный контроль за соблюдением требований промышленной безопасности осуществляется:

- руководителями I уровня управления - непосредственными руководителями работ (начальниками участков, мастерами, механиками, бригадирами и др.);

- руководителями II уровня управления - начальниками цехов и других производственных подразделений;

- руководителями III уровня управления - руководящими работниками и специалистами предприятия;

- руководителями IV уровня управления - руководящими работниками и специалистами аппарата управления акционерного общества, а также главными инженерами-инспекторами Территориального центра «Энерготехнадзора» (ТЦ ЭТН);

- руководителями V уровня управления - руководящими работниками и специалистами аппарата управления регионального филиала (представительства) РАО «ЕЭС России», а также главными инженерами-инспекторами Регионального предприятия «Энерготехнадзора» (РП ЭТН):

- руководители VI уровня управления - руководящими работниками и главными специалистами исполнительного аппарата РАО «ЕЭС России», в том числе. Департамента генеральной инспекции по эксплуатации электрических станций и сетей (ДГИЭС).

2.1.5. Первый этап контроля

Ежедневно в начале работы и в процессе работы руководители I уровня проверяют порядок приемки-сдачи смены, техническое состояние оборудования, инструментов, приспособлений, состояние рабочих мест, соблюдение рабочими требований промышленной безопасности и принимают оперативные меры по устранению выявленных нарушений и недостатков, о чем делается запись в оперативном журнале или другом документе.

Выявленные при проверке нарушения и недостатки должны быть устранены. Нарушения, которые не могут быть устранены персоналом смены, регистрируются в журнале дефектов для последующего принятия мер руководителем структурного подразделения предприятия.

Ответственность за осуществление первого этапа контроля, наряду с непосредственными участниками контроля по первому этапу, несет их непосредственный руководитель.

2.1.6. Второй этап контроля

Ответственность за проведение второго этапа контроля и своевременное устранение выявленных нарушений возлагается на руководителя структурного подразделения (цеха, службы) предприятия.

Обходы по второму этапу контроля организуются так, чтобы каждое рабочее место контролировалось одним из руководителей структурного подразделения (цеха, службы и т.д.) предприятия - не реже одного раза в месяц.

При обходе рабочих мест проверяется:

- выполнение персоналом правил, производственных и должностных инструкций, поддержания установленного режима работы оборудования;

- соблюдение персоналом порядка приемки-сдачи смены, ведения оперативной документации, производственной и трудовой дисциплины;

- своевременное выявление персоналом имеющихся дефектов и неполадок в работе оборудования и оперативного принятия мер к их устранению;

- правильность применения установленной нарядно-допускной системы при выполнении ремонтных и специальных работ;

- поддержание персоналом гигиены труда на рабочих местах;

- исправность и наличие на рабочих местах приспособлений и средств по производственной безопасности.

Каждый руководитель структурного подразделения предприятия должен посещать не менее одного рабочего места в неделю.

Результаты каждого обхода рабочего места должны оформляться записью в оперативном журнале или другом документе, который находится на проверяемом рабочем месте и используется при принятии соответствующих решений.

2.1.7. Третий этап контроля

Обходы по третьему этапу организуются так, чтобы каждое рабочее место контролировалось одним из руководителей не реже одного раза в полугодие.

Руководящие работники и специалисты предприятия при посещении рабочих мест по своим основным функциям обязаны проверять состояние промышленной безопасности и условий труда на объектах, принимать необходимые меры по устранению выявленных недостатков и оказывать руководителям подразделений практическую помощь в их работе.

Каждый руководитель (специалист) предприятия должен посещать не менее одного рабочего места в месяц.

Проверка проводится в объеме второго этапа с одновременной оценкой организации работы по первому и второму этапам контроля.

Результаты проверок по третьему этапу оформляются записью в оперативном журнале (другом документе, находящемся на рабочем месте), или же оформляются приказом (распоряжением) и обсуждаются на производственном совещании предприятия.

2.1.8. Четвертый этап контроля

Руководящие работники и специалисты аппарата управления АО-энсрго не реже одного раза в полугодие осуществляют выборочную проверку организации работы по промышленной безопасности, принимают необходимые меры по устранению выявленных недостатков и оказывают руководителям предприятий практическую помощь в решении вопросов по промышленной безопасности.

Объем проверок и оформление их результатов соответствует третьему этапу.

Проверки осуществляются совместно с главными инженерами-инспекторами Территориального центра «Энерготехнадзора», руководителями и специалистами предприятия.

2.1.9. Пятый этап контроля

Руководящие работники и специалисты аппарата управления регионального филиала (представительства) не реже одного раза в полугодие осуществляют выборочную проверку организации работы по промышленной безопасности, принимают необходимые меры по устранению выявленных недостатков и оказывают руководителям предприятий и акционерных обществ практическую помощь в решении вопросов по промышленной безопасности.

Объем проверок и оформление их результатов соответствует третьему этапу.

Проверки осуществляются совместно с главными инженерами-инспекторами Регионального предприятия «Энерготехнадзора», руководителями и специалистами акционерного общества.

2.1.10. Шестой этап контроля

Руководящие работники и специалисты исполнительного аппарата РАО «ЕЭС России», руководящие работники и специалисты ДГИЭС ежегодно перед прохождением осенне-зимнего максимума нагрузок дают оценку возможности надежного производства и передачи энергии потребителям, а также проводят мероприятия по выявлению и устранению недостатков, снижающих устойчивость работы энергопредприятия или энергосистемы.

Для проверки приказом по РАО «ЕЭС России» назначается комиссия под председательством представителя Департамента генеральной инспекции по эксплуатации электрических станций и сетей. В состав комиссии включаются руководители и специалисты проверяемых энергопредприятий, ТЦ и РП «Энерготехнадзор», филиалов (представительств), а также представители департаментов РАО «ЕЭС России» (по согласованию). Проверка оформляется актом установленной формы.

В целях использования всех возможностей эффективного воздействия на качество эксплуатации и надежность работы энергетического хозяйства не менее двух раз в месяц проводятся отраслевые тематические селекторные совещания. Тематика совещаний планируется на год. Вопросы производственного контроля за соблюдением требований промышленной безопасности на опасных производственных объектах энергопредприятий рассматриваются ежеквартально.

Заблаговременно ставится задача главным инженерам предприятий (АО-энерго. филиалов и пр.), главным инженерам - инспекторам ТЦ и РП «Энерготехнадзор» с привлечением специалистов технических подразделений и инспекторского состава проверить состояние намеченного направления, выявить недостатки и наметить программу их устранения.

На селекторном совещании по материалам, подготавливаемым центрами, и предприятиями «Энерготехнадзора», делается обзор ситуации по прорабатываемой теме, принимаются доклады главных инженеров энергосистем и электростанций о том, что обозначенные направления темы проработаны, и осуществляется их оценка.

При проведении селекторных совещаний устанавливается обязательное нахождение в студии руководителей и специалистов, ответственных за обеспечение надежности оборудования по соответствующим направлениям.

В селекторных совещаниях кроме технических служб АО-энерго (филиалов и пр.) могут участвовать руководители всех предприятий и их структурных подразделений.

2.2. Основные функции системы производственного контроля промышленной безопасности РАО «ЕЭС России»

2.2.1. Общее руководство организацией работ по обеспечению промышленной безопасности в РАО «ЕЭС России», в его структурных подразделениях и на предприятиях осуществляет Председатель Правления Общества.

2.2.2. Член Правления, курирующий направление промышленной безопасности, руководит работой по обеспечению промышленной безопасности, организует и обеспечивает руководство производственным контролем за соблюдением требований промышленной безопасности в РАО «ЕЭС России» со стороны Департамента генеральной инспекции по эксплуатации электрических станций и сетей, осуществляет руководство разработкой программ и планов в области промышленной безопасности, возглавляет Центральную экзаменационную комиссию по проверке знаний нормативных документов по технической эксплуатации, охране труда, промышленной и пожарной безопасности руководителей и специалистов РАО «ЕЭС России».

2.2.3. Департамент генеральной инспекции по эксплуатации электрических станций и сетей РАО «ЕЭС России» в рамках управления системой производственного контроля промышленной безопасности осуществляет следующие функции:

- координация деятельности подразделений исполнительного аппарата, структурных подразделений и предприятий Общества по вопросам промышленной безопасности;

- оперативное и методическое руководство работами по обеспечению промышленной безопасности в РАО «ЕЭС России»:

- организация разработки ведомственных руководящих документов по вопросам промышленной безопасности;

- ведомственный производственный контроль за соблюдением требований промышленной безопасности;

- сбор и обработка информации об опасных производственных объектах Общества (по указанию руководства РАО «ЕЭС России»);

- анализ состояния промышленной безопасности в структурных подразделениях и на предприятиях Общества, в том числе по результатам проведения соответствующих проверок и экспертиз;

- организация комиссий и участие в них (при необходимости) по расследованию технологических нарушений, пожаров и случаев травматизма;

- разработка, согласование и реализация программ, планов и иных организационно-распорядительных документов РАО «ЕЭС России» в рамках системы производственного контроля промышленной безопасности;

- участие в организации проведения работ по оценке, учету и нормированию основных промышленных рисков РАО «ЕЭС России»;

- организация и участие в проверках готовности структурных подразделений и предприятий Общества к локализации инцидентов и аварий и ликвидации их последствий;

- учет и анализ аварий и инцидентов, подготовка обобщенных показателей надежности опасных производственных объектов для представления руководству Общества;

- организация работы Центральной комиссии РАО «ЕЭС России» по проверке знаний нормативных документов по технической эксплуатации, охране труда, промышленной и пожарной безопасности.

2.2.4. Департамент научно-технической политики и развития в рамках системы производственного контроля промышленной безопасности осуществляет следующие функции:

- обобщение отечественного и зарубежного опыта в области внедрения новой техники и технологий, направленных на совершенствование промышленной безопасности;

- участие в разработке основных направлений, концепции и программ технического перевооружения и реконструкции энергетических объектов, исхода из долгосрочных прогнозов развития электроэнергетики с учетом экологических требований, а также в целях надежного функционирования объединенных энергетических систем и ЕЭС России в целом;

- организация и проведение комплексных технико-экономических и экологических экспертиз, а также анализ результатов выполнения научно-исследовательских, проектных и других работ. Представление руководству Общества обоснованных рекомендаций по их использованию в интересах Общества и отрасли;

- планирование и финансирование научно-исследовательских и опытно-конструкторских работ по оценке, учету и нормированию основных промышленных рисков, декларированию опасных производственных объектов и проведению экспертиз промышленной безопасности на предприятиях РАО «ЕЭС России»;

- методическое обеспечение лицензирования опасной производственной деятельности, экспертной деятельности, декларирования промышленной безопасности и сертификации, оценки риска и страхования опасных производственных объектов Общества;

- осуществление контроля за соответствием разрабатываемых в рамках НИОКР оборудования, аппаратуры и технологий требованиям промышленной безопасности;

- взаимодействие с Госгортехнадзором России при разработке и введении в действие отраслевых нормативно-технических документов.

2.2.5. Департамент электрических станций в рамках системы производственного контроля промышленной безопасности осуществляет следующие функции:

- осуществление совместно с ДГИЭС политики эффективного использования установленной мощности с обеспечением безаварийной и надежной работы электростанций Общества;

- осуществление единой технической политики в области эксплуатации основного и вспомогательного оборудования, зданий и сооружений, автоматики и систем регулирования электростанций;

- организация совместно с ДГИЭС разработки и исполнения планов подготовки электростанции Общества к работе в осенне-зимний период, паводковым и грозовым сезонам, координация этих работ на электростанциях Общества;

- организация обследований гидротехнических сооружений электростанций РАО «ЕЭС России» в рамках системы отраслевого надзора за безопасностью гидротехнических сооружений;

- анализ и обобщение результатов деятельности электростанций Общества, выявление негативных тенденций и принятие мер по их устранению, контроль за реализацией мероприятий;

- участие в работе комиссий по расследованию аварий и крупных нарушений в работе электростанций Общества, разработке противоаварийных мероприятий, в подготовке эксплуатационных и противоаварийных циркуляров и координация действий по устранению последствий крупных аварий на электростанциях Общества;

- организация разработки правил использования водных ресурсов водохранилищ гидроузлов электростанций РАО «ЕЭС России»;

- организация разработки и контроль выполнения планов природоохранных мероприятий на электростанциях Общества;

- контроль за разработкой электростанциями РАО «ЕЭС России» деклараций безопасности гидротехнических сооружений;

- контроль и участие в подготовке к эксплуатации вновь вводимых и реконструируемых электростанций (блоков) за счет федерального бюджета, либо с привлечением средств Общества;

- организация диагностики состояния основного оборудования электростанций Общества по ремонту, модернизации энергетического оборудования и внедрению в энергоремонтное производство передовых технологий;

- разработка и обеспечение выполнения программ и планов ремонтных работ, модернизации оборудования и сооружений;

- решение, совместно с Департаментом технического перевооружения и совершенствования энергоремонта, вопросов совершенствования организации и управления энергоремонтным производством, внедрения новых технологий.

2.2.6. Департамент электрических сетей в рамках системы производственного контроля промышленной безопасности осуществляет следующие функции:

- организация работы по повышению эффективности эксплуатации и совершенствованию управления электрических сетей Общества, охране окружающей среды, повышению безопасности труда и снижению аварийности;

- обеспечение готовности электрических сетей Общества к работе в осенне-зимний максимум нагрузки, паводковый и грозовой сезоны;

- разработка мер по проведению ремонтов, содержанию в исправном и безопасном состоянии зданий и сооружений электросетевых объектов Общества, организации испытаний линий электропередачи, оборудования и аппаратуры подстанций, схем и технологий в электрических сетях;

- разработка мер по выполнению аварийно-восстановительных работ, организации комплектования и хранения в исправном состоянии аварийного запаса оборудования и материалов для электрических сетей Общества;

- разработка мер по исполнению программ по техническому перевооружению электрических сетей Общества, в том числе работ по замене вышедшего из строя, физически и морально устаревшего оборудования.

2.2.7. Департамент технического перевооружения и совершенствования энергоремонта в рамках системы производственного контроля промышленной безопасности осуществляет следующие функции:

- формирование и осуществление технической политики в области технического перевооружения и ремонта энергетических объектов Общества;

- формирование технических требований к ремонту энергетических объектов Общества, а также совершенствование организации энергоремонтного производства на основе внедрения прогрессивных видов техники и технологий;

- разработка и реализация направлений модернизации основных производственных фондов и программ технического перевооружения и реконструкции энергетических объектов Общества.

2.2.8. Департамент экономического планирования и анализа в рамках системы производственного контроля промышленной безопасности осуществляет следующие функции:

- организация представления предприятиями Холдинга РАО «ЕЭС России» в Федеральную энергетическую комиссию России и Региональные энергетические комиссии обосновывающих материалов по включению в тарифы на энергию затрат на реализацию мероприятий по промышленной безопасности, необходимых для ликвидации аварий и инцидентов;

- защита в ФЭК России затрат по программе обеспечения промышленной безопасности РАО «ЕЭС России» в составе абонентной платы за услуги по организации функционирования и развития ЕЭС России;

- включение в план экономических показателей РАО «ЕЭС России» затрат по программе обеспечения промышленной безопасности РАО «ЕЭС России» в согласованных с ФЭК России размерах.

2.2.9. Центральное диспетчерское управление в рамках системы производственного контроля промышленной безопасности принимает оперативные меры по отключению и выводу из эксплуатации электротехнического оборудования и линий электропередачи при возникновении дефектов, представляющих угрозу для жизни персонала и населения, а также обеспечивает передачу срочных оперативных сообщений о каждом технологическом нарушении в работе предприятий РАО «ЕЭС России» в течение времени, определенного «Регламентом оперативных диспетчерских сообщений о технологических нарушениях в работе энергопредприятий и энергосистем, имеющих признаки аварии и (или) социально-значимые последствия».

2.3. Взаимодействие РАО «ЕЭС России» с Госгортехнадзором России

Общее взаимодействие с Госгортехнадзором России по вопросам обеспечения промышленной безопасности опасных производственных объектов Общества осуществляет Департамент генеральной инспекции по эксплуатации электрических станций и сетей РАО «ЕЭС России».

2.4. Информационное и методическое обеспечение системы производственного контроля промышленной безопасности РАО «ЕЭС России»

2.4.1. В рамках информационного обеспечения системы производственного контроля промышленной безопасности решаются следующие задачи:

- формирование информационных ресурсов Общества, в том числе информационного фонда документов;

- формирование и ведение информационных систем по аварийности и производственному травматизму;

- сбор и обработка информации о регистрации опасных производственных объектов Общества в Государственном реестре;

- взаимодействие и обмен информацией с информационными фондами органов государственного управления, а также с центральным аппаратом Госгортехнадзора России и его территориальными органами.

2.4.2. Информационное обеспечение в рамках системы производственного контроля промышленной безопасности осуществляется в соответствии с действующими в Обществе нормативными документами.

2.4.3. Обязательными сведениями, представляемыми в Департамент генеральной инспекции по эксплуатации электрических станций и сетей всеми филиалами, дочерними и зависимыми акционерными обществами РАО «ЕЭС России», являются:

- сведения о тяжелых и смертельных случаях, авариях 1 и 2 категории, крупных пожаров- незамедлительно (предварительная информация направляется электронной почтой или факсом в течение суток);

- акты и приказы специальных расследований по тяжелым несчастным случаям, пожарам, случаям со смертельным исходом - по истечении недели со дня завершения расследования;

- сведения по формам статистической отчетности по аварийности, травматизму и пожарам - ежемесячно и ежеквартально.

3. ФУНКЦИИ ПОДРАЗДЕЛЕНИЙ И ПЕРСОНАЛА ДОЧЕРНИХ ОБЩЕСТВ РАО «ЕЭС РОССИИ» В РАМКАХ СИСТЕМЫ ПРОИЗВОДСТВЕННОГО КОНТРОЛЯ ПРОМЫШЛЕННОЙ БЕЗОПАСНОСТИ

3.1. Общие положения

3.1.1. В филиалах, дочерних и зависимых акционерных обществах, имеющих в своем составе подразделения с опасными производственными объектами, создаются и функционируют соответствующие системы производственного контроля промышленной безопасности. Функции подразделений, руководящего состава и специалистов в рамках системы производственного контроля устанавливаются Положениями о производственном контроле каждого филиала, дочернего и зависимого акционерного общества РАО «ЕЭС России». Данные Положения разрабатываются на основе "Типового Положения о производственном контроле за соблюдением требований промышленной безопасности на опасных производственных объектах АО-энерго" приведенного в приложении 5 настоящего Положения. Они согласовываются руководством территориальных органов Госгортехнадзора России и утверждаются генеральным директором филиала или акционерного общества.

3.1.2. Ответственность за организацию системы производственного контроля промышленной безопасности на подведомственных предприятиях возлагается на руководителя филиала (акционерного общества).

3.1.3. Общее руководство системой производственного контроля возлагается ив главного инженера филиала (акционерного общества).

3.1.4. Методическое руководство системой производственного контроля промышленной безопасности филиалов и дочерних акционерных обществ я регионе возлагается на руководителя Регионального предприятия «Энерготехнадзора» (РП ЭТН) РАО «ЕЭС России».

3.1.5. Оперативное руководство и координация работ по производственному контролю в филиале (акционерном обществе) возлагается на заместителя главного инженера (начальника службы надежности и техники безопасности) филиала (акционерного общества) или специально назначенное лицо.

3.1.6. Методическое руководство системой производственного контроля промышленной безопасности акционерного общества (энергопредприятия) возлагается на руководителя Территориального центра «Энерготехнадзора» (РЦ ЭТН) РАО «ЕЭС России».

3.1.7. Обязанности должностных лиц филиалов (акционерных обществ), изложенные в настоящем разделе, являются типовыми для перечня должностей.

Конкретные обязанности работников филиалов (дочерних обществ) в рамках системы производственного контроля отражаются в Положениях о производственном контроле за соблюдением требований промышленной безопасности на опасных производственных объектах каждого филиала и дочернего акционерного общества.

При этом, указанные в соответствующих пунктах, обязанности могут перераспределяться между руководящими работниками и специалистами с учетом существующей структуры и перечня должностей.

3.2. Функции руководства филиала в рамках системы производственного контроля промышленной безопасности

3.2.1. Руководитель филиала:

- организует систему производственного контроля промышленной безопасности подведомственных структурных подразделений, руководствуясь при этом настоящим Положением:

- осуществляет общее руководство производственным контролем и финансированием мероприятий при его проведении в подведомственных структурных подразделениях;

- контролирует соблюдение работниками филиала требований промышленной безопасности, выполнения приказов, распоряжений и указаний вышестоящих органов управления Общества, предписаний контролирующих органов;

- определяет конкретные обязанности своих заместителей в рамках системы производственного контроля по направлениям их деятельности, утверждает должностные инструкции для работников аппарата управления и руководителей подведомственных структурных подразделений;

- один раз в год рассматривает вопросы о состоянии промышленной безопасности на совещании с руководителями подведомственных структурных подразделений;

- утверждает структуру системы производственного контроля промышленной безопасности в подведомственных структурных подразделениях, руководствуясь при этом настоящим Положением;

- контролирует выполнение руководящими работниками аппарата управления своих функциональных обязанностей в рамках системы производственного контроля и принимает меры по повышению их ответственности за соблюдение требований промышленной безопасности, своевременным выполнением намеченных мероприятий и предписаний контролирующих органов.

3.2.2. Главный инженер филиала:

- руководит системой производственного контроля промышленной безопасности подведомственных структурных подразделений;

- организует и обеспечивает внедрение в производство новейших достижении науки и техники в области промышленной безопасности, а также мероприятий по обеспечению надежной эксплуатации производственного оборудования;

- организует разработку и обеспечивает внедрение прогрессивных систем и форм производственного контроля;

- организует и возглавляет работу комиссии производственного контроля в филиале;

- контролирует обеспечение главными специалистами соответствия технологии производства, оборудования, зданий и сооружений требованиям стандартов, норм, правил и руководящих документов по промышленной безопасности;

- осуществляет контроль за выполнением руководящими работниками и главными специалистами правил, приказов руководителя филиала, распоряжений вышестоящих органов управления Общества и предписаний контролирующих органов;

- осуществляет общее руководство разработкой деклараций промышленной безопасности опасных производственных объектов подведомственных структурных подразделений;

- согласовывает перечень основных рисков на опасных производственных объектах подведомственных структурных подразделений, подлежащих страхованию: руководит разработкой, организует рассмотрение и утверждение в установленном порядке организационно-технических мероприятий по обеспечению промышленной безопасности, предупреждению аварий и инцидентов на опасных производственных объектах подведомственных структурных подразделений, организует контроль за их выполнением;

- периодически (не реже одного раза в год), возглавляя комиссию пятого этапа производственного контроля, выборочно проверяет организацию работы по обеспечению промышленной безопасности в подведомственных структурных подразделениях;

- возглавляя комиссию, проводит аттестацию руководящих работников и главных специалистов подведомственных структурных подразделений и инженерно-технических работников аппарата управления филиала в области промышленной безопасности;

- принимает участие в расследовании и разработке мероприятий по авариям, групповым несчастным случаям с возможным инвалидным исходом и несчастным случаям со смертельным исходом.

3.2.3. Заместитель главного инженера (начальник службы надежности и техники Безопасности) филиала:

- осуществляет оперативное руководство и координацию работ по производственному контролю за соблюдением требований промышленной безопасности в подведомственных структурных подразделениях Общества:

- совместно с другими службами филиала и самостоятельно осуществляет контроль за соблюдением требований промышленной безопасности, стандартов, норм, правил и иных нормативных документов по вопросам промышленной безопасности, выполнением приказов и указаний вышестоящих органов управления Общества и предписаний контролирующих органов;

- организует проведение экспертизы промышленной безопасности в подведомственных структурных подразделениях Общества;

- организует подготовку ежегодной информации о состоянии промышленной безопасности в подведомственных структурных подразделениях;

- совместно с соответствующими управлениями (отделами) и службами разрабатывает мероприятия по обеспечению промышленной безопасности, предупреждению аварий и инцидентов на опасных производственных объектах подведомственных структурных подразделений, участвует в формировании планов работы службы и осуществляет контроль за их выполнением;

- обеспечивает контроль за правильной организацией и безопасным велением работ, за соответствием технологических процессов нормативным требованиям промышленной безопасности, за техническое состояние и правильную эксплуатацию машин и оборудования, зданий и сооружений;

- координирует работу управлений, отделов и служб филиала в подготовке деклараций промышленной безопасности опасных производственных объектов подведомственных структурных подразделений;

- участвует в работе комиссии производственного контроля филиала;

- организует работу и участвует в составе комиссии по аттестации руководящих работников и главных специалистов подведомственных структурных подразделений и инженерно-технических работников аппарата управления филиала в области промышленной безопасности;

- подготавливает предложения (проекты приказов, решений, указаний, распоряжений, справки) для руководства филиала по вопросам производственного контроля промышленной безопасности;

- участвует в расследовании аварий и инцидентов на производстве, анализирует их причины и разрабатывает мероприятия по их предупреждению;

- ведет учет аварий и инцидентов, происшедших на производстве, осуществляет контроль за выполнением мероприятий по их предупреждению;

- доводит до руководства филиала сведения о происшедших авариях и инцидентах на опасных производственных объектах подведомственных структурных подразделений, а также об авариях и инцидентах, происшедших на других предприятиях Общества.

3.2.4. Региональные предприятия «Энерготехнадзора» (РП ЭТН) в рамках системы производственного контроля промышленной безопасности осуществляют следующие функции:

- организация и проведение проверок состояния промышленной безопасности из опасных производственных объектах поднадзорных структурных подразделений и предприятий;

опрос работников в ходе контрольных проверок состояния оборудования и безопасности на рабочих местах;

- отстранение от производства работ отдельных лиц и бригад, показавших неудовлетворительные знания в части охраны труда и/или нарушающих требования промышленной безопасности, а также установленную технологию производства работ;

- анализ обнаруженных нарушений требований промышленной безопасности на опасных производственных объектах поднадзорных структурных подразделений и предприятий и подготовка на его основе предложений для ДГИЭС;

- организация целевых проверок по поручению ДГИЭС;

- участие в комплексных проверках состояния промышленной безопасности на опасных производственных объектах поднадзорных структурных подразделений и предприятий;

- заслушивание совместно с представителями центрального аппарата РАО «ЕЭС России» и МЭС технических руководителей предприятий о состоянии промышленной безопасности, выполнении профилактических мероприятий, готовности к локализации инцидентов и аварий и ликвидации их последствий;

- организация проверок и анализ исполнения организационно-распорядительных документов по результатам производственного контроля;

- представление в ДГИЭС документов по результатам проверок состояния промышленной безопасности на опасных производственных объектах поднадзорных структурных подразделений и предприятий;

- сбор информации через территориальные центры об опасных производственных объектах Общества и представление ее в Департамент генеральной инспекции по эксплуатации электрических станций и сетей по его требованию;

- организация и участие в проверке знаний руководителями поднадзорных структурных подразделений и предприятий руководящих документов по промышленной безопасности в составе Центральной экзаменационной комиссии РАО «ЕЭС России» и ее филиалах при РП ЭТН;

- организация и проведение в Центральной региональной комиссии или в комиссии при РП ЭТН внеочередных проверок знаний руководящих документов по промышленной безопасности у технических руководителей поднадзорных структурных подразделений и предприятий в случаях выявления фактов грубого нарушения их требований или повышенного уровня производственного травматизма на данных предприятиях;

- участие а расследовании несчастных случаев, аварий и инцидентов на опасных производственных объектах поднадзорных структурных подразделений и предприятий;

- подготовка предложений по совершенствованию технологического оборудования и процессов с целью повышения их безопасности;

- использование в своей работе АРМ СОТ (в необходимой, в соответствии с функциями по производственному контролю, части).

3.3. Функции руководства акционерного общества в рамках системы производственного контроля промышленной безопасности

3.3.1. Руководитель акционерного общества:

- организует систему производственного контроля промышленной безопасности подведомственных предприятий, руководствуясь при этом настоящим Положением:

- осуществляет общее руководство производственным контролем и финансированием мероприятий при его проведении на подведомственных предприятиях;

- контролирует соблюдение работниками акционерного общества требований промышленной безопасности, выполнения приказов, распоряжений и указаний вышестоящих органов управления Общества, предписаний контролирующих органов;

- определяет конкретные обязанности своих заместителей в рамках системы производственного контроля по направлениям их деятельности, утверждает должностные инструкции для работников аппарата управления и руководителей подведомственных предприятий;

- одни раз в год рассматривает вопросы о состоянии промышленной безопасности на совещании с руководителями подведомственных предприятий;

- утверждает структуру системы производственного контроля промышленной безопасности на подведомственных предприятиях, руководствуясь при этом настоящим Положением;

- контролирует выполнение руководящими работниками аппарата управления акционерного общества своих функциональных обязанностей в рамках системы производственного контроля и принимает меры по повышению их ответственности за соблюдение требований промышленной безопасности, своевременным выполнением намеченных мероприятий и предписаний контролирующих органов.

3.32. Главный инженер акционерного общества:

- руководит системой производственного контроля промышленной безопасности акционерного общества;

- организует и обеспечивает внедрение в производство новейших достижений науки и техники в области промышленной безопасности, а также мероприятий по обеспечению надежной эксплуатации производственного оборудования на подведомственных предприятиях;

- организует разработку и обеспечивает внедрение прогрессивных систем и форм производственного контроля;

- организует и возглавляет работу комиссии производственного контроля в акционерном обществе;

- контролирует обеспечение главными специалистами соответствия технологии производства, оборудования, зданий и сооружений требованиям стандартов, норм, правил и руководящих документов по промышленной безопасности;

- осуществляет контроль за выполнением руководящими работниками и главными специалистами правил, приказов руководителя акционерного общества, распоряжений вышестоящих органом управления Общества и предписаний контролирующих органов;

- осуществляет общее руководство разработкой деклараций промышленной безопасности опасных производственных объектов подведомственных акционерному обществу предприятий;

- определяет и согласовывает перечень основных рисков на опасных производственных объектах подведомственных акционерному обществу предприятий, подлежащих страхованию;

- руководит разработкой, организует рассмотрение и утверждение в установленном порядке организационно-технических мероприятий по обеспечению промышленной безопасности, предупреждению аварий и инцидентов на опасных производственных объектах подведомственных акционерному обществу предприятий, организует контроль за их выполнением;

- периодически (не реже одного раза в год), возглавляя комиссию четвертого этапа производственного контроля, выборочно проверяет организацию работы по обеспечению промышленной безопасности в подведомственных акционерному обществу предприятиях;

- возглавляя комиссию, проводит аттестацию руководящих работников и главных специалистов подведомственных акционерному обществу предприятий и инженерно-технических работников аппарата управления акционерного общества в области промышленной безопасности;

- принимает участие в расследовании и разработке мероприятий по авариям, групповым несчастным случаям с возможным инвалидным исходом и несчастным случаям со смертельным исходом.

3.3.3. Заместитель главного инженера (начальник службы надежности и техники безопасности) акционерного общества:

- осуществляет оперативное руководство и координацию работ по производственному контролю за соблюдением требований промышленной безопасности на подведомственных акционерному обществу предприятиях;

- совместно с другими службами акционерного общества и самостоятельно осуществляет контроль за соблюдением требований промышленной безопасности, стандартов, норм, правил и иных нормативных документов по вопросам промышленной безопасности, выполнением приказов и указаний вышестоящих органов управления Общества и предписаний контролирующих органов;

- организует проведение экспертизы промышленной безопасности на подведомственных акционерному обществу предприятиях;

- организует подготовку ежегодной информации о состоянии промышленной безопасности на подведомственных акционерному обществу предприятиях;

- совместно с соответствующими управлениями (отделами) и службами разрабатывает мероприятия по обеспечению промышленной безопасности, предупреждению аварий и инцидентов на опасных производственных объектах подведомственных акционерному обществу предприятий, участвует в формировании планов работы управления (отдела) и осуществляет контроль за их выполнением;

- обеспечивает контроль за правильной организацией и безопасным ведением работ, за соответствием технологических процессов нормативным требованиям промышленной безопасности, за техническое состояние и правильную эксплуатацию машин и оборудования, зданий и сооружений;

- координирует работу управлений, отделов и служб акционерного общества в подготовке деклараций промышленной безопасности опасных производственных объектов подведомственных акционерному обществу предприятий;

- участвует в работе комиссии производственного контроля акционерного общества;

- организует работу и участвует в составе комиссии по аттестации руководящих работников и главных специалистов подведомственных акционерному обществу предприятий и инженерно-технических работников аппарата управления акционерного общества в области промышленной безопасности;

- подготавливает предложения (проекты приказов, решений, указаний, распоряжений, справки) для руководства акционерного общества по вопросам производственного контроля промышленной безопасности;

- участвует в расследовании аварий и инцидентов на производстве, осуществляет контроль за выполнением мероприятий по их предупреждению;

- ведет учет аварий и инцидентов, происшедших на производстве, анализирует их причины и разрабатывает мероприятия по их предупреждению;

- доводит до руководства акционерного общества сведения о происшедших авариях и инцидентах на опасных производственных объектах подведомственных акционерному обществу предприятий, а также об авариях и инцидентах, происшедших на других предприятиях Общества.

3.3.4. Территориальные центры «Энерготехнадзора» (ТЦ ЭТН) в рамках системы производственного контроля промышленной безопасности осуществляют следующие функции:

- проведение проверок состояния промышленной безопасности на опасных производственных объектах поднадзорных предприятий в соответствии с планами, утвержденными РП ЭТН;

- опрос работников в ходе контрольных проверок состояния оборудования и рабочих мест по безопасности производства работ;

- отстранение от производства работ отдельных лиц и бригад, показавших неудовлетворительные знания в части охраны труда и/или нарушающих требования промышленной безопасности, а также установленную технологию производства работ;

- наложение запрета на работу оборудования, эксплуатацию зданий и сооружений поднадзорных предприятий в тех случаях, когда превышение установленных в НТД критериев безопасного состояния может привести к аварии, а также при угрозе жизни и здоровью людей;

- анализ обнаруженных нарушений требований промышленной безопасности на опасных производственных объектах поднадзорных предприятий и подготовка на его основе предложений по профилактическим мероприятиям;

- проведение по поручению ДГИЭС и РП ЭТН целевых проверок;

- участие в комплексных и тематических проверках состояния промышленной безопасности на опасных производственных объектах поднадзорных предприятий в соответствии с планами, утвержденными РП ЭТН;

- проверка исполнения организационно-распорядительных документов по результатам производственного контроля;

- представление в РП ЭТН и ДГИЭС документов и справок по результатам проверок состояния промышленной безопасности на опасных производственных объектах поднадзорных предприятий;

- формирование и передача в РП ЭТН информационных сведений о регистрации опасных производственных объектов в Государственном реестре на основании копий карт учета, представляемых поднадзорными предприятиями;

- выдача предписаний по внеочередным проверкам знаний персонала предприятий при обнаружении допущенных им грубых нарушений требований промышленной безопасности;

- контроль за подготовкой персонала в учебных центрах предприятий; анализ программ и качества обучения персонала, допуска к самостоятельной работе после обучения;

- участие в расследовании несчастных случаев, аварий и инцидентов на опасных производственных объектах поднадзорных предприятий;

- подготовка предложений по совершенствованию технологического оборудования и процессов с целью повышения их безопасности;

- использование в своей работе АРМ СОТ (в необходимой в соответствии с функциями по производственному контролю части).

3.3.5. Оперативное взаимодействие с территориальными органами Госгортехнадзора России по вопросам обеспечения промышленной безопасности опасных производственных объектов предприятий Общества осуществляют руководители предприятий РАО «ЕЭС России», а также Региональные предприятия и Территориальные центры «Энерготехнадзора» РАО «ЕЭС России».

4. ОТВЕТСТВЕННОСТЬ ПЕРСОНАЛА РАО «ЕЭС РОССИИ» ЗА НАРУШЕНИЯ ТРЕБОВАНИЙ, НОРМ, ПРАВИЛ И ИНСТРУКЦИЙ ПО ПРОМЫШЛЕННОЙ БЕЗОПАСНОСТИ

4.1. Общие положения

4.1.1. Ответственность работников (руководителей, специалистов, рабочих, служащих) является составной частью профилактических мер в области промышленной безопасности и направлена на повышение эффективности системы производственного контроля.

Ответственность работников позволяет:

- совместно с иными формами профилактической работы привести в единую систему деятельность руководителей и специалистов, а также контролирующих лиц по обеспечению промышленной безопасности опасных производственных объектов;

- оценивать уровень профилактической работы в области промышленной безопасности;

- регулярно получать информацию о состоянии машин, оборудования, инструмента и рабочих мест с точки зрения их безопасности (безопасной эксплуатации) и принимать меры к устранению недостатков;

- получать данные о выполнении работниками требований руководящих документов и принимать меры дисциплинарного воздействия к нарушителям.

4.1.2. Работники, виновные в нарушении законодательства, требований промышленной безопасности, невыполнении обязательств по коллективным договорам и соглашениям по охране труда, невыполнении предписаний контролирующих органов, а также приказов, указаний и распоряжений руководства Общества, его структурных подразделений и предприятий, несут ответственность в установленном законодательством Российской Федерации порядке.

В зависимости от характера и степени нарушений работники могут привлекаться к дисциплинарной, административной, уголовной и материальной ответственности, а также к ним могут применяться меры общественного воздействия.

4.1.3. Выдача руководителями указаний или распоряжений, вынуждающих подчиненных работников нарушать правила и инструкции по безопасности, самовольно возобновлять работы, приостановленные представителями контролирующих органов, а также бездействие руководителей по устранению нарушений, которые допускаются в их присутствии подчиненными работниками, являются грубыми нарушениями норм безопасности. Нарушение норм безопасности рассматривается, как нарушение производственной дисциплины, а неспособность руководителя обеспечить надлежащую производственную дисциплину на порученном участке работы расценивается как его несоответствие занимаемой должности.

4.1.4. Незнание работниками законодательства по промышленной безопасности, правил и норм безопасности в пределах круга их должностных обязанностей и выполняемой работы не снимает с них ответственности за допущенные нарушения.

4.2. Дисциплинарная ответственность работников

4.2.1. Дисциплинарная ответственность предусматривает наложение на работников дисциплинарных взысканий, предусмотренных правилами внутреннего трудового распорядка.

4.2.2. Порядок применения мер дисциплинарного воздействия за нарушение требований промышленной безопасности.

4.2.2.1. За нарушения трудовой дисциплины, выразившиеся в несоблюдении требований по охране труда, к нарушителям (недисциплинированным работникам) должно быть применено одно из следующих дисциплинарных взысканий: замечание, выговор, увольнение по соответствующим основаниям.

Выбор взыскания осуществляется администрацией с учетом тяжести совершенного проступка, обстоятельств его совершения, а также предшествующего поведения работника.

Взыскание может быть наложено не позднее месяца со дня обнаружения проступка и не позднее 6 месяцев со дня его совершения (в этот срок не засчитывается время болезни работника, пребывание его в отпуске, а также время, необходимое на учет мнения представительного органа работников).

4.2.2.2. Если в течение года со дня применения дисциплинарного взыскания работник не будет подвергнут новому дисциплинарному взысканию, то он считается не имеющим дисциплинарного взыскания.

4.2.2.3. При систематических нарушениях требований охраны труда (если хотя бы за одно из нарушений на работника ранее уже налагалось дисциплинарное взыскание, при условии, что это взыскание является действующим) нарушитель наказывается, а по усмотрению руководства увольняется в соответствии со ст. 81 "Трудового кодекса РФ".

За нарушение работником требований по охране труда, если это нарушение повлекло за собой тяжкие последствия (несчастный случай на производстве, авария, катастрофа) либо заведомо создавало реальную угрозу наступления таких последствий, работник может быть уволен по ст. 81 п. 6д "Трудового кодекса РФ".

4.2.2.4. За допущенные нарушения, наряду с наложением дисциплинарного взыскания, с учетом тяжести и обстоятельств проступка, предшествующего поведения, работник лишается премии или ее размер должен быть снижен. В порядке подчиненности к дисциплинарной ответственности за нарушение законодательства об охране труда, требований промышленной безопасности привлекаются следующие категории работников:

- руководители предприятий, их заместители, главные инженеры и другие главные специалисты;

- начальники цехов, служб, отделов, лабораторий, мастерских и других подразделений;

- мастера, начальники участков, смен и др.

Рабочие за нарушения правил и норм по охране труда, инструкций по охране труда, по безопасному ведению работ к дисциплинарной ответственности привлекаются, как за нарушение трудовой дисциплины. Отказ или уклонение без уважительных причин от медицинского освидетельствования, а также отказ работника от прохождения в рабочее время специального обучения или сдачи экзаменов по охране труда/технике безопасности считается нарушением трудовой дисциплины, если это является обязательным условием допуска к работе.

Каждый работник имеет право на отказ от выполнения работ в случае возникновения опасности для его жизни и здоровья вследствие нарушения требований охраны труда, за исключением случаев, предусмотренных федеральными законами, до устранения такой опасности.

4.2.3. Дисциплинарные взыскания за нарушения законодательства об охране труда, требований промышленной безопасности могут налагаться на должностных лиц в общеустановленном порядке в зависимости от уровня принятия мер вышестоящими органами, администрацией предприятия и должностными лицами, имеющими на то право.

4.2.4. Профсоюзные органы в случае необходимости могут вносить предложения о привлечении к дисциплинарной ответственности должностных лиц за нарушение законодательства об охране труда, требований промышленной безопасности.

4.2.5. Работники органов государственного надзора, государственные инспектора по охране труда, работники прокуратуры имеют право вносить соответствующие представления руководству предприятий о привлечении к дисциплинарной ответственности должностных лиц, систематически нарушающих законодательство по промышленной безопасности и охране труда, а также требования промышленной безопасности.

4.3. Административная ответственность работников

4.3.1. Административная ответственность за нарушение законодательства о труде и законодательства об охране труда, за неоднократное нарушение правил, норм и инструкции по безопасному ведению работ в промышленности предусматривает наложение па должностных лиц денежного штрафа в соответствии с "Кодексом РФ об административных правонарушениях".

4.3.2. Виновные должностные лица привлекаются к административной ответственности, если они своим действием или бездействием допустили нарушения законодательства о труде, об охране труда, требований промышленной безопасности.

4.3.3. Должностные лица привлекаются к административной ответственности в том случае, если нарушение не содержит признаков преступления.

4.4. Уголовная ответственность работников

4.4.1. Уголовная ответственность возникает, если деяние повлекло но неосторожности причинение тяжкого или средней тяжести вреда здоровью человека, а также смерть человека или иные тяжкие последствия при авариях, пожарах и т.д.

4.4.2. Уголовная ответственность должностных лиц предусмотрена УК РФ за нарушение правил охраны труда, правил безопасности при проведении горных, строительных и иных работ, правил безопасности на взрывоопасных объектах, а также правил пожарной безопасности.

4.5. Материальная ответственность работников

4.5.1. Работники, причинившие ущерб предприятию в результате допущенных ими нарушений требований промышленной безопасности, помимо дисциплинарной, административной и уголовной ответственности несут также материальную ответственность.

4.5.2. Материальная ответственность работников за нарушение законодательства об охране груда, требований промышленной безопасности выражается во взыскании с них полностью или частично сумм, выплаченных предприятием потерпевшему при авариях и несчастных случаях, профессиональных заболеваниях, ином ущербе.

ПРИЛОЖЕНИЕ 1.

СТРУКТУРА РАО «ЕЭС РОССИИ»

ПРИЛОЖЕНИЕ 2.

ОСНОВНЫЕ ТЕРМИНЫ И ОПРЕДЕЛЕНИЯ

Авария - разрушение сооружений и (или) технических устройств, применяемых на опасном производственном объекте, неконтролируемые взрыв и (или) выброс опасных веществ.

Заключение экспертизы - документ, содержащий обоснованные выводы о соответствии или несоответствии объекта экспертизы требованиям промышленной безопасности.

Инцидент - отказ или повреждение технических устройств, применяемых на опасном производственном объекте, отклонение от режима технологического процесса, нарушение положений федеральных законов и иных нормативных правовых актов Российской Федерации, а также нормативных технических документов, устанавливающих правила ведения работ на опасном производственном объекте.

Лицензия - разрешение (право) на осуществление лицензируемого вида деятельности при обязательном соблюдении лицензионных требований и условий, выданное лицензирующим органом юридическому лицу или индивидуальному предпринимателю.

Объекты экспертизы - проектная документация, технические устройства, здания и сооружения на опасном производственном объекте, декларации промышленной безопасности и иные документы, связанные с эксплуатацией опасного производственного объекта.

Пожар - неконтролируемое горение, причиняющее материальный ущерб, вред жизни и здоровью граждан, интересам общества и государства.

Производственный контроль за соблюдением требований промышленной безопасности на опасном производственном объекте (производственный контроль) - комплекс мероприятий, направленных на обеспечение безопасного функционирования опасных производственных объектов, а также на предупреждение аварий на этих объектах и обеспечение готовности к локализации и ликвидации их последствий.

Промышленная безопасность опасных производственных объектов (промышленная безопасность) - состояние защищенности жизненно важных интересов личности и общества от аварий на опасных производственных объектах и последствий указанных аварий.

Система производственного контроля промышленной безопасности - совокупность органов управления, сил и средств предприятия, обеспечивающих выполнение комплекса мероприятий по контролю за соблюдением требований федерального законодательства, общероссийских норм и правил, а также ведомственной нормативной документации в области промышленной безопасности на опасных производственных объектах данного предприятия.

Система экспертизы промышленной безопасности (система экспертизы) - совокупность участников экспертизы промышленной безопасности, а также норм, правил, методик, условий, критериев и процедур, в рамках которых организуется и осуществляется экспертная деятельность.

Требования промышленной безопасности - условия, запреты, ограничения и другие обязательные требования, содержащиеся в федеральных законах и иных нормативных правовых актах Российской Федерации, а также в нормативных технических документах, которые принимаются в установленном порядке, и соблюдение которых обеспечивает промышленную безопасность.

Экспертиза промышленной безопасности (экспертиза) - оценка соответствия объекта экспертизы предъявляемым к нему требованиям промышленной безопасности, результатом которой является заключение.

Экспертная организация - организация, имеющая лицензию Госгортехнадзора России на проведение экспертизы промышленной безопасности в соответствии с действующим законодательством.

ПРИЛОЖЕНИЕ 3.

ПЕРЕЧЕНЬ ОСНОВНЫХ ЗАКОНОДАТЕЛЬНЫХ И ОРГАНИЗАЦИОННЫХ НОРМАТИВНО-ПРАВОВЫХ АКТОВ В ОБЛАСТИ ПРОМЫШЛЕННОЙ БЕЗОПАСНОСТИ

ЗАКОНЫ РОССИЙСКОЙ ФЕДЕРАЦИИ И ФЕДЕРАЛЬНЫЕ ЗАКОНЫ

1. Закон Российской Федерации «О безопасности» от 05.03.92 г. № 2446/1-1 ст. 12 (Ведомости Верховного Совета РСФСР, 1992. № 15. ст. 769) в редакции от 24.12.93 г. (Собрание актов Президента и Правительства Российской Федерации, 1993. № 52. ст. 5086).

2. Федеральный закон «Об организации страхового дела в Российской Федерации» от 20.11.99 № 204-ФЗ.

3. Закон Российской Федерации «О сертификации продукции и услуг» от 10.06.93 г. № 1515-1 (Ведомости Съезда народных депутатов Российской Федерации и Верховного Совета Российской Федерации, 1993, № 26, ст. 966; Собрание законодательства Российской Федерации, 1996, № 1 ст. 4, № 10 ст. 1143 с изменениями от 31.07.98 г. № 154-ФЗ, Постановление Конституционного суда РФ от 22.11.2001).

4. Федеральный закон «Об основах охраны труда в Российской Федерации» от 17.07.99 г. № 181-ФЗ.

5. Федеральный закон «О защите населения и территорий от чрезвычайных ситуаций природного и техногенного характера» от 21.12.94 г. № 68-ФЗ (Собрание законодательства Российской Федерации, 1995. № 8, ст. 609).

6. Федеральный закон «О промышленной безопасности опасных производственных объектов» от 21.07.97 г. № 116-ФЗ (Собрание законодательства Российской Федерации, 1997. № 30, ст. 3588).

7. Федеральный закон «О безопасности гидротехнических сооружений» от 21.07.97 г. № 117-ФЗ (Собрание законодательства Российской Федерации, 1997, № 30. ст. 3589).

8. Федеральный закон «О лицензировании отдельных видов деятельности» от 08.08.2001 г., № 128-ФЗ.

9. Федеральный закон «Кодекс Российской Федерации об административных правонарушениях» № 195-ФЗ от 30.12.2001 г.

10. Федеральный чакон «Трудовой кодекс Российской Федерации». № 197-ФЗ от 30.12.2001 г.

УКАЗЫ ПРЕЗИДЕНТА РОССИЙСКОЙ ФЕДЕРАЦИИ

1. О государственных надзорных органах от 12.11.92 г. № 1355 (Собрание актов Президента и Правительства Российской Федерации, 1992 г., № 20, ст. 1661) с изменениями на 9 июля 1997 года.

2. Об утверждении Концепции национальной безопасности Российской Федерации от 17.12.97 г. 1300 (Собрание актов Президента и Правительства Российской Федерации, 1997 г., № 52. ст. 5909).

ПОСТАНОВЛЕНИЯ ПРАВИТЕЛЬСТВА РОССИЙСКОЙ ФЕДЕРАЦИИ

1. Об утверждении Положения о Федеральном горном и промышленном надзоре России от 03.12.2001 г. № 841.

2. «О государственной экспертизе градостроительной и проектно-сметной документации и утверждении проектов строительства» от 20.06.93 г. № 585 (Собрание актов Президента и Правительства Российской Федерации, 1993 г., № 26, ст. 2427).

3. «О межведомственной комиссии по охране труда» от 26.03.94 г. № 238 (Собрание законодательства Российской Федерации, 1994 г., № 14. ст. 1056).

4. «О государственных нормативных требованиях по охране труда в Российской Федерации» от 12.08.94 г. № 937 (Собрание законодательства Российской Федерации, 1994г., № 17.ст. 1998).

5. «О порядке финансирования мероприятий по предупреждению и ликвидации последствий чрезвычайных ситуаций на промышленных предприятиях, в строительстве и на транспорте» от 26.08.94 г. № 989 (Собрание законодательства Российской Федерации, 1994 г., № 19. ст. 2212).

6. «О декларации безопасности промышленного объекта Российской Федерации» от 01.07.95 г. № 675 (Собрание законодательства Российской Федерации, 1995 г.. № 28, ст. 2692).

7. «О единой государственной системе предупреждения и ликвидации чрезвычайных ситуаций» от 05.11.95 г. № 1113 (Собрание законодательства Российской Федерации, 1995 г., № 46, ст. 4459).

8. «О силах и средствах единой государственной системы предупреждения и ликвидации чрезвычайных ситуаций» от 03.08.96 г. № 924 (Собрание законодательства Российской Федерации, 1996 г., № 33, ст. 3998).

9. «О первоочередных мерах по развитию рынка страхования в Российской Федерации» от 22.11.96 г. № 1367 (Собрание законодательства Российской Федерации, 1996 г., № 49. ст. 5557).

10. «О классификации чрезвычайных ситуаций природного и техногенного характера» от 13.09.96 г. № 1094 (Собрание законодательства Российской Федерации. 1996 г., № 39, ст. 4563).

11. «Об утверждении «Правил подготовки нормативных правовых актов федеральных органов исполнительной власти и их государственной регистрации» от 13.08.97 г. № 1009 (Собрание законодательства Российской Федерации, 1997 г.. № 33, ст. 3895).

12. «Об организации государственного надзора за безопасностью гидротехнических сооружений» от 16.10.97 г. № 1320 (Собрание законодательства Российской Федерации. 1997 г., № 42, ст. 4794).

13. «О сроках декларирования промышленной безопасности действующих опасных производственных объектов» от 02.02.98 г. № 142 (Собрание законодательства Российской Федерации. 1998 г.. № 6, ст. 761).

14. «Методические рекомендации по внедрению обязательного страхования ответственности за причинение вреда при эксплуатации опасного производственного объекта», утвержденные Минфином России 31.03.98 г.

15. «О порядке формирования и ведения Российского регистра гидротехнических сооружений» от 23.05.98 г. № 490.

16. «О федеральном органе исполнительной власти, специально уполномоченном в области промышленной безопасности» от 17.07.98 г. № 779 (Собрание законодательства Российской Федерации. 1998 г., № 30, ст. 3775).

17. «О перечне технических устройств, применяемых на опасных производственных объектах и подлежащих сертификации» от 11.08.98 г. № 928.

18. «О применении технических устройств на опасных производственных объектах» от 25.12.98 г. № 1540.

19. «Об утверждении положения о декларировании безопасности гидротехнических сооружений» от 06.11.98 г. № 1302 (Собрание законодательства Российской Федерации, 1998 г., № 46, ст. 5698).

20. «Положение о декларировании безопасности гидротехнических сооружений» от 06.11.98 № 1303

21. «О регистрации объектов в государственном реестре опасных производственных объектов» от 24.11.98 г. № 1371.

22. «О предоставлении Министерству экономики Российской Федерации права осуществлять отдельные функции нормативно-правового регулирования, специальные разрешительные, контрольные или надзорные функции в области промышленной безопасности» от 11.02.99 г. № 161.

23. «Об утверждении Положения об эксплуатации гидротехнического сооружения и обеспечении безопасности гидротехнического сооружения, разрешение на строительство и эксплуатацию которого аннулировано, а также гидротехнического сооружения, подлежащего консервации, ликвидации либо не имеющего собственника» от 27.02.99 г. № 237.

24. «Об организации и осуществлении производственного контроля за соблюдением требований промышленной безопасности на опасном производственном объекте» от 10.03.99 г. № 263.

25. «Положение о расследовании и учете несчастных случаев на производстве» от 11.03.99 г. № 279.

26. «Правила представления декларации промышленной безопасности опасных производственных объектов» от 11.05.99 г. № 526.

27. «О мерах по обеспечению промышленной безопасности опасных производственных объектов на территории Российской Федерации» от 28.03.2001 г., № 241.

НОРМАТИВНЫЕ АКТЫ ФЕДЕРАЛЬНЫХ ОРГАНОВ ИСПОЛНИТЕЛЬНОЙ ВЛАСТИ, УПОЛНОМОЧЕННЫХ ПО ВОПРОСАМ ПРОМЫШЛЕННОЙ БЕЗОПАСНОСТИ

1. Регистрация опасных производственных объектов и сооружений на инх

1.1. РД 03-294-99. Положение о регистрации объектов в государственном реестре опасных производственных объектов и ведении государственного реестра, утвержденное Постановлением Госгортехнадзора России от 03.06.99 г. № 39.

2. Лицензирование и разрешительная деятельность

2.1. О реализации Федерального закона «О лицензировании отдельных видов деятельности» от 08 августа 2001 г. № 128-ФЗ, приказ Госгортехнадзора России от 01.02.02 г. № 12.

2.2. РД 03-247-98. Положение о регистрации, оформлении и учете разрешений па изготовление и применение технических устройств в системе Госгортехнадзора России, утвержденное приказом Госгортехнадзора России от 10.12.98 г. № 239.

2.3. РД 12-88-95. Инструкция о порядке выдачи Госгортехнадзором России разрешений на выпуск и применение оборудования для газового хозяйства Российской Федерации, утвержденная Постановлением Госгортехнадзора России от 14.02.95 г. № 8.

3. Сертификация и применение технических устройств

3.1. РД 03-85-95. Правила сертификации поднадзорной продукции для потенциально опасных промышленных производств, объектов и работ, утвержденные Постановлением Госгортехнадзора России от 02.02.95 г. № 5.

4. Подготовка и аттестация работников

4.1. ПБ 03-273-99. Правила аттестации сварщиков и специалистов сварочного производства, утвержденные Постановлением Госгортехнадзора России от 30.10.98 г. № 63.

4.2. РД 04-265-99. Положение о порядке подготовки и аттестации работников организаций, эксплуатирующих опасные производственные объекты, подконтрольные Госгортехнадзору России, утвержденное Постановлением Госгортехнадзора России от 11.01.99 г. № 2.

4.3. РД 10-60-94. Программа повышения квалификации руководящих работников и специалистов, не имеющих теплотехнического образования, назначаемых ответственными лицами за исправное состояние и безопасную эксплуатацию паровых и водогрейных котлов, утвержденная Госгортехнадзором России 04.04.94 г.

4.4. РД 10-99-95. Положение о квалификационных характеристиках специалистов-экспертов инженерных центров по лифтам, утвержденное Постановлением Госгортехнадзора России от 12.05.95 г. № 26.

4.5. Типовая программа по курсу «Промышленная безопасность и охрана труда» для подготовки руководителей и специалистов опасных производственных объектов, утвержденная Постановлением Госгортехнадзора России от 01.07.99 г. № 47.

4.6. Правила аттестации специалистов неразрушающего контроля, утвержденные Постановлением Госгортехнадзора России от 19.08.92 г. № 21 с изменениями 1995 года, утвержденными Постановлением Госгортехнадзора России от 14.07.95 г. № 36.

4.7. Типовое положение о Территориальной аттестационной комиссии Госгортехнадзора России, утвержденное Приказом Госгортехнадзора России от 07.07.99 г. № 116.

4.8. Типовое положение о Центральной аттестационной комиссии Госгортехнадзора России, утвержденное Приказом Госгортехнадзора России от 07.07.99 г. № 116

5. Техническое расследование причин аварий и несчастных случаев на производстве

5.1. РД 03-293-99. Положение о порядке технического расследования причин аварий на опасных производственных объектах, утвержденное Постановлением Госгортехнадзора России от 08.06.99 г. № 40.

6. Экспертиза промышленной безопасности, диагностирование, техническое освидетельствование

6.1. РД 03-29-93. Методические указания по проведению технического освидетельствования паровых и водогрейных котлов, сосудов, работающих под давлением, трубопроводов пара и горячей воды, утвержденные Постановлением Госгортехнадзора России от 23.08.93 г. № 30.

6.2. ПБ 03-246-98. Правила проведения экспертизы промышленной безопасности, утвержденные Постановлением Госгортехнадзора России от 06.11.98 г. № 64.

6.3. РД 03-259-98. Инструкция о порядке ведения мониторинга безопасности гидротехнических сооружений предприятий, организаций, подконтрольных органам Госгортехнадзора России, утвержденная Постановлением Госгортехнадзора России от 12.01.98 г. № 2.

6.4. РД 03-298-99. Положение о порядке утверждения заключений экспертизы промышленной безопасности, утвержденное Постановлением Госгортехнадзора России от 14.0799 г. № 51.

6.5. РД 03-404-01. Дополнительные требования к содержанию декларации безопасности и методика ее составления, учитывающая особенности декларирования безопасности гидротехнических сооружений на поднадзорных Госгортехнадзору России организациях, производствах и объектах, утвержденные Постановлением Госгортехнадзора России от 09.04.01 г. № 11.

6.6. ПБ 03-314-99. Правила экспертизы декларации промышленной безопасности, утвержденные Постановлением Госгортехнадзора России от 07.09.99 г. № 65 с изм. № 1 ПБИ 03-393(314)-00, утвержденными Постановлением Госгортехнадзора России от 27.10.00 г. № 61.

6.7. РД 03-348-00. Методические указания по магнитной дефектоскопии стальных канатов. Основные положения, утвержденные Постановлением Госгортехнадзора России от 30.03.00 г. № 11.

6.8. ПБ 03-372-00. Правила аттестации и основные требования к лабораториям неразрушающего контроля, утвержденные Постановлением Госгортехнадзора России от 02.06.00 г. № 29.

6.9. РД 03-418-01. Методические указания по проведению анализа риска опасных промышленных объектов, утвержденные Постановлением Госгортехнадзора России от 10.07.2001 г. № 30.

6.10. РД 09-102-95, Методические указания по определению остаточного ресурса потенциально опасных объектов, поднадзорных Госгортехнадзору России, утвержденные Постановлением Госгортехнадзора России от 17.11.95 г. № 57.

6.11. РД 10-16-92. Методические указания по обследованию предприятий, эксплуатирующих паровые и водогрейные котлы, сосуды, работающие под давлением, трубопроводы пара и горячей воды, утвержденные Постановлением Госгортехнадзора России от 30.12.92 г. № 39 с изм. РД 10-162-97 и изм. № 1 (РДИ 10-362(16)-00), утвержденными Постановлениями Госгортехнадзора России от 02.12.97 г. № 48 и от 16.05.00 г. № 33.

6.12. РД 10-72-94. Методические указания по проведению обследования технического состояния лифтов, отработавших нормативный срок службы, утвержденные Госгортехнадзором России 22.07.94 г.

6.13. РД 10-89-95. Методические указания по обследованию предприятий (владельцев), эксплуатирующих подъемные сооружения, утвержденные Постановлением Госгортехнадзора России от 25.04.95 г. № 21 с изм. № 1 (РД 10-160(89) 97) и № 2 (РДИ 10-352(89)-00, утвержденными Постановлениями Госгортехнадзора России от 17.11.97 г. № 41 и от 05.04.00 г. № 19.

6.14. РД 10-96-95. Методические указания о порядке составления паспортов (дубликатов) паровых и водогрейных котлов, утвержденные Постановлением Госгортехнадзора России от 08.08.95 г. № 42.

6.15. РД 10-98-95. Методические указания по проведению технического освидетельствования пассажирских, больничных и грузовых лифтов, утвержденные Постановлением Госгортехнадзора России от 12.05.95 г. № 25.

6.17. РД 10-112-96. Методические указания по обследованию грузоподъемных машин с истекшим сроком службы, утвержденные Постановлением Госгортехнадзора России от 28.03.96 г. № 12.

6.18. РД 10-210-98. Методические указания по проведению технического освидетельствования металлоконструкций паровых и водогрейных котлов, утвержденные Постановлением Госгортехнадзора России от 05.03.98 г. № 11 с изм. № 1 (РДИ 10-363(210)-00), утвержденными Постановлением Госгортехнадзора России от 13.06.00 г. № 32.

6.19. РД 12-331-99. Положение по проведению экспертизы промышленной безопасности на объектах газоснабжения, утвержденное Постановлением Госгортехнадзора России от 14.12.99 г. № 92.

6.20. РД 10-369-00. Положение по проведению экспертизы промышленной безопасности паровых и водогрейных котлов, сосудов, работающих под давлением, трубопроводов пара и горячей воды, утвержденное Постановлением Госгортехнадзора России от 10.07.00 г. № 40.

6.21. РД 10-397-00. Положение по проведению экспертизы промышленной безопасности подъемных сооружений, утвержденное Постановлением Госгортехнадзора России от 17.01.01 г. № 2.

7. Декларирование безопасности

7.1. РД 09-251-98. Положение о порядке разработки и содержания раздела "Безопасная эксплуатация производств" технологического регламента, утвержденное Постановлением Госгортехнадзора России от 18.12.98 г. № 77.

7.2. РД 03-315-99. Положение о порядке оформления декларации промышленной безопасности и перечне сведений, содержащихся в ней. утвержденное Постановлением Госгортехнадзора России от 07.09.99 г. № 66.

7.3. РД 03-357-00. Методические рекомендации по составлению декларации промышленной безопасности опасного производственного объекта, утвержденные Постановлением Госгортехнадзора России от 26.04.00 г. № 23.

7.4. РД 03-404-01. Дополнительные требования к содержанию декларации безопасности и методика ее составления, учитывающая особенности декларирования безопасности, пиротехнических сооружений на поднадзорных Госгортехнадзору России организациях, производствах и объектах, утвержденные Постановлением Госгортехнадзора России от 09.04.01 г. № 11.

8. Производственный контроль

8.1. Типовая инструкция по организации безопасного проведения газоопасных работ, утвержденная Госгортехнадзором СССР 20.02.85 г.

8.5. ПБ 03-75-94. Правила устройства и безопасной эксплуатации трубопроводов пара и горячей воды, утвержденные Постановлением Госгортехнадзора России от 18.07.94 г. № 45 с изм. № 1 (ИПБ 03-147-97), утвержденным Постановлением Госгортехнадзора России от 13.01.97 г. № 1.

8.6. ПБ 03-108-96. Правила устройства и безопасной эксплуатации технологических трубопроводов, утвержденные Постановлением Госгортехнадзора России от 02.03.95 г. № 11, от 15.04.99 г. № 26.

8.7. РД 03-131-97. Правила организации и проведения акустико-эмиссионного контроля сосудов, аппаратов, котлов и технологических трубопроводов, утвержденные Постановлением Госгортехнадзора России от 11.11.96 г. № 44.

8.8. РД 03-133-97. Положение о функциональной подсистеме по контролю за химически опасными и взрывоопасными объектами единой государственной системы предупреждения и ликвидации чрезвычайных ситуаций, утвержденное Приказом Госгортехнадзора России от 25.02.97 г. № 24.

8.9. РД 03-134-97. Положение о Комиссии по чрезвычайным ситуациям Госгортехнадзора России, утвержденное Приказом Госгортехнадзора России от 25.02.97 г. № 25.

8.10. РД 03-141-97. Методические рекомендации по организации надзора » обеспечением безопасной эксплуатация гидротехнических сооружений (ГТС) на подконтрольных органам Госгортехнадзора России предприятиях и объектах, утвержденные приказом Госгортехнадзора России от 28.04.97 г. № 83.

8.11. ПБ 03-164-97. Правила изготовления паровых и водогрейных котлов, сосудов, работающих пол давлением, трубопроводов пара и горячей воды с применением сварочных технологий, утвержденные Постановлением Госгортехнадзора России от 06.06.97 г. № 20.

8.12. ПБ 03-278-99. Технологический регламент проведения аттестации сварщиков и специалистов сварочного производства, утвержденный Постановлением Госгортехнадзора России от 16.03.99 г. № 21.

8.13. ПБ 03-384-00. Правила проектировали», изготовления и приемки сосудов и аппаратов стальных сварных, утвержденные Постановлением Госгортехнадзора России от 11.11.96 г. № 57.

8.14. РД 04-354-00. Положение о надзорной и контрольной деятельности в системе Госгортехнадзора России, утвержденное приказом Госгортехнадзора России от 26.04.00 г. № 50.

8.15. РД 04-355-00. Методические рекомендации по организации производственного контроля за соблюдением требований промышленной безопасности на опасных производственных объектах, утвержденные приказом Госгортехнадзора России от 26.04.00 г. № 49.

8.16. РД 04-383-00. Положение о порядке представления, регистрации и анализа в органах Госгортехнадзора России информации об авариях, несчастных случаях и утратах взрывчатых материалов, утвержденное приказом Госгортехнадзора России от 02.10.00 г. № 101.

8.17. ПБ 06-123-96. Правила безопасности при эксплуатации хвостовых, шламовых и гидроотвальных хозяйств, утвержденные Постановлением Госгортехнадзора России от 05.11.96 г. № 43.

8.18. ПБ 09-297-99. Правила устройства и безопасной эксплуатации компрессорных установок с поршневыми компрессорами, работающими на взрывоопасных и вредных газах, утвержденные Постановлением Госгортехнадзора России от 06.07.99 г. № 50.

8.19. РД 03-299-99. Требования к акустико-эмиссионной аппаратуре, используемой для контроля опасных производственных объектов, утвержденные Постановлением Госгортехнадзора России от 15.07.99 г. № 52.

8.20. РД 03-300-99. Требования к преобразователям акустической эмиссии, применяемым дм контроля опасных производственных объектов, утвержденные Постановлением Госгортехнадзора России от 15.07.99 г. № 53.

8.21. ПБ 10-05-92. Правила устройства и безопасной эксплуатации электродных котлов и электрокотельных, утвержденные Постановлением Госгортехнадзора России от 23.06.92 г. № 17 с изменениями 1998 г. ПБ 10-228-98.

8.22. РД 10-08-92. Инструкция по надзору за изготовлением, ремонтом и монтажом подъемных сооружений, утвержденная Постановлением Госгортехнадзора России от 20.08.92 г. № 23 с изм. № 1 (РД 10-175(08), утвержденным Постановлением Госгортехнадзора России от 09.01.98 г. № 1.

8.23. РД 10-30-93. Типовая инструкция для инженерно - технического работника, ответственного за содержание грузоподъемных машин в исправном состоянии, утвержденная Постановлением Госгортехнадзора России от 26.07.93 г. № 27.

8.24. РД 10-33-93. Стропы грузовые общего назначения. Требования к устройству и безопасной эксплуатации, утвержденные Госгортехнадзором России 20.10.93 г. Внесено изменение № 1 (РД 10-231-98) постановлением Госгортехнадзора России от 08.09.98 № 57.

8.25. РД 10-34-93. Типовая инструкция для лиц, ответственных за безопасное производство работ кранами, утвержденная Постановлением Госгортехнадзора России от 18.10.93 г. № 37.

8.26. РД 10-40-93. Типовая инструкция для инженерно-технического работника по надзору за безопасной эксплуатацией грузоподъемных машин, утвержденная Постановлением Госгортехнадзора России от 26.11.93 г. № 42.

8.27. РД 10-69-94. Типовые технические условия на ремонт паровых и водогрейных котлов промышленной энергетики, утвержденные Госгортехнадзором России 04.07.94 г.

8.28. РД 10-74-94. Типовая инструкция для крановщиков (машинистов) по безопасной эксплуатации стреловых самоходных кранов (автомобильных, пневмоколесных, на специальном шасси автомобильного типа, гусеничных, тракторных), утвержденная Постановлением Госгортехнадзора России от 02.08.94 г. № 46.

8.29. РД 10-93-95. Типовая инструкция для крановщиков (машинистов) по безопасной эксплуатации башенных кранов, утвержденная Постановлением Госгортехнадзора России от 31.05.95 г. № 28.

8.30. РД 10-103-95. Типовая инструкция для крановщиков (машинистов) по безопасной эксплуатации мостовых и козловых кранов, утвержденная Постановлением Госгортехнадзора России от 16.11.95 г. № 56.

8.31. РД 10-104-95. Временное положение о порядке и условиях проведения модернизации лифтов, утвержденное Постановлением Госгортехнадзора России от 29.11.95 г. № 59.

8.32. РД 10-107-96. Типовая инструкция для стропальщиков по безопасному производству работ грузоподъемными машинами, утвержденная Постановлением Госгортехнадзора России от 08.02.96 г. № 3.

8.33. РД 10-109-96. Методические указания по составлению паспортов трубопроводов IV категории, утвержденные Постановлением Госгортехнадзора России от 19.02.96 г. № 4.

8.34. ПБ 10-115-96. Правила устройства и безопасной эксплуатации сосудов, работающих под давлением, утвержденные Постановлением Госгортехнадзора России от 18.04.95 г. № 11 с изм. ИПБ 03-147-97, утвержденными Постановлением Госгортехнадзора России от 02.09.97 г. № 25.

8.35. РД 10-117-96. Требования к устройству и безопасной эксплуатации рельсовых путей козловых кранов, утвержденные Постановлением Госгортехнадзора России от 08.08.95 г. № 41.

8.36. РД 10-118-96. Основные требования безопасности к ограничителям грузоподъемности электрических мостовых и козловых кранов, утвержденные Постановлением Госгортехнадзора России от 12.09.96 г. № 36.

8.37. РД 10-138-97. Комплексное обследование крановых путей грузоподъемных машин. Часть III Общие положения. Методические указания, утвержденные Постановлением Госгортехнадзора России от 28.03.97 г. № 14 с изм. № 1 РДИ 10-349(138)-00. утвержденным Постановлением Госгортехнадзора России от 30.03.00 г. № 12.

8.38. РД 10-165-97. Методические указания по надзору за водно-химическим режимом паровых и водогрейных котлов, утвержденные Постановлением Госгортехнадзора России от 08.12.97 г. № 49.

8.39. РД 10-179-98. Методические указания по разработке инструкций и режимных карт по эксплуатации установок докотловой обработки воды и по ведению водно-химического режима паровых и водогрейных котлов, утвержденные Постановлением Госгортехнадзора России от 09.02.98 г. № 5.

8.40. РД 10-197-98. Инструкция по оценке технического состояния болтовых и заклепочных соединений грузоподъемных кранов, утвержденная Постановлением Госгортехнадзора России от 31.03.98 г. № 20.

8.41. РД 10-198-98. Типовая инструкция по безопасному ведению работ для рабочих люлек, находящихся на подъемнике (вышке), утвержденная Постановлением Госгортехнадзора России от 02.04.98 г. № 21.

8.42. РД 10-199-98. Типовая инструкция по безопасному ведению работ для машинистов подъемников (вышек), утвержденная Постановлением Госгортехнадзора России от 02.04.98 г. № 22.

8.43. РД 10-208-98. Типовая инструкция для наладчиков приборов безопасности грузоподъемных кранов, утвержденная Постановлением Госгортехнадзора России от 28.05.98 г. № 33.

8.44. РД 10-209-98. Методические указания о порядке составления и форме паспорта сосуда, работающего под давлением, утвержденные Постановлением Госгортехнадзора России от 31.03.98 г. № 19.

8.45. РД 10-235-98. Инструкция по надзору за изготовлением, монтажом и ремонтом объектов котлонадзора, утвержденная Постановлением Госгортехнадзора России от 03.09.98 г. № 56.

8.46. РД 10-249-98. Нормы расчета на прочность стационарных паровых и водогрейных котлов и трубопроводов пара и горячей воды, утвержденные Постановлением Госгортехнадзора России от 25.08.98 г. № 50.

8.47. ПБ 10-256-98. Правила устройства и безопасной эксплуатации подъемников (вышек), утвержденные Постановлением Госгортехнадзора России от 24.11.98 г. № 67.

8.48. ПБ 10-257-99. Правила устройства и безопасной эксплуатации грузоподъемных кранов-манипуляторов, утвержденные Постановлением Госгортехнадзора России от 31.12.98 г. № 79.

8.49. РД 10-262-98. Типом» инструкция по контролю металла и продлению срока службы основных элементов котлов, турбин я трубопроводов тепловых электростанций, утвержденная Постановлением Госгортехнадзора России от 02.09.98 г. № 55, Минтопэнерго России 03.02.99; РАО «ЕЭС России» 02.02.99.

8.50. РД 10-332-99. Типовая инструкция для лиц, ответственных за безопасное производство работ подъемниками, утвержденная Постановлением Госгортехнадзора России от 17.12.99 г. № 93.

8.51. РД 10-333-99. Типовая инструкция для ответственного за исправное состояние и безопасную эксплуатацию сосудов, работающих под давлением, утвержденная Постановлением Госгортехнадзора России от 20.12.99 г. № 95.

8.52. ПБ 10-382-00. Правила устройства и безопасной эксплуатация грузоподъемных кранов, утвержденные Постановлением Госгортехнадзора Россия от 31.12.99 г. № 98.

8.53. РД 10-385-00. Методические рекомендации по классификации аварий и инцидентов на подъемных сооружениях, паровых и водогрейных котлах, сосудах, работающих под давлением, трубопроводах пара и горячей воды, утвержденные Постановлением Госгортехнадзора России от 04.10.00 г. № 58.

8.54. РД 10-400-01. Нормы расчета на прочность трубопроводов тепловых сетей, утвержденные Постановлением Госгортехнадзора России от 14.02.01 г. № 8.

8.55. РД 12-253-98. Методические указания по осуществлению надзора на объектах газового хозяйства, утвержденные приказом Госгортехнадзора России от 25.12.98 г. № 223.

8.56. РД 12-341-00. Инструкция по контролю за содержанием окиси углерода в помещениях котельных, утвержденная Постановлением Госгортехнадзора России от 01.02.2000 г.

8.57. ПБ 12-368-00. Правила безопасности в газовом хозяйстве, утвержденные Постановлением Госгортехнадзора России от 26.05.2000 г. № 27.

8.58. РД 15-73-94. Правила безопасности при перевозке опасных грузов железнодорожным транспортом, утвержденные Постановлением Госгортехнадзора России от 16.08.94 г. № 50.

8.59. РД 15-217-98. Методические рекомендации по проведению обследований подконтрольных предприятий и объектов при перевозке опасных грузов железнодорожным транспортом, утверждены приказом Госгортехнадзора России от 02.07.98 г. № 143.

8.60. РД 15-218-98. Методические указания по организации и осуществлению государственного надзора при перевозке опасных грузов железнодорожным транспортом, утверждены приказом Госгортехнадзора России от 06.07.98 г. № 149.

8.61. Правила безопасности при строительстве подземных гидротехнических сооружений, утвержденные Госгортехнадзором СССР от 29.07.69 г. с изм. 1978, 1982 и 1986 гг.

8.62. Правила устройства к безопасной эксплуатации стационарных компрессорных установок, воздухопроводов и газопроводов, утвержденные Госгортехнадзором СССР 07.12.71 г.

8.63. РД 10-360-00. Типовая инструкция для лифтера по обслуживанию лифтов и оператора диспетчерского пункта, утвержденная Постановлением Госгортехнадзора России от 26.05.00 г. № 5.

8.64. Правила устройства и безопасной эксплуатации паровых и водогрейных котлов, утвержденные Постановлением Госгортехнадзора России от 28.05.93 г. № 12 с изм. № 1 и № 2 (ПБИ 10-370-00), утвержденными Постановлениями Госгортехнадзора Россия от 07.02.96 г. № 2 и от 10.07.00 г. № 39.

8.65. Правила устройства и безопасной эксплуатации лифтов, утвержденные Постановлением Госгортехнадзора России от 11.02.92 г. № 1 с доп. ИПБ 10-121-96 и ИПБ 10-158-97, утвержденными Постановлением Госгортехнадзора России от 18.06.96 г. № 26 и от 19.11.97 г. № 42.

8.66. Правила устройства и безопасной эксплуатации грузовых подвесных канатных дорог, утвержденные Госгортехнадзором СССР от 22.12.87 г.

8.67. Правила устройства и безопасной эксплуатации фуникулеров (наклонных подъемников), утвержденные Постановлением Госгортехнадзора России от 18.06.92 г. № 16.

8.68. Рекомендации о содержании и порядке составления годового отчета о состоянии гидротехнического сооружения, утвержденные Госгортехнадзором России от 02.06.98 г.

8.69. Рекомендации о содержании и порядке составления паспорта гидротехнического сооружения, утвержденные Госгортехнадзором России от 02.06.98 г.

ОСНОВНЫЕ НОРМАТИВНО-ТЕХНИЧЕСКИЕ ДОКУМЕНТЫ РАО «ЕЭС РОССИИ»*

_____________________

*) Полный перечень нормативно-технических документов РАО «ЕЭС России» приведен в «Указателе руководящих документов электроэнергетической отрасли» (РД 34).

1. РД 34.02.104-97. Типовое положение об экологической службе в объединенной энергосистеме, в АО-энерго, на ТЭС и в котельной. М.: СПО ОРГРЭС. 1998.

2. РД 34.02.301-91. Положение об организации ведомственного контроля воздухо-охранной деятельности тепловых электрических станций и котельных. М: СПО ОРГРЭС, 1991.

3. РД 153-34.0-02.303-98. Инструкция по нормированию выбросов загрязняющих веществ в атмосферу для тепловых электростанций и котельных. М.: СПО ОРГРЭС, 1998.

4. РД 34.03.103-87. Положение о ведомственном надзоре за состоянием газового хозяйства тепловых электростанций Минэнерго СССР. П-34-00-013-87. М.: СПО Союзтехэнерго, 1987.

5. РД 34.03.201-97. Правила техники безопасности при эксплуатации тепломеханического оборудования электростанций и тепловых сетей. (Утверждены РАО «ЕЭС России» 03.04.97 с изменениями и дополнениями). М.: ЭНАС, 1997.

6. РД 34.03.284-96. Инструкция по организации и производству работ повышенной опасности. (Утверждена РАО «ЕЭС России» 25.07.96). М.: АО РОСЭП, 1996.

7. РД 34.03.285-97. Правила безопасности при строительстве линий электропередачи и производстве электромонтажных работ. (Утверждены РАО «ЕЭС России» 03.04.97). М.: АООТ «Проектэнергомаш», 1997.

8. РД 34.03.351-93. Правила взрывобезопасности при использовании мазута в котельных установках. М.: СПО ОРГРЭС, 1994.

9. РД 34.04.520. Положение о газовой службе и лицах, ответственных за газовое хозяйство электростанций и котельных. М.: СПО ОРГРЭС, 1993.

10. РД 34.12.102-94. Правила организации работы с персоналом на предприятиях и в учреждениях энергетического производства. (Утверждены РАО «ЕЭС России» 29.04.94 с изменениями и дополнениями) М.: СПО ОРГРЭС, 1994.

11. РД 34.12.201-88. Правила проведения противоаварийных тренировок персонала электрических станций и сетей Минэнерго СССР. М.: СПО СТЭ, 1989.

12. РД 34.12.202-84. Инструкция по организации противопожарных тренировок на энергетических предприятиях и в организациях Минэнерго СССР. М.: СПО Союзтехэнерго, 1984.

13. РД 34.20.501-95. Правила технической эксплуатации электрических станций и сетей Российской Федерации (издание 15-е). М.: СПО ОРГРЭС, 1996.

14. РД 34.20.562-87. Типовая инструкция по предупреждению и ликвидации аварий на тепловых электростанциях. ТИ 34-66-061-87. М.: СПО СТЭ, 1987.

15. РД 34.20.565-69. Инструкция по ликвидации аварий в электрической части блочных электростанций. М.: СЦНТИ ОРГРЭС, 1969.

16. РД 34.20.592-86. Методические указания по консервации оборудования стационарных электростанций, выводимых в резерв. МУ 34-70-106-85. М.: СПО Союзтехэнерго, 1986.

17. РД 34.20.802-99. Инструкция по расследованию и учету пожаров на объектах энергетики. М.: РАО «ЕЭС России». 1999.

18. РД 34.21.521-91. Типовая инструкция по технической эксплуатации производственных зданий и сооружений энергопредприятий. Часть I. Организация эксплуатации зданий и сооружений. М.: СПО ОРГРЭС 1992.

19. РД 153-34.0-21.601-98. Типовая инструкция по эксплуатации производственных зданий и сооружений энергопредприятий. Часть II. Разд. 1, 2.: (Утв. Департаментом стратегии развития и научно-технической политики РАО «ЕЭС России» 22.12.98). М..СПО ОРГРЭС, 2000.

Часть II. Раздел 1. Техническое обслуживание зданий и сооружений.

Часть II. Раздел 2. Технология ремонтов зданий и сооружений.

20. РД 34.37.303-88. Методические указания по организации и объему химического контроля водно-химического режима на тепловых электростанциях. М.: Ротапринт ВТИ, 1988.

21. РД 153-34.0-03.150-00. Межотраслевые правила по охране труда (правила безопасности) при эксплуатации электроустановок. (Утверждены Минтруда РФ 05.01.2001 г. и Минэнерго РФ 27.12.2000). М.: НЦ ЭНАС. 2001.

22. РД 153-34.0-03.205-2001. Правила безопасности при обслуживании гидротехнических сооружений и гидромеханического оборудования энергоснабжающих организаций (Утверждены Минэнерго 13.04.2001 г.). М.: НЦ ЭНАС. 2001.

23. РД 153-34.0-03.301-00. Правила пожарной безопасности для энергетических предприятий. М.: ЗАО «Энергетические технологии», 2000.

24. РД 153-34.0-20.801-00. Инструкция по расследованию и учету технологических нарушений в работе энергосистем, электростанций и котельных, электрических и тепловых сетей. М.: ЗАО «Энергосервис», 2000).

25. РД 153-34.1-03.352-99. Правила взрывобезопасности топливоподач и установок для приготовления и сжигания пылевидного топлива. М.: ВТИ, 2000.

26. РДПр 34-38-030-92. Правила организации технического обслуживания и ремонта зданий и сооружений электростанций и сетей. М.: ЦКБ Энергоремонт, 1994.

27. Положения по диспетчерскому управлению параллельной работой ОЭС. М.:ЦДУ, 1996-2001 г.г.

28. Инструкция по предотвращению и ликвидации аварий в Единой энергетической системе России. Утверждена 19.08.97.

29. Приказ РАО «ЕЭС России» от 30.04.99 № 166 «О порядке сообщения о несчастных случаях, их расследования, регистрации и учета» (с изменениями и дополнениями к Положению о расследовании и учете несчастных случаев на производстве, постановление Правительства РФ от 24.05.00 г. № 406).

30. Положение о системе управления охраной труда в подразделениях РАО «ЕЭС России». (Утверждено Распоряжением РАО «ЕЭС России» от 14.01.98 № 5р).

31. СНиП 12-03-99. Строительные нормы и правила: Безопасность труда в строительстве. Часть 1. Общие требования.

ПРИЛОЖЕНИЕ 4.

СТРУКТУРА СИСТЕМЫ ПРОИЗВОДСТВЕННОГО КОНТРОЛЯ ПРОМЫШЛЕННОЙ БЕЗОПАСНОСТИ РАО «ЕЭС РОССИИ»

ПРИЛОЖЕНИЕ 5.

ТИПОВОЕ ПОЛОЖЕНИЕ О ПРОИЗВОДСТВЕННОМ КОНТРОЛЕ ЗА СОБЛЮДЕНИЕМ ТРЕБОВАНИЙ ПРОМЫШЛЕННОЙ БЕЗОПАСНОСТИ НА ОПАСНЫХ ПРОИЗВОДСТВЕННЫХ ОБЪЕКТАХ ПРЕДПРИЯТИЙ АО-энерго (ФИЛИАЛА) РАО «ЕЭС РОССИИ»

СОГЛАСОВАНО

УТВЕРЖДАЮ

Начальник

(территориального органа)

Госгортехнадзора России

Генеральный директор

(АО-энерго)

РАО «ЕЭС»

(Фамилия, инициалы)

(Фамилия, инициалы)

«___» ___________200 __года

«___» __________200 __года

 

 

ТИПОВОЕ ПОЛОЖЕНИЕ

О ПРОИЗВОДСТВЕННОМ КОНТРОЛЕ ЗА СОБЛЮДЕНИЕМ ТРЕБОВАНИЙ ПРОМЫШЛЕННОЙ БЕЗОПАСНОСТИ НА ОПАСНЫХ ПРОИЗВОДСТВЕННЫХ ОБЪЕКТАХ ПРЕДПРИЯТИЙ

____________________________

(АО-энерго, филиала и др.)

 

 

 

 

 

 

 

(Город)

200 __год

 

Настоящее положение разработано во исполнение статьи 11 Федерального Закона от 21.07.97 г. № 116-ФЗ «О промышленной безопасности опасных производственных объектов», постановления Правительства РФ от 10.03.99 г. № 263 «Об организации и осуществлении производственного контроля за соблюдением требований промышленной безопасности на опасных производственных объектах» и «Положения о производственном контроле за соблюдением требований промышленной безопасности на опасных производственных объектах РАО «ЕЭС России» от ________________.

Оно устанавливает права и обязанности специалистов, ответственных за осуществление производственного контроля за соблюдением требований промышленной безопасности на опасных производственных объектах структурных подразделений и предприятий*) АО-энерго.

Требования промышленной безопасности включают в себя условия, запреты, ограничения и другие обязательные требования, содержащиеся в федеральных законах и других нормативных правовых актах, а также в документах, принятых я установленном порядке, и соблюдение которых обеспечивает промышленную безопасность.

__________

*)Далее по тексту - «предприятия».

I. ОБЩИЕ ПОЛОЖЕНИЯ

1.1. В состав _______________(АО-энерго) входят предприятия, эксплуатирующие опасные производственные объекты (ОПО), которые идентифицируются по следующим признакам опасности:

- получение, использование, переработка, образование, хранение, транспортировка, уничтожение опасных веществ, указанных в приложении 1 к Федеральному Закону «О промышленной безопасности опасных производственных объектов»;

- использование оборудования, работающего под давлением более 0,07 МПа или при температуре нагрева воды более 115° С;

- использование стационарно установленных грузоподъемных механизмов, эскалаторов, канатных дорог, фуникулеров.

Форма перечня опасных производственных объектов, эксплуатируемых предприятиями _________________(АО-энерго), приведена в приложении I настоящего Положения.

1.2. Целью производственного контроля промышленной безопасности является предупреждение аварий и обеспечение готовности предприятий ______________(АО-энерго) к локализации и ликвидации последствий аварий на опасных производственных объектах за счет осуществления комплекса организационно-технических мероприятий.

1.3. Основными задачами системы производственного контроля промышленной безопасности _______________________(АО-энерго) являются:

- контроль за соблюдением требований промышленной безопасности на ОПО предприятий;

разработка мер, направленных на улучшение состояния промышленной безопасности и предотвращение нанесения ущерба окружающей среде;

- анализ состояния промышленной безопасности на ОПО предприятий, в том числе путем организации проведения соответствующих проверок и экспертиз;

- разработка, согласование и реализация программ, планов и иных организационно-распорядительных документов на основе результатов анализа состояния промышленной безопасности на ОПО предприятий;

- координация работ, направленных на предупреждение аварий и инцидентов на ОПО предприятий;

- обеспечение готовности предприятий к локализации инцидентов и аварий и ликвидации их последствий;

- организация расследования и учета несчастных случаев, аварий и инцидентов на ОПО предприятий и причин их возникновения;

- организация контроля над своевременным проведением необходимых испытаний и освидетельствований технических устройств, применяемых на ОПО предприятий, ремонтом и поверкой контрольных средств измерений;

- подготовка и проверка знаний работников служб производственного контроля предприятий по вопросам промышленной безопасности;

- контроль за соблюдением технологической дисциплины на ОПО предприятий.

1.4. Организационная структура системы производственного контроля промышленной безопасности ______________ (АО-энерго) приведена в приложении 2 настоящего Положения.

2. ОРГАНИЗАЦИЯ СИСТЕМЫ ПРОИЗВОДСТВЕННОГО КОНТРОЛЯ ПРОМЫШЛЕННОЙ БЕЗОПАСНОСТИ _________________(АО-энерго)

2.1. Ответственность за организацию системы производственного контроля промышленной безопасности ________________ (АО-энерго) несет генеральный директор.

2.2. Общее руководство системой производственного контроля промышленной безопасности ________________ (АО-энерго) осуществляет главный инженер.

2.3. Оперативное руководство и координацию работ по производственному контролю осуществляет начальник службы аппарата управления ____________________ (АО-энерго).

2.4. Ответственность за организацию производственного контроля промышленной безопасности на ОПО подведомственных предприятий несут лица, назначенные приказом генерального директора ____________________ (АО-энерго).

Лицами, ответственными за организацию производственного контроля промышленной безопасности на ОПО подведомственных предприятий, назначаются специалисты _______________ службы аппарата управления __________________ (АО-энерго), имеющие высшее техническое образование по энергетическому профилю, стаж работы по профилю ОПО не менее 3 лет и имеющие удостоверение о прохождении соответствующей аттестации по промышленной безопасности.

Проект приказа о назначении лиц, ответственных за организацию производственного контроля за соблюдением требований промышленной безопасности на опасных производственных объектах предприятий _________________ (АО-энерго) приведен в приложении 3 настоящего Положения.

2.5. Лица, ответственные за организацию производственного контроля промышленной безопасности на ОПО подведомственных предприятий, руководствуются в своей работе данным Положением, должностными инструкциями и заключаемыми с этими лицами договорами (контрактами).

2.6. Служба ____________________ аппарата управления ________________ (АО-энерго) осуществляет свою деятельность во взаимодействии с ____________________ (отделами и службами) аппарата управления, а также с региональным предприятием «Энерготехнадзора» и его территориальными центрами. Департаментом генеральной инспекции по эксплуатации электрических станция и сетей РАО «ЕЭС России» и территориальным органом Госгортехнадзора России.

3. ОБЯЗАННОСТИ И ПРАВА ДОЛЖНОСТНЫХ ЛИЦ АППАРАТА УПРАВЛЕНИЯ ___________________________ (АО-энерго), ОТВЕТСТВЕННЫХ ЗА ОРГАНИЗАЦИЮ ПРОИЗВОДСТВЕННОГО КОНТРОЛЯ

3.1. Лицо, ответственное за организацию производственного контроля, обязано:

3.1.1. Обеспечивать проведение контроля за соблюдением работниками ОПО требований промышленной безопасности.

3.1.2. Проводить комплексные и целевые проверки состояния промышленной безопасности на ОПО подконтрольных предприятий.

3.1.3. Ежегодно разрабатывать план мероприятий по обеспечению промышленной безопасности на ОПО подконтрольных предприятий на основании результатов проверки состояния промышленной безопасности и аттестации рабочих мест.

3.1.4. Организовывать разработку планов мероприятий по локализации инцидентов и аварий и ликвидации их последствий.

3.1.5. Организовывать работу по подготовке проведения экспертизы промышленной безопасности ОПО подконтрольных предприятий.

3.1.6. Участвовать в техническом расследовании причин несчастных случаев, инцидентов и аварий.

3.1.7. Проводить анализ причин возникновения инцидентов и аварий на ОПО подконтрольных предприятий и осуществлять хранение документации по их учету.

3.1.8. Организовывать подготовку и аттестацию работников ОПО подконтрольных предприятий в области промышленной безопасности.

3.1.9. Участвовать во внедрении новых технологий и нового оборудования.

3.1.10. Доводить до сведения работников ОПО подконтрольных предприятий информацию об изменении требований промышленной безопасности, устанавливаемых нормативными правовыми актами, обеспечивать работников указанными документами.

Вносить руководству ___________________ (АО-энерго) предложения:

- о проведении мероприятий по обеспечению промышленной безопасности;

- об устранении нарушений требований промышленной безопасности;

- о приостановлении работ, осуществляемых на ОПО подконтрольных предприятий с нарушением требований промышленной безопасности, создающих угрозу жизни и здоровью работников, или работ, которые могут привести к аварии или нанести ущерб окружающей среде;

- об отстранении от работы на ОПО подконтрольных предприятий лиц, не имеющих соответствующей квалификации, не прошедших своевременно подготовку и аттестацию по промышленной безопасности;

- о привлечении к ответственности лиц, нарушивших требования промышленной безопасности.

3.2. Лицо, ответственное за организацию производственного контроля, обеспечивает контроль за:

3.2.1. Выполнением условий лицензий на виды деятельности в области промышленной безопасности.

3.2.2. Строительством или реконструкцией ОПО подконтрольных предприятий, а также ремонтом технических устройств, используемых на ОПО, в части соблюдения требований промышленной безопасности.

3.2.3. Устранением причин возникновения несчастных случаев, инцидентов и аварий.

3.2.4. Своевременным проведением соответствующими службами необходимых испытаний и освидетельствований технических устройств, применяемых на ОПО подконтрольных предприятий, ремонтом и поверкой контрольных средств измерений.

3.2.5. Наличием сертификатов соответствия требованиям промышленной безопасности на применяемые технические устройства.

3.2.6. Выполнением предписаний Госгортехнадзора России и его территориальных органов, а также соответствующих федеральных органов исполнительной власти по вопросам промышленной безопасности.

3.3. Лицо, ответственное за организацию производственного контроля, имеет право:

3.3.1. Осуществлять свободный доступ на ОПО подконтрольных предприятий в любое время суток.

3.3.2. Знакомиться с документами, необходимыми для оценки состояния промышленной безопасности.

3.3.3. Участвовать в разработке и пересмотре деклараций промышленной безопасности ОПО _________________ (АО-энерго).

3.3.4. Участвовать в работе комиссии по расследованию причин несчастных случаев, инцидентов и аварий на _______________ ОПО (АО-энерго).

3.3.5. Вносить руководителю организации предложения о поощрении работников, принимавших участие в разработке и реализации мер по повышению уровни промышленной безопасности.

4. ПОРЯДОК ОСУЩЕСТВЛЕНИЯ ПРОИЗВОДСТВЕННОГО КОНТРОЛЯ НА ОПАСНЫХ ПРОИЗВОДСТВЕННЫХ ОБЪЕКТАХ ПРЕДПРИЯТИЙ ___________________ (АО-энерго)

4.1. Лицо, ответственное за организацию производственного контроля, работает по месячному плану работы, составленному на основании годового плана мероприятий по обеспечению промышленной безопасности на ОПО подконтрольных предприятий. Годовой план составляется не позднее 20 декабря года предшествующего планируемому, а месячный - до 25 числа месяца, предшествующего планируемому. Годовой план согласовывается начальником службы ________________ аппарата управления _______________ (АО-энерго) и утверждается главным инженером.

План должен быть составлен таким образом, чтобы в течение календарного года все ОПО подконтрольных предприятий были проверены лицом, ответственным за организацию производственного контроля.

Форма плана проверок опасных производственных объектов предприятий ___________ (АО-энерго) приведена в приложении 4 настоящего Положения.

4.2. Замечания по состоянию ОПО и соблюдению требований промышленной безопасности, выявленные лицом, ответственным за организацию производственного контроля, при проведении проверки ОПО, записываются в журнал проверок.

Форма журнала проверок опасных производственных объектов предприятия приведена в приложении 5 настоящего Положения.

4.3. По результатам проверок ОПО подконтрольного предприятия лицо, ответственное за организацию производственного контроля, выдает руководителю предприятия предписание. В предписании должны быть отражены выявленные недостатки со ссылкой на нормативные документы, исполнение которых нарушено, а также мероприятия по устранению выявленных недостатков с указанием сроков устранения, согласованных с руководителем ОПО подконтрольного предприятия.

4.4. В случае, когда исполнителями мероприятий являются не только работники проверяемого ОПО, лицом ответственным за организацию производственного контроля, организуется выпуск приказа по предприятию, в котором определяются конкретные исполнители по каждому мероприятию. Разногласия по срокам устранения между исполнителями и лицом, ответственным за организацию производственного контроля, разрешаются главным инженером предприятия или главным инженером _______________ (АО-энерго).

4.5. Отчет о выполнении предписания лица, ответственного за организацию производственного контроля, руководитель предприятия представляет в аппарат управления ________________ (АО-энерго) ежемесячно, не позднее 25 числа текущего месяца по форме, приведенной в приложении 6 настоящего Положения.

4.6. Лицо, ответственное за организацию производственного контроля, ежемесячно представляет начальнику службы ________________ (АО-энерго) результаты выполнения своих проверок.

4.7. Начальник службы _________________ (АО-энерго) проводит анализ результатов проверок ОПО подконтрольных ____________________ (АО-энерго) предприятий и представляет отчет главному инженеру.

4.8. Контроль за устранением замечаний на ОПО подконтрольных предприятий лицо, ответственное за организацию производственного контроля, проводит ежемесячно, и результаты его представляет начальнику службы ___________________(АО-энерго), который в свою очередь докладывает о них главному инженеру.

5. ПОРЯДОК ОБМЕНА ИНФОРМАЦИЕЙ О СОСТОЯНИИ ПРОМЫШЛЕННОЙ БЕЗОПАСНОСТИ НА ПРЕДПРИЯТИЯХ __________________________ (АО-энерго)

5.1. Ежегодно, до 25 декабря текущего года, все предприятия ______________ (АО-энерго) представляют в службу ____________________ (АО-энерго) подписанный главным инженером предприятия отчет-информацию об организации производственного контроля на ОПО предприятия в трех экземплярах, в том числе - электронный вариант данного отчета.

5.2. Ежегодно в сроки, установленные федеральными органами исполнительной власти, специально уполномоченными по вопросам промышленной безопасности, гражданской обороны и чрезвычайным ситуациям, служба ___________________________ (АО-энерго) с сопроводительным письмом, подписанным главным инженером _____________________ (АО-энерго), представляет в указанные надзорные органы по одному экземпляру всех отчетов-информаций.

5.3. В информации об организации производственного контроля должны содержаться следующие сведения:

5.3.1. План мероприятий по обеспечению промышленной безопасности на текущий год.

5.3.2. Организация системы управления промышленной безопасностью на предприятии.

5.3.3. Фамилии работников, ответственных за осуществление (организацию) производственного контроля, их должности, образование, стаж работы по специальности, дата последней аттестации по промышленной безопасности.

5.3.4. Данные о количестве опасных производственных объектов предприятия с описанием основных потенциальных источников опасности и возможных последствий аварий.

5.3.5. Отчет о выполнении плана мероприятий по обеспечению промышленной безопасности, результатах проверок, устранении нарушений, выполнении предписаний Федерального горного и промышленного надзора России и соответствующих федеральных органов исполнительной власти.

5.3.6. План мероприятий по локализации аварий и инцидентов и ликвидации их последствий.

5.3.7. Копии договора страхования риска ответственности за причинение вреда при эксплуатации опасных производственных объектов предприятия.

5.3.8. Отчет о состоянии оборудования, применяемого на опасных производственных объектах и подлежащего обязательной сертификации.

5.3.9. Данные об освидетельствовании и контрольных испытаниях технических устройств, применяемых на опасных производственных объектах предприятия.

5.3.10. План проведения контрольно-профилактических проверок на следующий год.

5.3.11. Данные об оценке готовности работников предприятия к действиям во время аварии.

5.3.12. Отчет с описанием аварий и несчастных случаев, происшедших на опасных производственных объектах предприятия, анализом причин их возникновения и принятых мер.

5.3.13. Данные о подготовке и аттестации руководителей, специалистов и других работников, занятых на опасных производственных объектах предприятия, в области промышленной безопасности.

ПРИЛОЖЕНИЕ 1.

Форма перечня опасных производственных объектов, эксплуатируемых предприятиями _________________________ АО-энерго.

СОГЛАСОВАНО

УТВЕРЖДАЮ

Начальник

(территориального органа)

Госгортехнадзора России

Генеральный директор

(АО-энерго)

РАО «ЕЭС»

(Фамилия, инициалы)

(Фамилия, инициалы)

«___» ___________200 __года

«___» __________200 __года

Перечень опасных производственных объектов, эксплуатируемых предприятиями АО-энерго.

№ п/п

Опасный производственный объект: - полное наименование; - местонахождение

Признаки опасности (код, набор кодов)

Тип объекта (код)

Виды деятельности, на осуществление которых требуются лицензии (код, набор кодов)

Сведения о регистрации в госреестре: - регистрационный №: - дата регистрации; - регистрирующий орган

Сведения о страховании объекта: - страховая компания; - № договора - страховая сумма, тыс. руб.

Эксплуатирующая организация (предприятие):

- полное наименование;

- почтовый индекс, адрес

 

 

 

 

 

 

 

 

 

 

 

 

 

 

Главный инженер

________________ (АО-энерго) _______________________ (фамилия, инициалы)

(подпись)

ПРИЛОЖЕНИЕ 2.

Организационная структура
производственного контроля промышленной безопасности
опасных производственных объектов предприятий ______________________ (АО-энерго)

ОРГАНИЗАЦИОННАЯ СТРУКТУРА ПРОИЗВОДСТВЕННОГО КОНТРОЛЯ ПРОМЫШЛЕННОЙ БЕЗОПАСНОСТИ ОПАСНЫХ ПРОИЗВОДСТВЕННЫХ ОБЪЕКТОВ ПРЕДПРИЯТИЙ _________________________________ (АО-энсрго)

ПРИЛОЖЕНИЕ 3.

Проект приказа о назначении лиц, ответственных за организацию производственного контроля за соблюдением требований промышленной безопасности на опасных производственных объектах предприятий _______________________ (АО-энерго)

(бланк АО-знерго)

ПРИКАЗ

О назначении лиц, ответственных
за организацию производственного
контроля за соблюдением требований
промышленной безопасности на
опасных производственных объектах
предприятий ___________(АО-энерго)

В соответствии с Федеральным Законом от 21.07.97 г. № 116-ФЗ «О промышленной безопасности опасных производственных объектов», постановлением Правительства РФ от 10.03.99 г. № 263 «Об организации и осуществлении производственного контроля за соблюдением требований промышленной безопасности на опасных производственных объектах». «Положением о производственном контроле за соблюдением требований промышленной безопасности на опасных производственных объектах РАО «ЕЭС России» от ____________.

ПРИКАЗЫВАЮ:

1. Назначить ответственными за организацию производственного контроля на объектах хранения и использования опасных веществ:

________________ (наименование предприятия) _________________ (наименование ОПО)

________________ (должность) _______________________________ (фамилия, инициалы);

________________ (наименование предприятия) _________________ (наименование ОПО)

________________ (должность) _______________________________ (фамилия, инициалы);

2. Назначить ответственными за организацию производственного контроля на объектах, использующих оборудование, работающее под давлением более 0,07 мегапаскаля и при температуре нагрева воды более 115 градусов Цельсия:

_______________ (наименование предприятия) __________________ (наименование ОПО)

_______________ (должность) ________________________________ (фамилия, инициалы);

_______________ (наименование предприятия) __________________ (наименование ОПО)

_______________ (должность) ________________________________ (фамилия, инициалы);

3. Назначить ответственными за организацию производственного контроля на объектах, использующих грузоподъемные механизмы:

_______________ (наименование предприятия) __________________ (наименование ОПО)

_______________ (должность) ________________________________ (фамилия, инициалы);

_______________ (наименование предприятия) __________________ (наименование ОПО)

_______________ (должность) ________________________________ (фамилия, инициалы):

4. Оперативное руководство и координацию работ по производственному контролю за соблюдением требований промышленной безопасности на опасных производственных объектах предприятий ______________ (АО-энерго) возложить на начальника службы ______________________ аппарата управления ___________________________ (АО-энерго) ___________________ (фамилия, инициалы).

5. Контроль за исполнением настоящего приказа возложить на главного инженера ____________________ (АО-энерго) ______________________ (фамилия, инициалы).

Генеральный директор

________________ (АО-энерго) ______________________ (фамилия, инициалы)

(подпись)

ПРИЛОЖЕНИЕ 4.

Форма плана проверок опасных производственных объектов предприятий ________________________ (AO-энерго)

СОГЛАСОВАНО

УТВЕРЖДАЮ

Начальник службы

______________________

_____________(АО-энерго)

Главный инженер

________________

(АО-энерго)

 

(Фамилия, инициалы)

(Фамилия, инициалы)

«___» ___________200 __года

«___» __________200 __года

План проверок опасных производственных объектов предприятий _____________________ AO-энерго

№ п/п

Наименование опасного производственного объекта (ОПО)

Регистрационный номер Государственного реестра

Дата проведения проверки

Причина проведения проверки

Выводы, заключение, рекомендации

I. (наименование предприятия)

 

 

 

 

 

 

 

 

 

 

 

 

 

 

 

 

 

 

 

 

 

 

 

 

II. (наименование предприятия)

 

 

 

 

 

 

Главный инженер-инспектор

________________(АО-энерго) ___________________ (фамилия, инициалы)

(подпись)

ПРИЛОЖЕНИЕ 5.

Форма журнал» учета предписании лица, ответственного за организацию производственного контроля на ОПО предприятий __________ (АО-энерго)

Журнал учета предписаний лица, ответственного за организацию производственного контроля на ОПО предприятий ________________ (АО-энерго)

Наименование предприятия

Наименование опасного производственного объекта

Дата проведения проверки/№ предписания

Выявленные недостатки и нарушения

Мероприятия по устранению

Срок и ответственный за исполнение

Отметка о выполнении

 

 

 

 

 

 

 

 

 

 

 

 

 

 

 

 

 

 

 

 

 

 

 

 

 

 

 

 

 

 

 

 

 

 

 

 

 

 

 

Главный инженер-инспектор

________________ «Энерготехнадзора» __________________ (фамилия, инициалы)

(подпись)

ПРИЛОЖЕНИЕ 6.

Форма отчета о выполнении предписаний лица, ответственного за организацию производственного контроля на ОПО предприятий ______________ (АО-энерго)

Отчет о выполнении предписания

№ п/п

Срок выполнения

Причины невыполнения в установленный срок

 

Установленный

Фактический

 

(наименование документа)

 

 

 

 

 

 

 

 

 

 

 

 

 

 

 

 

 

 

 

 

(наименование документа)

 

 

 

 

 

 

 

 

Главный инженер

____________________________

(наименование предприятия)

__________________________ (фамилия, инициалы)

(подпись)

Дата введения 23.04.2002 (распоряжение № 28р)

1. ОБЩИЕ ПОЛОЖЕНИЯ

Настоящее положение является нормативным документом, который определяет состав, структуру, организацию и порядок функционирования системы производственного контроля промышленной безопасности РАО «ЕЭС России»*). Оно устанавливает функции, права и ответственность исполнительного аппарата Общества, руководства его филиалов, представительств, дочерних и зависимых акционерных обществ**) по вопросам производственного контроля за соблюдением требований промышленной безопасности на опасных производственных объектах структурных подразделений и предприятий РАО «ЕЭС России».

________________

*) Далее по тексту - «Общество».

**) Далее по тексту - «предприятия».

1.1. Концепция и стратегические цели политики РАО «ЕЭС России» в области промышленной безопасности

1.1.1. Стратегическими целями РАО «ЕЭС России» в области промышленной безопасности являются:

- обеспечение уровня промышленной безопасности опасных производственных объектов Общества, при котором риск возникновения промышленных аварий и инцидентов на этих объектах минимален и соответствует сложившемуся на конкретном этапе научно-технического прогресса уровню развития техники и технологии и состоянию развития общества;

- достижение уровня промышленной безопасности соответствующего показателям мировых энергетических компаний;

- создание условий для устойчивого функционирования и развития Общества посредством обеспечения, в том числе и на основе страхования соответствующих промышленных рисков, полной и своевременной компенсации внеплановых потерь, обусловленных производственными неполадками и промышленными авариями.

Содержание

1. Общие положения

1.1. Концентрация и стратегические цели политики РАО «ЕЭС России» в области промышленной безопасности

1.2. Нормативно-правовая база функционирования системы управления промышленной безопасностью в РАО «ЕЭС России»

2. ОРГАНИЗАЦИЯ ФУНКЦИОНИРОВАНИЯ СИСТЕМЫ ПРОИЗВОДСТВЕННОГО КОНТРОЛЯ ПРОМЫШЛЕННОЙ БЕЗОПАСНОСТИ В РАО «ЕЭС РОССИИ»

2.1. Основные цели и задачи системы производственного контроля промышленной безопасности РАО «ЕЭС России»

2.2. Основные функции системы производственного контроля промышленной безопасности РАО «ЕЭС России»

2.3. Взаимодействие РАО «ЕЭС России» с Госгортехнадзором России

2.4. Информационное и методическое обеспечение системы производственного контроля промышленной безопасности РАО «ЕЭС России»

3. ФУНКЦИИ ПОДРАЗДЕЛЕНИЙ И ПЕРСОНАЛА ДОЧЕРНИХ ОБЩЕСТВ РАО «ЕЭС РОССИИ» В РАМКАХ СИСТЕМЫ ПРОИЗВОДСТВЕННОГО КОНТРОЛЯ ПРОМЫШЛЕННОЙ БЕЗОПАСНОСТИ

3.1. Общие положения

3.2. Функции руководства филиала в рамках системы производственного контроля промышленной безопасности

3.3. Функции руководства акционерного общества в рамках системы производственного контроля промышленной безопасности

4. ОТВЕТСТВЕННОСТЬ ПЕРСОНАЛА РАО «ЕЭС РОССИИ» ЗА НАРУШЕНИЯ ТРЕБОВАНИЙ, НОРМ, ПРАВИЛ И ИНСТРУКЦИЙ ПО ПРОМЫШЛЕННОЙ БЕЗОПАСНОСТИ

4.1. Общие положения

4.2. Дисциплинарная ответственность работников

4.3. Административная ответственность работников

4.4. Уголовная ответственность работников

4.5. Материальная ответственность работников

ПРИЛОЖЕНИЕ 1. СТРУКТУРА РАО «ЕЭС РОССИИ»

ПРИЛОЖЕНИЕ 2. ОСНОВНЫЕ ТЕРМИНЫ И ОПРЕДЕЛЕНИЯ

ПРИЛОЖЕНИЕ 3. ПЕРЕЧЕНЬ ОСНОВНЫХ ЗАКОНОДАТЕЛЬНЫХ И ОРГАНИЗАЦИОННЫХ НОРМАТИВНО-ПРАВОВЫХ АКТОВ В ОБЛАСТИ ПРОМЫШЛЕННОЙ БЕЗОПАСНОСТИ

ПРИЛОЖЕНИЕ 4. СТРУКТУРА СИСТЕМЫ ПРОИЗВОДСТВЕННОГО КОНТРОЛЯ ПРОМЫШЛЕННОЙ БЕЗОПАСНОСТИ РАО «ЕЭС РОССИИ»

ПРИЛОЖЕНИЕ 5. ТИПОВОЕ ПОЛОЖЕНИЕ О ПРОИЗВОДСТВЕННОМ КОНТРОЛЕ ЗА СОБЛЮДЕНИЕМ ТРЕБОВАНИЙ ПРОМЫШЛЕННОЙ БЕЗОПАСНОСТИ НА ОПАСНЫХ ПРОИЗВОДСТВЕННЫХ ОБЪЕКТАХ ПРЕДПРИЯТИЙ АО-энерго (ФИЛИАЛА) РАО «ЕЭС РОССИИ»

I. ОБЩИЕ ПОЛОЖЕНИЯ

2. ОРГАНИЗАЦИЯ СИСТЕМЫ ПРОИЗВОДСТВЕННОГО КОНТРОЛЯ ПРОМЫШЛЕННОЙ БЕЗОПАСНОСТИ _________________(АО-энерго)

3. ОБЯЗАННОСТИ И ПРАВА ДОЛЖНОСТНЫХ ЛИЦ АППАРАТА УПРАВЛЕНИЯ ___________________________ (АО-энерго), ОТВЕТСТВЕННЫХ ЗА ОРГАНИЗАЦИЮ ПРОИЗВОДСТВЕННОГО КОНТРОЛЯ

4. ПОРЯДОК ОСУЩЕСТВЛЕНИЯ ПРОИЗВОДСТВЕННОГО КОНТРОЛЯ НА ОПАСНЫХ ПРОИЗВОДСТВЕННЫХ ОБЪЕКТАХ ПРЕДПРИЯТИЙ ___________________ (АО-энерго)

5. ПОРЯДОК ОБМЕНА ИНФОРМАЦИЕЙ О СОСТОЯНИИ ПРОМЫШЛЕННОЙ БЕЗОПАСНОСТИ НА ПРЕДПРИЯТИЯХ __________________________ (АО-энерго)

ПРИЛОЖЕНИЕ 1. Форма перечня опасных производственных объектов, эксплуатируемых предприятиями _________________________ АО-энерго.

ПРИЛОЖЕНИЕ 2. Организационная структура производственного контроля промышленной безопасности опасных производственных объектов предприятий ______________________ (АО-энерго)

ПРИЛОЖЕНИЕ 3. Проект приказа о назначении лиц, ответственных за организацию производственного контроля за соблюдением требований промышленной безопасности на опасных производственных объектах предприятий _______________________ (АО-энерго)

ПРИЛОЖЕНИЕ 4. Форма плана проверок опасных производственных объектов предприятий ________________________ (AO-энерго)

ПРИЛОЖЕНИЕ 5. Форма журнал» учета предписании лица, ответственного за организацию производственного контроля на ОПО предприятий __________ (АО-энерго)

ПРИЛОЖЕНИЕ 6. Форма отчета о выполнении предписаний лица, ответственного за организацию производственного контроля на ОПО предприятий ______________ (АО-энерго)

 




Rambler's Top100 Яндекс цитирования
  Copyright © 2008-2026, www.docload.ru